相关产品推荐更多 >
万千商家帮你免费找货
0 人在求购买到急需产品
- 详细信息
- 文献和实验
- 技术资料
- 库存:
大量
- 英文名:
Neomycin sulfate;Mycifradin sulfate
- CAS号:
1405-10-3
- 保质期:
2年
- 供应商:
上海联迈生物工程有限公司
- 保存条件:
RT
- 规格:
瓶
| [产品编号] | LM1146 |
| [CAS号] | 1405-10-3K |
| [规格] | USP级,600mcg/mg |
| [包装] | 10克/25克/100克/500克 |
| [到货期] | 现货 |
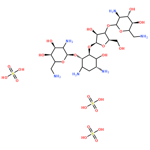
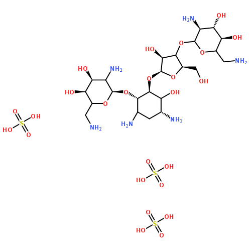
其他名称:硫酸新霉素
CAS号:1405-10-3
C23H46N6O13•3H2SO4=908.9
级别:USP Grade
效价:≥600ug/mg
PH(3.3% water):5.0~7.5
干燥失重:≤8.0%
性状(以下信息仅供参考):白色或淡黄色粉末,无臭、极易引湿、水溶液显右旋光性。在水中极易溶解,在乙醇、酮或氯仿中几乎不溶
用途:本品仅供科研,不得用于其它用途。(以下信息仅供参考)在没有影响神经元Na+/Ca2+ 反向转运蛋白(antiporter)的情况下阻断电压灵敏的Ca2+ 通道。结合到核糖体30S 和 50S 亚单位引起蛋白错误编码;在蛋白合成起间抑制起始和延长。抗菌谱: 革兰氏阴性和阳性细菌。
保存:RT
风险提示:丁香通仅作为第三方平台,为商家信息发布提供平台空间。用户咨询产品时请注意保护个人信息及财产安全,合理判断,谨慎选购商品,商家和用户对交易行为负责。对于医疗器械类产品,请先查证核实企业经营资质和医疗器械产品注册证情况。
文献和实验/Angelman综合征等[10]。1.2.2 DNA甲基化与肿瘤甲基化状态的改变是引起肿瘤的一个重要因素,这种变化包括基因组整体甲基化水平降低和CpG岛局部甲基化水平的异常升高,从而导致基因组的不稳定(如染色体的不稳定、可移动遗传因子的激活、原癌基因的表达)[4]和抑癌基因的不表达。如果抑癌基因中有活性的等位基因失活,则发生癌症的机率提高,例如:胰岛素样生长因子-2(IGF-2)基因印记丢失导致多种肿瘤,如Wilm‘s瘤[11]。目前肿瘤甲基化的研究主要集中在抑癌基因。这是因为人们发现肿瘤的发生可能与抑癌基因启动
扫描仪中,都采用机械式的二维X,Y线性扫描技术实现,即X,Y方向都采用直线驱动器和直线导轨实现往复运动。此类装置,由于驱动系统的频率限制,驱动器的扫描惯性大,使得扫描效率低,分析时间相当长;并且往复行程长,对直线导轨的精度要求相当高。二、光机结合的二维扫描系统为同样实现生物芯片的二维扫描,我们的实验装置设计如图2,采用了振镜和大数值孔径的远心f-è物镜相结合实现X方向扫描,Y方向的运动仍采用直线驱动器和直线导轨实现。 系统中,对于f-è物镜,满足x=2fè(è为振镜的摆动角度,f为物镜焦距)的线性
2.2.10 DNA微阵列法 Yan等2001年[40]将以分子杂交为基础的微阵列技术应用于DNA甲基化检测中,这种方法是基于杂交的寡核苷酸微阵列,是一种在基因组中寻找新位点的方法。包括用于整个基因组范围内扫描的差异甲基化(DMH)杂交(Huang等1999年[41])和用于检测某个位点的甲基化特异性微阵列MSO(Gitan等2002年[42])。前者类似于mRNA表达谱或cDNA微阵列,是CpG岛微阵列,后者类似于寡核苷酸微阵列,是针对CpG二核苷酸位点的甲基化特异性寡核苷酸微阵列[26
技术资料暂无技术资料 索取技术资料










