相关产品推荐更多 >
万千商家帮你免费找货
0 人在求购买到急需产品
- 详细信息
- 文献和实验
- 技术资料
- 库存:
大量
- 英文名:
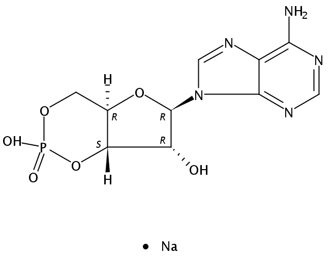
CAMP,Na;3′,5′-Cyclic AMP sodium salt;Adenosine 3′,5′-cyclic monophosphate sodium salt monohydrate
- 保质期:
2年
- 供应商:
上海联迈生物工程有限公司
- 保存条件:
RT
- 规格:
瓶
| [产品编号] | LM1044Z |
| [CAS号] | 37839-81-9 |
| [规格] | 试剂级,98% |
| [包装] | 1克/5克 |
| [到货期] | 现货 |
其他名称:环腺苷酸钠;腺苷-3′5′-环磷酸单钠盐;3′,5′-环单磷酸腺苷钠盐;环磷腺苷钠盐
CAS号:37839-81-9
C10H11N5NaO6P· H2O=369.20
级别:试剂级
含量:≥98.0%
干燥失重:≤10%
重金属:≤20ppm
性状(以下信息仅供参考):白色或类白色粉末。无臭。溶于水。溶解度:50mg/ml in water
用途:本品仅供科研,不得用于其它用途。
保存:-20℃
风险提示:丁香通仅作为第三方平台,为商家信息发布提供平台空间。用户咨询产品时请注意保护个人信息及财产安全,合理判断,谨慎选购商品,商家和用户对交易行为负责。对于医疗器械类产品,请先查证核实企业经营资质和医疗器械产品注册证情况。
文献和实验a look from the following website just by clicking "Tyrosine Phosphorylation and Dimerization" http://www.sciencedirect.com/science?_ob=ArticleURL&_udi=B6WSN-43F85YV-2&_user=1111158&_coverDate=06%2F29%2F2001&_rdoc=1&_fmt=full&_orig=search
/mYaA7FbS0aF0X6h27Yv28RbjZdQuaxxatXxsphZuacT10G1hPTG/E4KYY5f4r/p22Fj0uDMDFtVeRajsEE935+PjunbiPICJBbKuRFhuGD+81YWhmDeP84oLQETrm0MtlJqKmYwpd2paaAIG08amRPYxy3cHUtE1Ag2GnfM6clw5j5dtGoCShCnJvgX/bSJbu6pnmo3TxLBVq9B+ex8u5q/J4aoiLiysV2ozI149A6qtLeEaWaduiCSylH+Sa
。我国成人内生肌酐清除率平均为128L/24h。 (二)测定肾血流量 如果血浆中某一物质,在经过肾循环一周后可以被完全清除(通过滤过和分泌),亦即在肾动脉中该物质有一定浓度,但在肾静脉中其浓度接近于0,则该物质每分钟的尿中排出量(U×V),应等于每分钟通过肾的血浆中所含的量。设每分钟通过肾的血浆量为X,血浆中该物质浓度为P,即U×V=X×P,则该物质的清除率即为每分钟通过肾的血浆量。 U×V=X×P C=U×V/P=X 如果在静脉滴注碘锐特(diodrast
技术资料暂无技术资料 索取技术资料










