相关产品推荐更多 >
万千商家帮你免费找货
0 人在求购买到急需产品
- 详细信息
- 文献和实验
- 技术资料
- 库存:
大量
- 英文名:
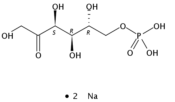
F6P;D-Fructose 6-phosphate disodium salt hydrate
- CAS号:
26177-86-6
- 保质期:
2年
- 供应商:
上海联迈生物工程有限公司
- 保存条件:
RT
- 规格:
瓶
| [产品编号] | LM1016T |
| [CAS号] | 26177-86-6 |
| [规格] | 生物技术级,98% |
| [包装] | 100毫克/250毫克 |
| [到货期] | 现货 |
英文名称:F6P;D-Fructose 6-phosphate disodium salt hydrate
其他名称:6-磷酸果糖二钠
CAS号:26177-86-6
C6H11Na2O9P • xH2O=304.10 (anhydrous basis)
级别:BioChemika
含量:≥98.0%
性状(以下信息仅供参考):白色或淡黄色粉末。溶于水:0.1 g/ml
用途:本品仅供科研,不得用于其它用途
保存:-20℃
风险提示:丁香通仅作为第三方平台,为商家信息发布提供平台空间。用户咨询产品时请注意保护个人信息及财产安全,合理判断,谨慎选购商品,商家和用户对交易行为负责。对于医疗器械类产品,请先查证核实企业经营资质和医疗器械产品注册证情况。
文献和实验2F+DwTquooTcizAj6Sh40arj1e+iWJ2ispgsbT801bWi9OaaVDQ0u7N9Rf22Q7je3ypEkT/aXtAx/4gHh20RbetchuWXizve3YY/3L0LGHHqt8Cva+97zf/vEfvyYb4imWXpTxLz8m4rvgjodswc3X26Xnn2o3LbjZPv/Fv5GGuGa33/ZzO2n2HD17NAEWeUXwmQh44uy32U+uutL+69e+6jjedfsddvSxx3m8xNNFQ67wipqQKHyESZ35
/+/q0s8fX9J0KCtH7EtiZy60HdVrVJceMfUh+FwlIe3hgwd49eoVTp86Beu9+xASEgINDQ0YkEBSqWIlNGveHHXr1c1AWpKoNAK+vcZ3uqSqoUZiBuXBebIW4ybYo9rqu9jdLk+k/wd0TOPxh2rmhH5O/uiPSpFfKZoAvwMVTTwjjhf8FRc22cLHcBS6lzFGzn7VMWecDbbbTUD5+jnC82d4XxmEWv0d0XRqI7xbsxP2f1OB5m86D5vHamL
,2F12;CRIS-3 Leu LFA-1(gp180/95)的α链 与ICAM-1(CD54)和ICAM-2(CD102)结合 CD11b Mol,OKM1; (Mac-1,CR3,integrin αm G,M,NK gp165/95的α链 C3bi和FB受体,与ICAM-1结合,粘附,调理吞噬 CD11c LeuM5;(CR4,integrin αx) M,G,NK,Tsub gp150/95的α链 C3bi受体,调理吞噬
技术资料暂无技术资料 索取技术资料










