相关产品推荐更多 >
万千商家帮你免费找货
0 人在求购买到急需产品
- 详细信息
- 文献和实验
- 技术资料
- 库存:
18
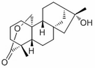
- 英文名:
Tripterifordin
- CAS号:
139122-81-9
- 保质期:
2年
- 供应商:
上海联迈生物工程有限公司
- 保存条件:
2-8℃
- 规格:
5mg
- 英文名:
- Tripterifordin
- 别名:
- Tripterifordin
- CAS号:
- 139122-81-9
- 分子式:
- C20H30O3
- 分子量:
- 318.4504

- 外观: 粉末
- 储存条件: 2-8℃
- 注意:部分产品我司仅能提供部分信息,我司不保证所提供信息的权威性,仅供客户参考交流研究之用。
风险提示:丁香通仅作为第三方平台,为商家信息发布提供平台空间。用户咨询产品时请注意保护个人信息及财产安全,合理判断,谨慎选购商品,商家和用户对交易行为负责。对于医疗器械类产品,请先查证核实企业经营资质和医疗器械产品注册证情况。
文献和实验1 引言 血脂异常是动脉粥样硬化的重要危险因素,要有效开展心血管病防治和研究工作,必须做到血脂分析标准化。标准化工作的核心是量值溯源,即通过一系列对比测量,使各常规分析与一公认的国际标准相联系。公认标准的具体体现即所谓的参考系统,一般包括参考方法和参考物质两方面。临床检验的量值溯源,是临床诊断和治疗疾病的需要,在欧洲也将成为法律要求。欧洲议会和理事会1998年10月签署一项将于2003年12月生效的关于体外诊断器具的导师(Directive 98/79
摘要:目的对野生和栽培竹节参中所含人参皂苷及其含量进行比较。方法参照人参的分析方法,以人参皂苷 Rg1、 Re为对照品,对野生和栽培竹节参进行 TLC鉴别比较,用发HPLC法进行定量分析。结果在选定的薄层条件下,对照品与供试品的薄层图谱清晰,分离度好,栽培和野生竹节参具有相同的斑点; 对照品在0.48~2.40 μg范围内具有良好的线性关系,回归方程为:Y= 336 182X-302 41, r=0.999 8。结论根据测定和比较的结果,栽培和野生竹节参所含人参皂苷类成分基本
藿的阴性对照品,再按照2.3项下方法制备阴性对照品溶液.精密吸取20μL注入到液相色谱仪中,进行测定,结果表明阴性对照品的色谱图在淫羊藿甙相应的保留时间附近几乎无干扰峰(图1C),提示本法专属性较强. 2.6 线性关系考察 分别取20.0,17.5,15.0,12.5,10.0,7.5,5.0μL淫羊藿甙对照品溶液(98mg/L),注入到高效液相色谱柱内,按2.1项下的色谱条件进行测定,以进样量(μg)为横坐标,峰面积积分值为纵坐标绘制标准曲线,得回归方程为 Y=2×10
技术资料暂无技术资料 索取技术资料








