相关产品推荐更多 >
万千商家帮你免费找货
0 人在求购买到急需产品
- 详细信息
- 文献和实验
- 技术资料
- 库存:
18
- 英文名:
Gentamycin sulfate
- CAS号:
1405-41-0
- 保质期:
2年
- 供应商:
上海联迈生物工程有限公司
- 保存条件:
2-8℃
- 规格:
200mg
- 别名:
- 硫酸庆大霉素;正泰霉素;硫酸艮他霉素
- CAS号:
- 1405-41-0
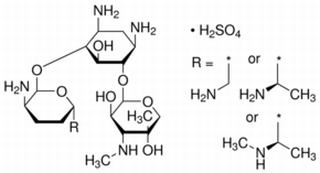
- 分子式:
- C21H43N5O7·H2SO4
- 分子量:
- 575.67
- MDL:
- MFCD00270181

- 介绍: 庆大霉素靠结合到30S核糖体亚单位上引起密码读错,阻断肽酰-tRNA(peptidyl-tRNA)从受体位点到供体点点的转移。庆大霉素对假单胞杆菌的杀菌效果靠结合到细胞膜的外膜部分,置换本来存在的阳离子,使膜不稳定,在细胞表面形成空洞。抗菌谱: 革兰氏阴性细菌,葡萄状球菌和其它的革兰氏阳性细菌。
- 熔点: 218-237℃
- 沸点: 218-237℃
- 外观: 白色粉末
- 储存条件: 2-8℃
- 用途: 庆大霉素靠结合到30S核糖体亚单位上引起密码读错,阻断肽酰-tRNA(peptidyl-tRNA)从受体位点到供体点点的转移。庆大霉素对假单胞杆菌的杀菌效果靠结合到细胞膜的外膜部分,置换本来存在的阳离子,使膜不稳定,在细胞表面形成空洞。 抗菌谱: 革兰氏阴性细菌,葡萄状球菌和其它的革兰氏阳性细菌。
- 注意:部分产品我司仅能提供部分信息,我司不保证所提供信息的权威性,仅供客户参考交流研究之用。
风险提示:丁香通仅作为第三方平台,为商家信息发布提供平台空间。用户咨询产品时请注意保护个人信息及财产安全,合理判断,谨慎选购商品,商家和用户对交易行为负责。对于医疗器械类产品,请先查证核实企业经营资质和医疗器械产品注册证情况。
文献和实验2.2.10 DNA微阵列法 Yan等2001年[40]将以分子杂交为基础的微阵列技术应用于DNA甲基化检测中,这种方法是基于杂交的寡核苷酸微阵列,是一种在基因组中寻找新位点的方法。包括用于整个基因组范围内扫描的差异甲基化(DMH)杂交(Huang等1999年[41])和用于检测某个位点的甲基化特异性微阵列MSO(Gitan等2002年[42])。前者类似于mRNA表达谱或cDNA微阵列,是CpG岛微阵列,后者类似于寡核苷酸微阵列,是针对CpG二核苷酸位点的甲基化特异性寡核苷酸微阵列[26
所用处理方法不同可以分为:基于PCR的甲基化分析方法;基于限制性内切酶的甲基化分析方法;基于重亚硫酸盐的甲基化分析方法和柱层法等。Christina Dahl和Per Guldberg[3]归纳总结了主要的甲基化分析方法及相关特性,在此基础上我们略加以补充。2 甲基化研究方法学回顾 2.1 基因组整体水平甲基化分析 2.1.1 高效液相色谱柱(HPLC)及相关方法 HPLC是一种比较传统的方法,能够定量测定基因组整体水平DNA甲基化水平。它由Kuo等1980年[18]首次报道。过程是将DNA样品先经盐
变。本组还除外近7d服用非固醇类抗炎药、H 2 受体拮抗剂、胃手术史、胆肾功能不全、哺乳和妊娠者。104例参加试验,男80例,女24例,年龄17岁~75岁,平均41.5岁。 1.2 方法 得乐冲剂(胶态次枸橼酸铋,下称De-Nol)及安慰剂(除不含铋盐,与De-Nol完全一样)。粉剂,每包110mg,均由珠海丽珠 制药 厂提供。硫酸庆大霉素,针剂,8万U/ml,广乐石歧制药厂出品。104例患者随机分成3组:De-
技术资料暂无技术资料 索取技术资料










