相关产品推荐更多 >
万千商家帮你免费找货
0 人在求购买到急需产品
- 详细信息
- 文献和实验
- 技术资料
- 库存:
1000
- 英文名:
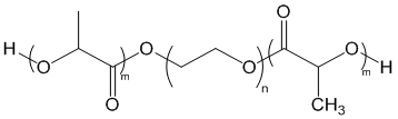
PLA-PEG-PLA
- CAS号:
无
- 保质期:
一年
- 供应商:
魅罗科技有限公司(MELOPEG)
- 保存条件:
-20°冻存
- 规格:
10g
【产品名称】
PLA-PEG-PLA
PLGA-PEG-PLGA
PLCA-PEG-PLCA
【相变温度】
常备货:15±2℃,25±2℃,30±2℃,35±2℃,40±2℃具体现货库存请咨询
其他可以定制合成
【性 状】
浅黄色到黄褐色胶体
【保 存】
干燥(环境空气湿度应小于30%);避酸,碱,醇类物质;-20℃保存
【性质】
在温度低于相转变温度时,聚合物可溶于水形成自由流动液体,温度升高至相转变温度以上,聚合物的水溶液发生相变,形成非化学交联的凝胶,并且形成凝胶的过程是可逆的,在温度降低时又可发生凝胶-溶液的转变。
【配置】
加水配制成15-20%的水溶液(水充分没过聚合物),在低于相变温度 10 度的温度下溶解的比较快,建议玻璃棒搅拌几次,使胶体内部和水充分接触,有利于加速溶解PEG。注意:配成溶液的浓度大小对相变温度有影响,同一个聚合物水溶液浓度小相应的相变温度大些,反之浓度大相变温度小些。
风险提示:丁香通仅作为第三方平台,为商家信息发布提供平台空间。用户咨询产品时请注意保护个人信息及财产安全,合理判断,谨慎选购商品,商家和用户对交易行为负责。对于医疗器械类产品,请先查证核实企业经营资质和医疗器械产品注册证情况。
文献和实验PLA技术全称为Proximity Ligation Assay,国内译为邻位连接或者邻近连接技术。PLA技术是一种特殊的免疫分析方法,可用于检测目标蛋白,蛋白相互作用等等。该方法通过一对标记有一段寡聚脱氧核苷酸(单链DNA)的单克隆或者多克隆抗体的探针,即PLA probe(探针),识别目的蛋白,当这两个探针识别同一个蛋白时,两个探针之间的距离靠近,产生了所谓的邻近效应(proximity)。此时,通过加入一段分别与连接在抗体上的DNA互补的连接寡聚脱氧核苷酸(connector
Cetyltrimethylammoniumbromide(CTAB)Pla
temperature for 20 min. 5. Centrifuge at 1,000 X g for 5 min to resolve phases. 6. Transfer the aqueous phase to a fresh tube, add 17 ml of Isopropanol, mix, and place on ice for 10 min. 7. Centrifuge at 1,000 X g for 5 min to collect
Cetyltrimethylammonium bromide (CTAB) Pla
vigorous shaking. 4. Add 10 ml of Chloroform, shake well, and place on a tube inverter at room temperature for 20 min. 5. Centrifuge at 1,000 X g for 5 min to resolve phases. 6. Transfer the aqueous phase to a fresh tube, add 17 ml of Isopropanol, mix
技术资料暂无技术资料 索取技术资料










