相关产品推荐更多 >
万千商家帮你免费找货
0 人在求购买到急需产品
- 详细信息
- 文献和实验
- 技术资料
- 库存:
39
- 英文名:
Quillaic acid
- CAS号:
631-01-6
- 保质期:
详见说明书
- 供应商:
上海研生
- 保存条件:
低温冷藏
- 规格:
20mg/50mg/1g,可按客户需求包装!
订购须知:
1.产品优势:高效稳定的专业纯化技术,完善的库存及供应体系,高效的销售团队。
2.包装规格:常规包装,如有特殊需求,我们根据客户要求包装。
3.运输方式:默认中通快递,大宗货物走德邦物流。
4.质量保证:严格的质量控制,通过全面的检测,是产品质量保证的基础。如有异议经我司确认可无条件退换货。
5.存储条件:本品应密封遮光,贮存在干燥、阴凉处。
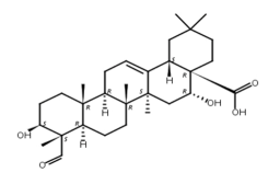
产品名称 631-01-6皂皮酸、皂树皮酸
英文名称 Quillaic acid
CAS NO. 631-01-6
分 子 量 486.68
纯 度 ≥98%

性状: 白色粉末
规格: 20mg/50mg/1g,可按客户需求包装!
用途: 用于科研研究、鉴定、药理实验等
熔点: 补充中
溶解性: 可溶于甲醇、乙醇、DMSO等有机溶剂;
提取来源: 皂树皮
药理药效: 补充中
鉴别方法: NMR;Ms
检测方法: HPLC
贮存条件: 低温冷藏,避光,密封,干燥
注意事项: 刺激皮肤,对眼睛有严重伤害;防止阳光直射
有效期限: 2年
供货能力: 现货,可根据可以客户需求批量定制
特点:是一种敏感性高,特异性强,重复性好的实验诊断方法,由于其试剂稳定、易保存,操作简便,结果判断较客观等因素,已广泛应用在免疫学检验的各领域中。
检测方式:相色谱法HPLC≥98%。
贮存条件:4℃冷藏、密封、避光。
包装:可根据客户需求提供相应批量包装。
用途:用于含量测定、鉴别、药理实验、活性筛选等。
.631-01-6皂皮酸、皂树皮酸购买注意事项:
2、购买时应注意麦冬皂苷D'标准品分子式、分子量及结构式,麦冬皂苷D'标准品CAS编码,以免发生误购。
3、不同的标准品、对照品应根据其理化性质、贮存要求的不同选择适宜的贮存环境和条件,分别置
于规定的位置。
4、 标准品、对照品购回后,检查外包装完好、封口严密、标签完好、清楚。
5、贮存环境:贮存在冰箱中。特殊品种要求严格按照规定的贮存条件妥善保存。
Japanese Encephalitis Virus(JEV)日本脑炎病毒RT-LAMP试剂盒
Jerry Slough Virus(JSV) RT-LAMP试剂盒
John Cunningham Virus(JCV )JC病毒LAMP试剂盒
DPH2 白喉酰胺生物合成样蛋白2抗体ATP-柠檬裂解酶检测试剂盒含量:
CRMP5 二氢嘧啶酶相关蛋白5抗体细胞色素P4502D6检测试剂盒含量:
Phospho-CRMP2 (Thr514+Ser518) 化二氢嘧啶酶样2抗体细胞色素P4502E1检测试N-Cad(Human Neural-Cadherin) ELISA kit 人N钙黏蛋白/神经钙黏蛋白丹皮酚
phytohaemagglutinin,PHA ELISA Kit 植物血凝素丹皮酚磺钠
ANG-2 (Rabbit Angiopoietin 2) ELISA Kit 兔血管生成素2丹皮酚新苷
大鼠c-fos ELISA Kit 大鼠c-fos丹皮酚原苷
ADAM9 ELISA Kit 小鼠解整合素样金属蛋白酶9丹叶大黄素
HB-EGF(Human heparin-binding
631-01-6皂皮酸、皂树皮酸Japanese Encephalitis Virus(JEV)日本脑炎病毒RT-LAMP试剂盒
Jerry Slough Virus(JSV) RT-LAMP试剂盒
John Cunningham Virus(JCV )JC病毒LAMP试剂盒
DPH2 白喉酰胺生物合成样蛋白2抗体ATP-柠檬裂解酶检测试剂盒含量:
CRMP5 二氢嘧啶酶相关蛋白5抗体细胞色素P4502D6检测试剂盒含量:
Phospho-CRMP2 (Thr514+Ser518) 化二氢嘧啶酶样2抗体细胞色素P4502E1检测试
仅供科研实验,不做其他用途!
关于标准品:
一)选择问题
标准品的选择原则包括物质稳定性以及参比物质和测定物质的同质性。
其次,在标准品选择时应该充分关注不同盐基、酸根的不同用途。
二)来源渠道多
其来源渠道一般包括:自制标准品;原料药精制提供;国外购进;直接在原料药基础上提高质量要求后进行对照。我司提供的标准品渠道正规,符合国家相关标准,请客户放心购买。
标准品的管理:
(一)接收
收到标准品后,应检查外包装是否完好密封,标签是否清晰完整,并及时填好相关贮存记录,记录信息要完整无缺,至少要包括产品名称、储存条件、存入日期、保质期、规格、批号、含量、数量、瓶号以及备注信息等。
(二)销毁
及时检查基准标准品是否过期,如有过期,需要收集起来及时做销货处理。
(三)使用
采用登记制度,如需要取用,则需要填写取用的产品名、对应的批号、数量、使用目的、取用人等相关详细的信息,以明确责任主体,保证能够查到标准品使用的来龙去脉。
(四)贮存
对于标准品的存放期间,要经常性的核查标准品是否失效,对于怕光怕热易挥发的标准品,是否密封实了,是否按照存放要求进行存放。
我司提供以下服务:
1中药提取物的定制和,中药提取物代加工相关服务。
2.中药高含量提取物的工业化高效分离及分离纯化
3.天然产物原料药和中间体的,定制(包括合成,半合成)
1.产品优势:高效稳定的专业纯化技术,完善的库存及供应体系,高效的销售团队。
2.包装规格:常规包装,如有特殊需求,我们根据客户要求包装。
3.运输方式:默认中通快递,大宗货物走德邦物流。
4.质量保证:严格的质量控制,通过全面的检测,是产品质量保证的基础。如有异议经我司确认可无条件退换货。
5.存储条件:本品应密封遮光,贮存在干燥、阴凉处。
产品名称 631-01-6皂皮酸、皂树皮酸
英文名称 Quillaic acid
CAS NO. 631-01-6
分 子 量 486.68
纯 度 ≥98%

性状: 白色粉末
规格: 20mg/50mg/1g,可按客户需求包装!
用途: 用于科研研究、鉴定、药理实验等
熔点: 补充中
溶解性: 可溶于甲醇、乙醇、DMSO等有机溶剂;
提取来源: 皂树皮
药理药效: 补充中
鉴别方法: NMR;Ms
检测方法: HPLC
贮存条件: 低温冷藏,避光,密封,干燥
注意事项: 刺激皮肤,对眼睛有严重伤害;防止阳光直射
有效期限: 2年
供货能力: 现货,可根据可以客户需求批量定制
特点:是一种敏感性高,特异性强,重复性好的实验诊断方法,由于其试剂稳定、易保存,操作简便,结果判断较客观等因素,已广泛应用在免疫学检验的各领域中。
检测方式:相色谱法HPLC≥98%。
贮存条件:4℃冷藏、密封、避光。
包装:可根据客户需求提供相应批量包装。
用途:用于含量测定、鉴别、药理实验、活性筛选等。
.631-01-6皂皮酸、皂树皮酸购买注意事项:
2、购买时应注意麦冬皂苷D'标准品分子式、分子量及结构式,麦冬皂苷D'标准品CAS编码,以免发生误购。
3、不同的标准品、对照品应根据其理化性质、贮存要求的不同选择适宜的贮存环境和条件,分别置
于规定的位置。
4、 标准品、对照品购回后,检查外包装完好、封口严密、标签完好、清楚。
5、贮存环境:贮存在冰箱中。特殊品种要求严格按照规定的贮存条件妥善保存。
Japanese Encephalitis Virus(JEV)日本脑炎病毒RT-LAMP试剂盒
Jerry Slough Virus(JSV) RT-LAMP试剂盒
John Cunningham Virus(JCV )JC病毒LAMP试剂盒
DPH2 白喉酰胺生物合成样蛋白2抗体ATP-柠檬裂解酶检测试剂盒含量:
CRMP5 二氢嘧啶酶相关蛋白5抗体细胞色素P4502D6检测试剂盒含量:
Phospho-CRMP2 (Thr514+Ser518) 化二氢嘧啶酶样2抗体细胞色素P4502E1检测试N-Cad(Human Neural-Cadherin) ELISA kit 人N钙黏蛋白/神经钙黏蛋白丹皮酚
phytohaemagglutinin,PHA ELISA Kit 植物血凝素丹皮酚磺钠
ANG-2 (Rabbit Angiopoietin 2) ELISA Kit 兔血管生成素2丹皮酚新苷
大鼠c-fos ELISA Kit 大鼠c-fos丹皮酚原苷
ADAM9 ELISA Kit 小鼠解整合素样金属蛋白酶9丹叶大黄素
HB-EGF(Human heparin-binding
631-01-6皂皮酸、皂树皮酸Japanese Encephalitis Virus(JEV)日本脑炎病毒RT-LAMP试剂盒
Jerry Slough Virus(JSV) RT-LAMP试剂盒
John Cunningham Virus(JCV )JC病毒LAMP试剂盒
DPH2 白喉酰胺生物合成样蛋白2抗体ATP-柠檬裂解酶检测试剂盒含量:
CRMP5 二氢嘧啶酶相关蛋白5抗体细胞色素P4502D6检测试剂盒含量:
Phospho-CRMP2 (Thr514+Ser518) 化二氢嘧啶酶样2抗体细胞色素P4502E1检测试
仅供科研实验,不做其他用途!
关于标准品:
一)选择问题
标准品的选择原则包括物质稳定性以及参比物质和测定物质的同质性。
其次,在标准品选择时应该充分关注不同盐基、酸根的不同用途。
二)来源渠道多
其来源渠道一般包括:自制标准品;原料药精制提供;国外购进;直接在原料药基础上提高质量要求后进行对照。我司提供的标准品渠道正规,符合国家相关标准,请客户放心购买。
标准品的管理:
(一)接收
收到标准品后,应检查外包装是否完好密封,标签是否清晰完整,并及时填好相关贮存记录,记录信息要完整无缺,至少要包括产品名称、储存条件、存入日期、保质期、规格、批号、含量、数量、瓶号以及备注信息等。
(二)销毁
及时检查基准标准品是否过期,如有过期,需要收集起来及时做销货处理。
(三)使用
采用登记制度,如需要取用,则需要填写取用的产品名、对应的批号、数量、使用目的、取用人等相关详细的信息,以明确责任主体,保证能够查到标准品使用的来龙去脉。
(四)贮存
对于标准品的存放期间,要经常性的核查标准品是否失效,对于怕光怕热易挥发的标准品,是否密封实了,是否按照存放要求进行存放。
我司提供以下服务:
1中药提取物的定制和,中药提取物代加工相关服务。
2.中药高含量提取物的工业化高效分离及分离纯化
3.天然产物原料药和中间体的,定制(包括合成,半合成)
风险提示:丁香通仅作为第三方平台,为商家信息发布提供平台空间。用户咨询产品时请注意保护个人信息及财产安全,合理判断,谨慎选购商品,商家和用户对交易行为负责。对于医疗器械类产品,请先查证核实企业经营资质和医疗器械产品注册证情况。
文献和实验相关实验
室,正在积极进行这方面的研究。 山毛榉油在印度是不可食用油中的一种。一个研究报告发表在《Biomass and Bioenergy》上,该研究做了把山毛榉油转化成生物柴油的试验。 山毛榉油含大量的自由酯肪酸,它能使碱性催化剂形成皂,因此采用酸性催化剂对山毛榉油预处理,采集来做实验的山毛榉油,测量出含3.2%自由脂肪酸。为了评估自由脂肪酸含量对生物柴油生产的影响,实验中向山毛榉油添加生油酸,使山毛榉油的自由脂肪酸含量达到20%、15%、和5%。 为了使山
技术资料暂无技术资料 索取技术资料
631-01-6皂皮酸、皂树皮酸
询价










