相关产品推荐更多 >
万千商家帮你免费找货
0 人在求购买到急需产品
- 详细信息
- 文献和实验
- 技术资料
- 库存:
23
- 英文名:
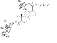
vina-ginsenoside R3
- CAS号:
156012-92-9
- 保质期:
详见说明书
- 供应商:
上海西格
- 保存条件:
低温冷藏
- 规格:
20mg/50mg/1g,可按客户需求包装!
| 产品名称 | 越南参皂苷R3156012-92-9折扣 |
| 英文名称 | vina-ginsenoside R3 |
| CAS | 156012-92-9 |
英文名称 vina-ginsenoside R3
分 子 量: 931.15
CAS NO.: 156012-92-9
纯 度: ≥98%
分子式: C48H82O17

性状: 白色粉末
规格: 10mg/20mg/50mg,可按客户需求包装!
用途: 用于科研研究、鉴定、药理实验等
熔点: 补充中
溶解性: 溶于甲醇
提取来源: 人参叶
药理药效: 抗肿瘤、心血管方面的作用
鉴别方法: NMR; MS
检测方法: 补充中
贮存条件: 低温冷藏,避光,密封,干燥
注意事项: 无
关于标准品、对照品的问题:
(一)来源:
依照有关规定,中国用于药品成品检验的标准品(对照品)来源有:一是中国药品生物制品检定所提供的标准品(对照品);二是其他国家的标准品(对照品);三是省级以上药品检验所标定,并经同级食 品药品监管局批准的标准品(对照品)。
(二)有效期和使用说明书:
中国药品生物制品检定所提供的标准品(对照品)大部分均无使用说明书和使用期限,大都沿用新的批号出现、旧的批号自动停止的管理方式。
(三)使用过程:
工作标准品(对照品)虽经有关部门认可,但要求有标化日期、复标日期、贮存条件、使用等相关文件规定,并做好相应记录。
(四)验证问题:
按标准品(对照品)管理要求,使用前应对其进行验证,确认无误后方可使用。
(五)开封问题:
对已开封的标准品(对照品)管理方面的问题应做严格的规定,不应同未开封的标准品(对照品)放在一起继续使用,包装上应做好相关标识,说明是否已开封过、何时开封的,内含多少量等相关信息。
特性分为五大类:
1、化学成分类:标准物质,纯的化合物或是有代表性的基体样品,天然的或添加(被)分析物的(如,用作农药残留分析的添加了杀虫剂的动物脂肪),以一种或多种化学或物理化学特性值表征。
产品仅供科研使用2、生物和临床特性类:与目录A相似的标准物质,但以一种或多种生化或临床特性值表征,如酶活性。
3、物理特性类:以一种或多种物理特性值表征的标准物质,如熔点、粘性和密度。
4、工程特性类:以一种或多种工程特性值表征的标准物质,如硬度、拉伸强度和表面特性。
5、其他特性。这些类别又被细分为三级子类,例如,在化学成分类中,以微量锰、硅、铜、镍和铬含量表征的铝合金,列于化学成分一金属一有色金属一铝合金的子类中;在化学成分类别中,标准物质还可进一步被分为单一成分的标准物质和基体标准物质两大类;单一成分的标准物质是纯物质(元素或化合物),或纯度、浓度、熔点、熔化焓值、粘度、紫外可见光吸光率、闪点等参考值已精确确定的纯物质的溶液;这类标准物质的重要用途之一是分析仪器的检定或校准。
BxPC-3, 人原位胰腺腺癌细胞株水杨酸-4-辛基苯酯(>95.0%(GC))4-Octylphenyl Salicylate质量规格:>95.0%(GC)
人类原巨核细胞型白血病细胞;UT-7 大鼠膀胱上皮细胞完全培养基 100mL氧化偶氮苯-4,4'-二羧酸二乙酯(>97.0%(GC))Diethyl Azoxybenzene-4,4'-dicarboxylate质量规格:>97.0%(GC)
LM-8 小鼠骨肉瘤4,4'-双(己氧基)氧化偶氮苯(>96.0%(N))4,4'-Bis(hexyloxy)azoxybenzene质量规格:>96.0%(N)
FLT4 Others Mouse 小鼠 FLT-4 / VEGFR3 人细胞裂解液 (阳性对照) 4,4'-二戊氧基氧化偶氮苯(>95.0%(N))4,4'-Diamyloxyazoxybenzene质量规格:>95.0%(N)
小鼠B细胞杂交瘤细胞;SH24,4'-二丁氧基氧化偶氮苯4,4'-Dibutoxyazoxybenzene质量规格:
小鼠细胞白血病;L1210Nα-BOC-D-精氨酸盐酸盐一水合物Nalpha-BOC-D-Arginine hydrochloride hydrate质量规格:BR
HELF细胞,人胚肺成纤维细胞 鼠胚成骨细胞,3T3-E1细胞 CL-0146LTEP-a-2(人肺腺癌细胞)5×106cells/瓶×2Boc-Arg(Mts)-OH·CHABoc-Arg(Mts)-OH·CHA质量规格:BR
TM3(小鼠间质细胞) 5×106cells/瓶×2BOC-L-缬氨酸Boc-Val-OH质量规格:>99%,BR
HPF-c 人类肺成纤维细胞(HPF) 500,000cells 腮腺细胞Many types of cells包装:5 × 105方(1ml)BOC-L-天冬酰胺Boc-Asn-OH质量规格:≥98.5%,BR
脑膜细胞Many types of cells包装:5 × 105方(1ml)Boc-L-谷氨酰胺Boc-Gln-OH质量规格:>98.5%,BR
TIMP2 Others Human 人 TIMP2 / TIMP-2 人细胞裂解液 (阳性对照) 2‘-脱氧胞苷质量规格:>98%,BR2'-Deoxycytidine;2'-dC
CL-0167NCI-H292(人肺癌细胞)5×106cells/瓶×22‘-脱氧胞苷(标准品)质量规格:HPLC>98%,标准品2'-Deoxycytidine;2'-dC
CD8B Others Human 人 CD8B / P37 / LEU2 人细胞裂解液 (阳性对照) 2’-脱氧腺苷质量规格:>99%,BR2'-D
越南参皂苷R3156012-92-9折扣人神经母细胞瘤细胞;SH-SY5Y1,4-二羟基醌shēng huà shì jì容量:RT25克
21. 脐带细胞系统四正丁基化铵 Tetrabutylammonium chloride.≥97.0 1112-67-0 5G 通用试剂
CM-H104真皮成纤维细胞完全培养基100mLα-异十三烷基-ω-羌基-聚(氧-1,2-亚基) GqNcPOL(R) X-080 9043-30-2
小鼠胚胎成纤维细胞;PA317 小鼠小肠平滑肌细胞完全培养基 100mLN-Hexadecane正十六烷高级无色液体RTsigma
RN-c, 大鼠皮质神经元 Rattus67-43-6二异胺DiisopropylaMine;N-(1-metxyletxyl)-2-propanaMine; DIPA;
优势:
1. 国内对照品行业*,长达14年对照品的专业及标准制定
2. 高效稳定的纯化技术-高速逆流色谱技术的运用
3. 特有的高速逆流色谱对照品中心及中心,保证对照品的质量可控性及批量的稳定性
4. 严格的质量控制,通过全面的检测(1HNMR 13CNMR MS HPLC)
5. 部分对照品已获得国家质量监督检验检疫总局颁发的标准物质证书
6. 完善的库存及供应体系,所有产品均能现货供应
7. 高效的销售团队,99%的咨询可即时回复。
风险提示:丁香通仅作为第三方平台,为商家信息发布提供平台空间。用户咨询产品时请注意保护个人信息及财产安全,合理判断,谨慎选购商品,商家和用户对交易行为负责。对于医疗器械类产品,请先查证核实企业经营资质和医疗器械产品注册证情况。
文献和实验疫苗研制带来很多困难。如其血凝素蛋白可剪切性提高,可被多种细胞蛋白酶激活;高致病株的血凝素剪切部位具有多碱性氨基酸序列,与病毒的内脏播散直接相关;病毒多聚酶的单氨基酸置换(Glu627Lys)可上调复制能力;非结构蛋白1的单氨基酸置换(Asp92Glu)使病毒更容易抵抗IFN和TNF。的抑制病毒作用。越南北部新现的一株病毒株,其HA的受体结合部位出现变异以及剪切位点精氨酸突变。禽流感病毒在进化中不断改变表面抗原的关键氨基酸,使感染细胞和宿主特性发生改变,使过去感染存留的抗感染免疫失去保护效应。进化研究显示
关注肺结核等结核病的研究进展 目录 • 新化合物BTZ043可阻止结核杆菌形成细胞壁 有望制成抗肺结核新药 • 发现结核病关键基因 • 结核分枝细胞逃离免疫系统的方式 • 2008年 • 抗菌素中的某些药物能够通过产生化学作用来模仿免疫反应 • 与结核病易感性有关的基因TLR8 • 正在开发中的新药R
小部分,随着极性基团部分的增加,总体的极性就增加,展开剂极性也增加了。 以下分开讨论不同化合物极性情况及其对应的展开剂。 1、类极性较小的挥发性物质 冰片:石油醚(30~60℃)—醋酸乙酯(17:3)、 厚朴酚:苯-醋酸乙酯(9:1.5)、 α-香附酮:苯-醋酯乙酯-冰醋酸(92:5:5)、 丹皮酚:环己烷-醋酸乙酯(3:1), 结论:以石油醚、正构烷和苯为体积百分数比较大的溶剂,通常起溶解和分离化合物的作用,而用醋酸乙酯为调节Rf(比移值)的溶剂。为了减少拖尾之类其他相似相溶原则以外
技术资料暂无技术资料 索取技术资料










