相关产品推荐更多 >
万千商家帮你免费找货
0 人在求购买到急需产品
- 详细信息
- 文献和实验
- 技术资料
- 供应商:
上海羽朵
- 库存:
100
- 英文名:
Leupeptin
- 规格:
1g
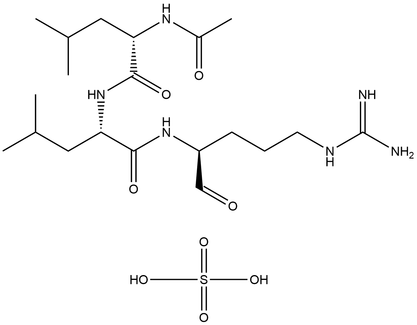
| 中文名称: | 亮抑酶肽 |
| 中文同义词: | LEUPEPTIN 亮抑酶肽(分装);亮抑酶肽;亮肽素;半硫酸亮抑酶肽;亮抑酶肽半硫酸盐, 可逆的竞争性丝氨酸和半胱氨酸蛋白酶抑制剂;亮肽素、亮抑肽酶;CS-2263;亮抑酶酞, ≥90%(HPLC) |
| 英文名称: | Leupeptin |
| 英文同义词: | AC-LEU-LEU-ARGININAL HEMISULPHATE;AC-LEU-LEU-ARGININAL X 1/2 H2SO4;AC-LEU-LEU-L-ARGININAL;AC-LLR-CHO;AC-LLR-CHO, 1/2H2 SO4;N-ACETYL-L-LEUCYL-L-LEUCYL-L-ARGININAL HEMISULFATE;Acetyl-L-leucyl-L-leucyl-L-argininal hemisulfate;leupeptin hemisulfate from microbial*source |
| CAS号: | 103476-89-7 |
| 分子式: | C20H38N6O4 |
| 分子量: | 426.55 |
| EINECS号: | 600-443-5 |
| 相关类别: | 化学试剂-;生化试剂-酶类;多肽类;生化试剂;氨基酸;生物缓冲液;细胞裂解蛋白酶抑制剂;基因组学和分子诊断;蛋白质组学;小分子抑制剂,天然产物;酶类;Protease;Pepetides;ProteaseInhibitors;peptides;inhibitor;Inhibitors |
| Mol文件: | 103476-89-7.mol |
![]() |
|
| CS-2229 | 1210416-52-6 |
| 2',3-二甲基-N-[5-(2-吡嗪基)-2-吡啶基]-[2,4'-联吡啶]-5-乙酰胺 | 1243244-14-5 |
| CS-2251 | 374913-63-0 |
| 马拉维若 | 376348-65-1 |
| MK-3697 | 1224846-01-8 |
| CS-2069 | 1802088-50-1 |
| 4-((1-BUTYL-3-PHENYLUREIDO)METHYL)-N-HYDROXYBENZAMIDE | 1403783-31-2 |
| 抑制剂 | 123653-11-2 |
| N6-[2-[[4-(二乙基氨基)-1-甲基丁基]氨基]-6-甲基-4-嘧啶基]-2-甲基-4,6-喹-啉二胺 | 733767-34-5 |
| 神经保护药物 NXY 059 | 168021-79-2 |
| PAMAPIMOD | 449811-01-2 |
风险提示:丁香通仅作为第三方平台,为商家信息发布提供平台空间。用户咨询产品时请注意保护个人信息及财产安全,合理判断,谨慎选购商品,商家和用户对交易行为负责。对于医疗器械类产品,请先查证核实企业经营资质和医疗器械产品注册证情况。
文献和实验CD89 分子 CD89 常用单克隆抗体或代号: 79E6,A3;(Fca R) 主要表达细胞: My,Tsub,Bsub [M] 分子质量(kDa)和结构: gp55- 75(IgSF) 功 能: IgAFc段受体,信号转导 CD89 Summary: IgA Fc receptor, binds IgA and eliminates IgA coated targets
cgaoy121 请问PKA抑制剂H89用什么溶剂来溶解,DMSO,水,培养基还是PBS? cgaoy121 找到了,用DMSO 鱼cynthia DMSO溶解后 用什么稀释 PBS么 cgaoy121 PBS或者培养基都可以稀释 chenlinghezzx 一般是用培养基。 萍萍-2011
中秋国庆小长假来场浪漫的旅行?不存在的,别说堵的心慌,宰的憋屈,主要是没钱。作为一枚小硕,国家助学金每月不到 600 块,别说精神需求,连满足基本生活支出都困难。作为生物狗,先不要想着发表 CNS,找到好工作,走上人生巅峰,先想办法毕业吧,下面来看看科研狗到底有多穷。学霸君先带你看看各地生命科学研究生的每月收入情况。从整体上来看,港澳台和海外地区是同等级收入最高的,这可能与当地的生活成本有关;大陆地区的华北和华东是生命科学研究生收入津贴较多的地区,如华北地区硕士平均津贴为 1241.35 元
技术资料暂无技术资料 索取技术资料









