相关产品推荐更多 >
万千商家帮你免费找货
0 人在求购买到急需产品
- 详细信息
- 文献和实验
- 技术资料
- 保存条件:
-15℃避光防潮
- 保质期:
12个月
- 库存:
1
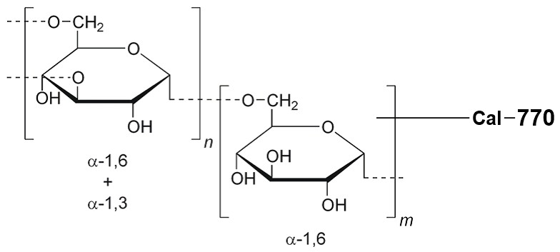
钙离子荧光探针Cal-770-Dextran Conjugate *MW 3,000*
| 货号 | 20461 | 存储条件 | f/l |
| 规格 | 1 mg | ||
| Ex (nm) | 758 | Em (nm) | 783 |
| 分子量 | ~5000 | 溶剂 | Water |
| 产品详细介绍 | |||
简要概述
钙测量对于许多生物学研究至关重要。显示结合钙后光谱响应的荧光探针使研究人员能够使用荧光显微镜,流式细胞仪,荧光光谱和荧光酶标仪来研究细胞内游离钙浓度的变化。可以使用贴片移液器或显微注射将这些葡聚糖偶联的钙指示剂的细胞不渗透盐形式物理加载到细胞上。使用荧光显微镜测量来自这些细胞的荧光信号。与AM酯形式相比,我们的钙指示剂的右旋糖酐形式在泄漏和区室化方面均显着降低。在荧光红钙指示剂葡聚糖结合物中,Cal-770葡聚糖偶联物可能比其他红色荧光右旋糖酐偶联物更好,因为其更长的荧光波长已针对体内成像进行了优化。Cal-770 是近红外(NIR)钙指示剂,在〜775 nm处具有最大发射。它是唯一具有超过700 nm激发和发射波长的荧光钙指示剂。Cal-770 是极少数可用于体内成像的钙指示剂之一,因为它具有NIR荧光。
产品说明书
使用Cal-520 AM,Cal-570 AM或Cal-630 AM酯类
1.使用Cal-520 ,Cal-590 或Cal-630 AM酯:
AM酯是非极性酯,其易于穿过活细胞膜,并且通过活细胞内的细胞酯酶快速水解。AM酯广泛用于非侵入性地将各种极性荧光探针装载到活细胞中。但是,使用AM酯时必须小心,因为它们易于水解,特别是在溶液中。它们应在使用前重新配制成高质量的无水二甲基亚砜(DMSO)。DMSO储备溶液可以在-20℃下干燥储存并避光。在这些条件下,AM酯应稳定数月。以下是我们推荐的将Cal-520 AM,Cal-590 AM或Cal-630 AM酯加入活细胞的方案。该方案仅提供指南,实际应根据您的具体需求进行修改。
a)在高质量无水DMSO中制备2至5 mM Cal-520 AM,Cal-590 AM或Cal-630 AM酯的储备溶液。
b)在实验当天,将Cal-520 AM,Cal-590 AM或Cal-630 AM溶解在DMSO中或将等份的指示剂储备溶液解冻至室温。在Hanks和Hepes缓冲液(HHBS)或您选择的缓冲液(0.04%Pluronic®F-127)中制备10至20μM的染料工作溶液。细胞加载所需指示剂的确切浓度必须凭经验确定。
注意:非离子型洗涤剂Pluronic®F-127有时用于增加Cal-520 AM,Cal-590 AM或Cal-630 AM酯的水溶性。
c)如果您的细胞(如CHO细胞)含有有机阴离子转运蛋白,可将丙磺舒(1-2 mM)加入染料工作溶液中(最终浓度为0.5-1 mM)以减少渗漏去酯化指标。
d)将等体积的染料工作溶液(来自步骤b或c)加入细胞板中。
e)将染料加载板在细胞培养箱中孵育60至90分钟,然后在室温下将板孵育另外30分钟。
注意:孵育染料超过2小时可以为某些细胞系提供更好的信号强度。
f)用HHBS或您选择的缓冲液(含有阴离子转运蛋白抑制剂,如1mM丙磺舒,如果适用)替换染料工作溶液,以去除多余的探针。
g)在Ex / Em = 490 / 525nm(对于Cal-520 AM),540 / 5000nm(对于Cal-590 AM)或600 / 640nm(对于Cal-630 AM)进行实验。
2.测量细胞内钙响应:
为了确定溶液的游离钙浓度或单波长钙指示剂的Kd,使用以下等式:
[Ca]free = Kd[F ─ Fmin]/Fmax ─ F]
其中F是实验钙水平下指示剂的荧光,Fmin是不存在钙时的荧光,Fmax是钙饱和探针的荧光。
解离常数(Kd)是探针对钙的亲和力的量度。 与校准溶液相比,荧光指示剂的Ca结合和光谱性质在细胞环境中变化非常显着。 细胞内指标的原位反应校准通常产生显着高于体外测定的Kd值。 通过在离子载体如A-23187,4-溴A-23187和离子霉素存在下将加载的细胞暴露于受控的Ca2+缓冲液来进行原位校准。 或者,细胞透化剂如洋地黄皂苷或X-100可用于将指示剂暴露于细胞外培养基的受控Ca2+水平。
风险提示:丁香通仅作为第三方平台,为商家信息发布提供平台空间。用户咨询产品时请注意保护个人信息及财产安全,合理判断,谨慎选购商品,商家和用户对交易行为负责。对于医疗器械类产品,请先查证核实企业经营资质和医疗器械产品注册证情况。
文献和实验Polysaccharicb-Conjugate Vaccines
It was recognized early this century that small molecules, called haptens, can be made immunogenic after conjugation to carrier proteins (1 ), This principle was thereafter applied successfully to improve the rmmunogenicity of (poly
AntibodyDrug Conjugate Payloads
Toxin payloads, or drugs, are the crucial components of therapeutic antibody–drug conjugates (ADCs). This review will give an introduction on the requirements that make a toxic compound suitable to be used in an antitumoral ADC
Preparation of Polysaccharide-Conjugate Vaccines
, they are of short duration. For conjugate vaccines T-cells are involved in the activation of B-cells. Presumably, the conjugate is taken up by polysaccharide-specific B-cells, processed, and presented to carrier-specific T-cells. The involvement of T-cells results
技术资料暂无技术资料 索取技术资料











