相关产品推荐更多 >
万千商家帮你免费找货
0 人在求购买到急需产品
- 详细信息
- 文献和实验
- 技术资料
- 库存:
18
- 英文名:
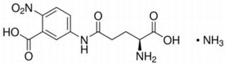
GGTP
- CAS号:
63699-78-5
- 保质期:
2年
- 供应商:
上海联迈生物工程有限公司
- 保存条件:
-20℃
- 规格:
100mg
- 英文名:
- GGTP
- 别名:
- γ-谷氨酰-3-羧基-4
- CAS号:
- 63699-78-5
- 分子式:
- C12H16N4O7
- 分子量:
- 328.28
- MDL:
- MFCD00058243

- 储存条件: -20℃
- 注意:部分产品我司仅能提供部分信息,我司不保证所提供信息的权威性,仅供客户参考交流研究之用。
风险提示:丁香通仅作为第三方平台,为商家信息发布提供平台空间。用户咨询产品时请注意保护个人信息及财产安全,合理判断,谨慎选购商品,商家和用户对交易行为负责。对于医疗器械类产品,请先查证核实企业经营资质和医疗器械产品注册证情况。
文献和实验XmGDjD3x/+JOeMniY795nUg6DXakk5/8D1zjHPrPew7nwSx7EZwv5dWu52XA9/FblZ5V95CqX2X9lYGJQCFVNGCIEucMxOIT98BuwIU/iJ3VMbBfDNfLCnjIEPh+HgDzEC7iHMgdrprgWyuM61wbHG7zPtVAu6cK1IFc4DuXzy7nBbTlYnpDu1fHD8WDZyCPIyfXBeXIc6sj5wdcon3T8sgW5wzFp2SeEPNhHzsHlcS7EI
-2 Digitonin 235 1,229 70,000 - - C12 E8 - 542 65,000 0.005 8.7 x 10-5 Lubrol PX - 582 64,000 0.006 1.0 x 10-4 Triton X-100 - 650 90,000 0.021 3.0 x 10-4 Nonident P-40 - 603 90,000 0.017 3.0 x 10-4 Tween 80
羧酸及其衍生物 羧酸(RCOOH)是最重要的一类有机酸。它可以看作是烃分子中的氢原子被羧基( 或写为-COOH)取代后生成的化合物,羧基是羧酸的官能团。羧酸能发生许多化学反应。当羧基中的羟基被其它原子团取代时,则形成羧酸衍生物,主要有羧酸酯、酰卤,酸酐和酰胺。 第一节 羧酸 羧酸在自然界中常以游离状态或以盐或酯的形式广泛存在于动植物体中,是与医药关系十分密切的一类化合物。 一、羧酸的分类及命名
技术资料暂无技术资料 索取技术资料










