相关产品推荐更多 >
万千商家帮你免费找货
0 人在求购买到急需产品
- 详细信息
- 询价记录
- 文献和实验
- 技术资料
- 库存:
18
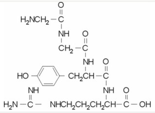
- 英文名:
Gly-Gly-Tyr-Arg
- CAS号:
70195-20-9
- 保质期:
2年
- 供应商:
上海联迈生物工程有限公司
- 保存条件:
-20℃
- 规格:
20mg
- 英文名:
- Gly-Gly-Tyr-Arg
- 别名:
- CAS号:
- 70195-20-9
- 分子式:
- C19H29N7O6
- 分子量:
- 451.48

- 外观: 白色粉末
- 溶解性: 水溶
- 敏感性: 易吸潮
- 储存条件: -20℃
- 注意:部分产品我司仅能提供部分信息,我司不保证所提供信息的权威性,仅供客户参考交流研究之用。
风险提示:丁香通仅作为第三方平台,为商家信息发布提供平台空间。用户咨询产品时请注意保护个人信息及财产安全,合理判断,谨慎选购商品,商家和用户对交易行为负责。对于医疗器械类产品,请先查证核实企业经营资质和医疗器械产品注册证情况。
- 作者
- 内容
- 询问日期
文献和实验Factor Xa Cleavage of MBP-Fusion protein
for each system. Samples must be removed at various time points and analyzed by PAGE-SDS to estimate the yield, purity and extent of factor Xa digestion. Factor Xa cleaves after the Arg residue in the cleavage site Ile-(Glu or Asp)-Gly-Arg. Ile and Thr are prefered
each wash. Add Rb IgG (4 ug) or anti-XKCM1 Gly (4 ug) and bring volume to 100 ul total. Bind antibody to beads at 4 deg.C for 1 hr 15' on rotator. Make sure beads are rolling around. Pellet in ufuge in coldroom and wash 1X TBST, 3X CSFXB
in the extract with high affinity polyclonal antibodies, using anti-XKCM1 as an example.) Put 25 ul of bead slurry into two 0.5 ml tubes labeled IgG and XKCM1. Wash beads 3X with 0.5 ml TBST each wash. Add Rb IgG (4 ug) or anti-XKCM1 Gly
技术资料暂无技术资料 索取技术资料







![30246-33-4/ 7-氨基-3-[(2-甲基-1,3,4-噻二唑-5-基硫基)甲基]-3-头孢烯-4-甲酸 , 99%](https://img1.dxycdn.com/2020/1201/389/2117376484902650543-14.jpg!wh200)

