相关产品推荐更多 >
万千商家帮你免费找货
0 人在求购买到急需产品
- 详细信息
- 文献和实验
- 技术资料
- 库存:
18
- 英文名:
Gentamycin sulfate
- CAS号:
1405-41-0
- 保质期:
2年
- 供应商:
上海联迈生物工程有限公司
- 保存条件:
2-8℃
- 规格:
5g
- 英文名:
- Gentamycin sulfate
- 别名:
- 硫酸庆大霉素;正泰霉素;硫酸艮他霉素
- CAS号:
- 1405-41-0
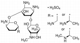
- 分子式:
- C21H43N5O7·H2SO4
- 分子量:
- 575.67
- MDL:
- MFCD00270181

- 介绍: 庆大霉素靠结合到30S核糖体亚单位上引起密码读错,阻断肽酰-tRNA(peptidyl-tRNA)从受体位点到供体点点的转移。庆大霉素对假单胞杆菌的杀菌效果靠结合到细胞膜的外膜部分,置换本来存在的阳离子,使膜不稳定,在细胞表面形成空洞。抗菌谱: 革兰氏阴性细菌,葡萄状球菌和其它的革兰氏阳性细菌。
- 熔点: 218-237℃
- 沸点: 218-237℃
- 外观: 白色粉末
- 储存条件: 2-8℃
- 用途: 庆大霉素靠结合到30S核糖体亚单位上引起密码读错,阻断肽酰-tRNA(peptidyl-tRNA)从受体位点到供体点点的转移。庆大霉素对假单胞杆菌的杀菌效果靠结合到细胞膜的外膜部分,置换本来存在的阳离子,使膜不稳定,在细胞表面形成空洞。 抗菌谱: 革兰氏阴性细菌,葡萄状球菌和其它的革兰氏阳性细菌。
- 注意:部分产品我司仅能提供部分信息,我司不保证所提供信息的权威性,仅供客户参考交流研究之用。
风险提示:丁香通仅作为第三方平台,为商家信息发布提供平台空间。用户咨询产品时请注意保护个人信息及财产安全,合理判断,谨慎选购商品,商家和用户对交易行为负责。对于医疗器械类产品,请先查证核实企业经营资质和医疗器械产品注册证情况。
文献和实验变。本组还除外近7d服用非固醇类抗炎药、H 2 受体拮抗剂、胃手术史、胆肾功能不全、哺乳和妊娠者。104例参加试验,男80例,女24例,年龄17岁~75岁,平均41.5岁。 1.2 方法 得乐冲剂(胶态次枸橼酸铋,下称De-Nol)及安慰剂(除不含铋盐,与De-Nol完全一样)。粉剂,每包110mg,均由珠海丽珠 制药 厂提供。硫酸庆大霉素,针剂,8万U/ml,广乐石歧制药厂出品。104例患者随机分成3组:De-
2F+DwTquooTcizAj6Sh40arj1e+iWJ2ispgsbT801bWi9OaaVDQ0u7N9Rf22Q7je3ypEkT/aXtAx/4gHh20RbetchuWXizve3YY/3L0LGHHqt8Cva+97zf/vEfvyYb4imWXpTxLz8m4rvgjodswc3X26Xnn2o3LbjZPv/Fv5GGuGa33/ZzO2n2HD17NAEWeUXwmQh44uy32U+uutL+69e+6jjedfsddvSxx3m8xNNFQ67wipqQKHyESZ35
4kOARRBoVVdV0du4Vtqi/f6tUqYIq26tIr4TAuH7dOly5dBnHbWyk45k6FDF06rRpMDIyitYy9pcjh4+AB2k+BEsVCrbGhQlkZgIsfGTm3U/i2n2ebMfe90CZuV1hSmcnUd9MqjDuOBiVVk3Fpa0X8bVhZyQ9qoA3zq06gCHlB6A42YH4OOzB0oPu0Kg7DWb50taH+e/fv2FDX1S7d1jh7v0HaEi/moebj0U9MiYVNhXxlSZNm0vCh7BJmEZfcqdOn6R
技术资料暂无技术资料 索取技术资料










