相关产品推荐更多 >
万千商家帮你免费找货
0 人在求购买到急需产品
- 详细信息
- 文献和实验
- 技术资料
- 库存:
18
- 英文名:
9004-32-4
- CAS号:
9004-32-4
- 保质期:
2年
- 供应商:
上海联迈生物工程有限公司
- 保存条件:
RT
- 规格:
500g
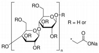
9004-32-4/ 羧甲基纤维素钠 , CP,黏度800-1200
- 英文名:
- CMC
- 别名:
- 羧甲基纤维素钠盐;羧甲基醚纤维素钠盐
- CAS号:
- 9004-32-4
- MDL:
- MFCD00081472

- 熔点: 300℃
- 外观: 白色或黄色固体
- 储存条件: RT
- 用途: 本品仅供科研,不得用于其它用途。
- 注意:部分产品我司仅能提供部分信息,我司不保证所提供信息的权威性,仅供客户参考交流研究之用。
风险提示:丁香通仅作为第三方平台,为商家信息发布提供平台空间。用户咨询产品时请注意保护个人信息及财产安全,合理判断,谨慎选购商品,商家和用户对交易行为负责。对于医疗器械类产品,请先查证核实企业经营资质和医疗器械产品注册证情况。
文献和实验相关实验
不与待测组分或吸附剂发生化学反应; ⑤沸点适中,黏度较小; ⑥展开后组分斑点圆且集中; ⑦混合溶剂最好用新鲜配制。 三、溶剂极性参数表 环已烷 :-0.2、石油醚(Ⅰ类,30~60℃)、石油醚(Ⅱ类,60~90℃)、正已烷:0.0、甲苯:2.4、二甲苯:2.5、苯:2.7、二氯甲烷:3.1、异丙醇:3.9、正丁醇:3.9、四氢呋喃:4.0、氯仿:4.1、乙醇:4.3、乙酸乙酯:4.4、甲醇:5.1、丙酮:5.1、乙腈:5.8、乙酸:6.0、水:10.2 1、一般来说,弱极性溶剂体系
技术资料暂无技术资料 索取技术资料
9004-32-4/ 羧甲基纤维素钠 , CP,黏度800-1200
¥50 - 180







![120003-72-7/ 2-[(5-CARBOXY-4-METHOXY-3-METHYLPYRID-2-YL)-METHYLSULFO]-5-METHOXYBENZIMIDAZOLE, 分析标准品,HPLC≥98%](https://img1.dxycdn.com/2020/1026/946/7211702756453783443-14.jpg!wh200)


