相关产品推荐更多 >
万千商家帮你免费找货
0 人在求购买到急需产品
- 详细信息
- 文献和实验
- 技术资料
- 库存:
18
- 英文名:
D-Sodium isoascorbiate
- CAS号:
6381-77-7
- 保质期:
2年
- 供应商:
上海联迈生物工程有限公司
- 保存条件:
RT
- 规格:
25g
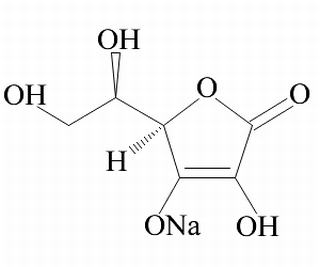
- 英文名:
- D-Sodium isoascorbiate
- 别名:
- 异维生素C钠;赤藻糖酸钠;D-2,3,4,5,6-五羟基-2-己烯酸-4-内酯钠;D-2,3,5,6-四羟基-2-己烯酸-Y-内酯钠盐;D-异抗坏血酸钠盐;异维生素钠
- CAS号:
- 6381-77-7
- 分子式:
- C6H7NaO6
- 分子量:
- 198.12
- MDL:
- MFCD00067298

- 介绍: 无臭,稍有咸味,干燥状态在空气中稳定,呈水溶液时遇空气、微量金属、热和光易变质。
- 熔点: 154-164℃
- 比旋光度: +95.5~+98.0º(C=10, H2O)
- 外观: 白色或稍带黄色的结晶颗粒或粉末
- 溶解性: 易溶于水
- 储存条件: RT
- 用途: 本品仅供科研,不得用于其它用途。
- 注意:部分产品我司仅能提供部分信息,我司不保证所提供信息的权威性,仅供客户参考交流研究之用。
风险提示:丁香通仅作为第三方平台,为商家信息发布提供平台空间。用户咨询产品时请注意保护个人信息及财产安全,合理判断,谨慎选购商品,商家和用户对交易行为负责。对于医疗器械类产品,请先查证核实企业经营资质和医疗器械产品注册证情况。
文献和实验. Stock %(w/w) 50ml 100ml 250ml NaBr 3M 102.9g/M 25.126 15.435g 30.87g 77.18g H2 O mQ 74.874 45.995ml 91.99ml 229.98ml 1000ml/ 102.9g/M 1M 2M 3M 4M
/qttn3TNtupuJ3Dhju1Xb58peVqTZs4bbIIMtMDRbgld0db3jav2WKjxo2UBrliTz7zjA0dOVZ1HwcF9zpBhhsSCA0yJiKJiTJXY4gIvHkIxFevNw/rWFJEICIQEYgI7O8IMHGuv1fkrmm/fuIRO2veXJs18+jEDrgsTw7y7PDe977X3nHpu2WPbLZi9Vo77+0X2WGHz7JrrrnGerZssnPnzbP588+22bPn2Nz55/sEue9+97t2xRWXuwb
the probe stay for 1.5 hrs RT for complete erythrocyte lysis Count platelets under a phase contrast microscope at x400 magnification using Neubauer hemocytometer SOLUTIONS The Unopette Reservoir
技术资料暂无技术资料 索取技术资料








