相关产品推荐更多 >
万千商家帮你免费找货
0 人在求购买到急需产品
- 详细信息
- 询价记录
- 文献和实验
- 技术资料
- 库存:
50
- 英文名:
Fluo-4 AM (钙离子荧光探针, 2mM)
- 保质期:
一年
- 供应商:
上海信裕生物科技有限公司
- 保存条件:
-20℃避光保存,6个月有效。
- 规格:
25微升
Fluo-4 AM是最常用的检测细胞内钙离子浓度的荧光探针之一。分子式为C51H50F2N2O23,分子量为1096.95。
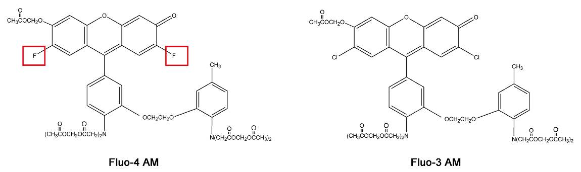
Fluo-4 AM在Fluo-3 AM的基础上改进而成,其特点是加载更快并且在相同条件下荧光更加明亮。Fluo-4 AM将Fluo-3 AM结构中的氯原子替换成了氟原子,导致它的最大激发波长会向短波长处偏离12nm左右。这个波长更接近于氩激光器的波长488nm,所以用氩激光器激发时,Fluo-4的荧光强度会比Fluo-3强一倍。由于Fluo-4与钙离子的亲和力和Fluo-3相近,所以使用上和Fluo-3也基本相同,可以使用激光共聚焦显微镜、荧光酶标仪等荧光检测仪器来测定细胞内钙离子浓度的变化。Fluo-4 AM和Fluo-3 AM的结构式参考图1。

图1. Fluo-4 AM和Fluo-3 AM的结构式。
Fluo-4 AM是Fluo-4的乙酰甲酯衍生物,是一种可以穿透细胞膜的荧光染料。Fluo-4 AM的荧光非常弱,其荧光不会随钙离子浓度升高而增强。Fluo-4 AM进入细胞后可以被细胞内的酯酶剪切形成Fluo-4,从而被滞留在细胞内。Fluo-4可以和钙离子结合,结合钙离子后可以产生较强的荧光,最大激发波长为494nm,最大发射波长为516nm。实际检测时推荐使用的激发波长为488nm左右,发射波长为512-520nm。Fluo-4的激发光谱和发射光谱参考图2。

图2. Fluo-4的激发光谱和发射光谱
用于细胞内钙离子检测时,Fluo-4 AM的常用浓度为0.5-5μM。通常用含有0.5-5μM的Fluo-4 AM的适当溶液和细胞一起在20-37℃孵育10-60分钟进行荧光探针装载,随后适当洗涤,洗涤后可以考虑适当再孵育20-30分钟以确保Fluo-4 AM在细胞内充分转变成Fluo-4。
本Fluo-4 AM(钙离子荧光探针) 是配制于无水DMSO (anhydrous DMSO)中的储存母液,浓度为2mM。
包装清单:
| 产品编号 | 产品名称 | 包装 |
| XY-1060 | Fluo-4 AM(钙离子荧光探针,2mM) | 25μl |
| — | 说明书 | 1份 |
保存条件:
-20℃避光保存,6个月有效。
注意事项:
Fluo-4 AM遇水极易分解,建议第一次使用时,母液分装并密封保存,同时注意保持干燥。
Fluo-4 AM在4℃、冰浴等较低温度情况下会凝固而粘在离心管管底、管壁或管盖内,可以20-25℃水浴温育片刻至全部融解后使用。
探针的工作浓度、细胞量、孵育温度和时间等需要根据不同实验预先摸索。
荧光染料均存在淬灭问题,请尽量注意避光,以减缓荧光淬灭。
本产品仅限于专业人员的科学研究用,不得用于临床诊断或治疗,不得用于食品或药品,不得存放于普通住宅内。
为了您的安全和健康,请穿实验服并戴一次性手套操作。
风险提示:丁香通仅作为第三方平台,为商家信息发布提供平台空间。用户咨询产品时请注意保护个人信息及财产安全,合理判断,谨慎选购商品,商家和用户对交易行为负责。对于医疗器械类产品,请先查证核实企业经营资质和医疗器械产品注册证情况。
- 作者
- 内容
- 询问日期
文献和实验rongshenghao 加入激活剂或抑制剂后打算用Fura-2或者Fluo-3测量细胞内钙离子浓度 问: 1.Fura-2和Fluo-3区别? 2.测量的是游离钙还是总钙呀? 3.还有什么需要注意的? 谢了! 2010tiger Fura-2采用双波长检测,Fluo-3是单波长检测,Fura-2的激发波长是340nm和380nm,发射波长为510nm。Fluo-3的激发波长是506nm
求助者:wjg200022 最近我在测细胞内的钙浓度,用的是fluo-3 探针,但选多大的激发,发射波长很为难,有文献用的是488/515nm,有的用的506/526nm,我打算用流式细胞仪测,有做过这方面的给点指点,谢谢。 此外我找到一段原话:“Fluo-3 AM是一种可以穿透细胞膜的荧光染料。Fluo-3 AM的荧光非常弱,其荧光不会随钙离子浓度升高而增强。Fluo-3 AM进入细胞后可以被细胞内的酯酶剪切形成Fluo-3,从而被滞留在细胞
扫描共聚焦显微镜的基本原理及主要功能。 2. 如何选择共聚焦激光扫描显微镜的荧光探针? 3. 设计一个用Fluo-3测定细胞内Ca2+的实验程序。
技术资料暂无技术资料 索取技术资料









