相关产品推荐更多 >
万千商家帮你免费找货
0 人在求购买到急需产品
- 详细信息
- 文献和实验
- 技术资料
- 库存:
大量
- 英文名:
β-NADPH;β-Nicotinamide adenine dinucleotide 2′-phosphate reduced tetrasodium salt hydrate ;2′-NADPH hydrate, Coenzyme II reduced tetrasodium salt;NADPH Na4;TPNH2 Na4;Triphosphopyridine nucleotide reduced tetrasodium salt;Dihydronicotinamide adenine dinucleotide phosphate tetrasodium salt
- 保质期:
2年
- 供应商:
上海联迈生物工程有限公司
- 保存条件:
RT
- 规格:
瓶
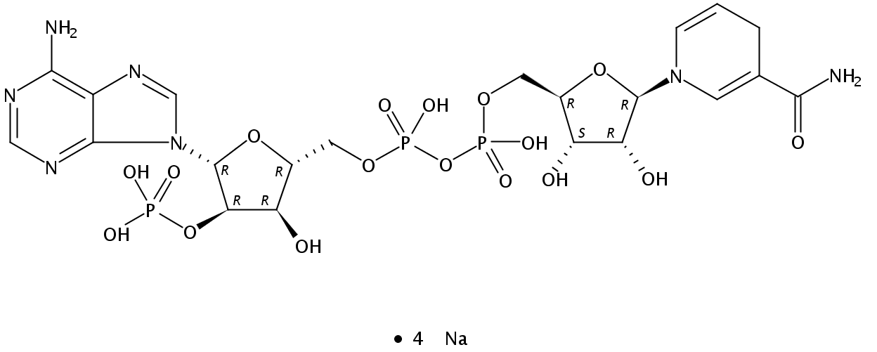
还原辅酶Ⅱ四钠盐水合物
其他名称:烟酰胺腺嘌呤二核苷酸磷酸四钠盐水合物;烟酰胺腺嘌呤双核苷酸磷酸四钠盐水合物
CAS号:2646-71-1
C21H26N7Na4O17P3·xH2O=833.35 (anhydrous basis)
含量:93~100% (HPLC)
性状(以下信息仅供参考):白色或淡黄色粉末
用途:本品仅供科研,不得用于其它用途。(以下用途仅供参考)通常作为电子供体,是很多氧化还原酶(包括一氮合成酶)的辅助因子
保存:-20℃
| [产品编号] | LM1630M |
| [CAS号] | 2646-71-1 |
| [规格] | 93-100%(HPLC) |
| [包装] | 25毫克 |
| [到货期] | 2-3天 |
英文名称:β-NADPH;β-Nicotinamide adenine dinucleotide 2′-phosphate reduced tetrasodium salt hydrate ;2′-NADPH hydrate, Coenzyme II reduced tetrasodium salt;NADPH Na4;TPNH2 Na4;Triphosphopyridine nucleotide reduced tetrasodium salt;Dihydronicotinamide adenine dinucleotide phosphate tetrasodium salt
其他名称:烟酰胺腺嘌呤二核苷酸磷酸四钠盐水合物;烟酰胺腺嘌呤双核苷酸磷酸四钠盐水合物
CAS号:2646-71-1
C21H26N7Na4O17P3·xH2O=833.35 (anhydrous basis)
含量:93~100% (HPLC)
性状(以下信息仅供参考):白色或淡黄色粉末
用途:本品仅供科研,不得用于其它用途。(以下用途仅供参考)通常作为电子供体,是很多氧化还原酶(包括一氮合成酶)的辅助因子
保存:-20℃
风险提示:丁香通仅作为第三方平台,为商家信息发布提供平台空间。用户咨询产品时请注意保护个人信息及财产安全,合理判断,谨慎选购商品,商家和用户对交易行为负责。对于医疗器械类产品,请先查证核实企业经营资质和医疗器械产品注册证情况。
文献和实验相关实验
69、CD70、CD71、CD95-CD97 激活抗原 CD26、CD30、CD69、CD70、CD71、CD95-CD97 粘附分子 CD11a-CD11c、CD15s、CD18、CD29、CD43、CD44、CD44R、CD48、CD49a-CD49f、CD50、CD51/CD61、CD54、CD55、CD58、CD59、CD62E、CD62L、CD62P、CD
技术资料暂无技术资料 索取技术资料
2646-71-1/还原辅酶Ⅱ四钠盐水合物
¥1500









