相关产品推荐更多 >
万千商家帮你免费找货
0 人在求购买到急需产品
- 详细信息
- 文献和实验
- 技术资料
- 库存:
18
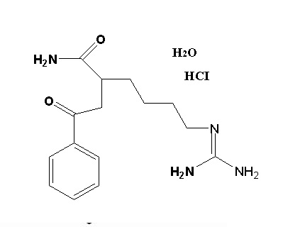
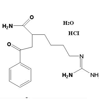
- 英文名:
BAA
- CAS号:
965-03-7
- 保质期:
2年
- 供应商:
上海联迈生物工程有限公司
- 保存条件:
2-8℃
- 规格:
1g
- 英文名:
- BAA
- 别名:
- Na-苯甲酰-L-精氨酸
- CAS号:
- 965-03-7
- 分子式:
- C13H19N5O2 · HCl · H2O
- 分子量:
- 331.80

- 储存条件: 2-8℃
- 注意:部分产品我司仅能提供部分信息,我司不保证所提供信息的权威性,仅供客户参考交流研究之用。
风险提示:丁香通仅作为第三方平台,为商家信息发布提供平台空间。用户咨询产品时请注意保护个人信息及财产安全,合理判断,谨慎选购商品,商家和用户对交易行为负责。对于医疗器械类产品,请先查证核实企业经营资质和医疗器械产品注册证情况。
文献和实验) V 组 数,a 2 3 4 5 6 7 8 9 10 5 3.64 4.60 5.22 5.67 6.03 6.33 6.58 6.80 6.99 5.70 6.98 7.80 8.42 8.91 9.32 9.67 9.97 10.24 6 3.46 4.34 4.90 5.30 5.63 5.90 6.12 6.32 6.49 5.24 6.33 7.03 7.56 7.97 8.32 8.61 8.87 9.10 7 3.34 4.16 4.68 5.06 5.36 5.61
28.08 银(sliver) Ag 47 107.86 钠(sodium) Na 11 22.98 锶(strontium
+PTs19I8FlO4qS+YuYoovMwKGJ4/sLfPSHQ+OHSjz4/M+dfumMmlOpqU3ratH+E7e+mI5Yiw7VYztL8dPz6KiLOibFF4uu7eV3pR/5p6dZW6A7u7du8ocPvU5qGFWAPCeLCqaMivXpLt1X3ZXidV/cvp2f6yE+jvDnW3i+sMT2kg/U7+x0MpOBoMDvQHxMypN1Hl/FiC635/6zZzOd3Na+GJvpQc67Ev6c2bPq/ScN9epcQFcoef0ad
技术资料暂无技术资料 索取技术资料









