万千商家帮你免费找货
0 人在求购买到急需产品
- 详细信息
- 技术资料
- 库存:
47
- 英文名:
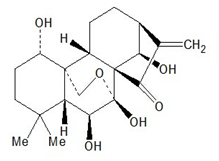
Oridonin
- CAS号:
28957-04-2
- 保质期:
详见说明书
- 供应商:
上海邦景
- 保存条件:
低温冷藏
- 规格:
可根据客户要求大包装订制
公司经营的所有产品仅用于科研,不可用于临床:
特点:
①权威,准确——货源全部来自国家权威机构或国际公认标准品、对照品公司;
②快捷,方便——签订购销合同当天发货,全国各地三天到货,实现一对一、门对门送货;
③可靠、放心——有技术专人负责售前售中和售后服务
产品名称 28957-04-2冬凌草甲素、冬凌草素规格
英文名称 Oridonin
分 子 量: 364.43
CAS NO.: 2
8957-04-2
纯 度: ≥98%
分子式: C20H28O6

性状: 淡黄色针状结晶
规格: 20mg/50mg/1g,可按客户需求包装!
用途: 用于科研研究、鉴定、药理实验等
熔点: 248-250℃
溶解性: 微溶于水,溶于甲醇、乙酯、等
提取来源: 冬凌草
药理药效: 冬凌草甲素对多种癌细胞具有很强的杀灭抑制作用,主要用于抗癌,抗菌、抗肿瘤、杀虫清热解毒、消炎止痛、健胃活血及等作用
鉴别方法: NMR;Ms
检测方法: RP-HPLC:甲醇:水(55:45) λ:239nm(仅供参考)
贮存条件: 低温冷藏,避光,密封,干燥
注意事项: 无
标准品和对照品定义和区分:
对照品系指用于鉴别、检查、含量测定和校正检定仪器性能的标准物质.
标准品系指用于生物检定、抗生素或生物药品中含量或效价测定的标准物质,以效价单位(U)表示。
对照品系指用于生物制品理化等方面测定的特定物质,由生产单位采用与制品生产工艺相同的方法制备。对照品应尽可能与制品原液配方一致,稳定性较差的,可加不含对测定有干扰物质的适宜的稳定剂。对照品由国家药品检定机构审查认可,其标准应不低于制品的质量标准。
标准品:是指用于鉴别、检查、含量测定的标准物质,均由国务院药品监督管理部门指定的单位制备、标定和供应。标准品系指用于生物测定、抗生素或生化药品中含量或效价测定的标准物质,一国际标准品进行标定;对照品出另有规定外,按干燥进行计算后使用。
Sulfadiazine 68-35-9 中文名:磺胺嘧啶 分子式:C10H10N4O2S 度:99.0% 小鼠胰岛素样生长因子1(IGF-1)ELISAKit ELISA. 96T/48T
Sulfaclozine 102-65-8 中文名:磺胺氯吡嗪 分子式:C10H9ClN4O2S 度:99.0% 小鼠白介素10(IL-10)ELISAKIT ELISA. 96T/48T
Sucrose 57-50-1 中文名: 分子式:C12H22O11 度:% 关键词: 中药对照品; 中药标准品; 植物提取物; 天然产物; 天然产物库 小鼠白介素11(IL-11)ELISAKit ELISA. 96T/48T
Succinic acid 110-15-6 中文名: 分子式:C4H6O4 度:% 关键词: 增香剂; 中药对照品; 中药标准品; 植物提取物; 天然产物; 天然产物库 中文名称 方法 规格
Strontium ranelate 135459-87-9 中文名:雷尼酸锶 分子式:C12H10N2O8S 度:98.0% 关键词: 小鼠胰岛素elisa试剂盒 小鼠胰岛素试剂盒 规格型号:96T/48T 小鼠胰岛素试剂盒,规格型号:96T/48T,来源:elisa试剂盒(进口分装),产品别名:小鼠胰岛素试剂盒、小鼠胰岛素elisa试剂盒 保存条件:2-8℃ 保质期:6个月。
11-Hydroxyjasmonic acid 中文名: 分子式:C12H18O4 心肌钙蛋白 (c) 作用: ELISA 规格: 48T/96T 进口分装
11,12-Di-O-acetyltenacigenin B 中文名: 分子式:C25H36O7 CXCL8(CXCL-8) 作用: ELISA 规格: 48T/96T 进口分装
1,8-Bis(dimethylamino)naphtalene 中文名:1,8-双二甲氨基萘 分子式:C14H18N2 结蛋白 (Desmin) 作用: ELISA 规格: 48T/96T 进口分装
1,6-Dioxaspiro[4.5]decan-2-methanol 中文名: 分子式:C9H16O3 雌三醇 (E3) 作用: ELISA 规格: 48T/96T 进口分装
1,6-Dibromopyrene 中文名:1,6-二溴芘 分子式:C16H8Br2 小鼠组织因子途径抑制物(TFPI)ELISAKit ELISA. 96T/48T
甘草酸二铵盐 Diammonium Glycyrrhizate 质量规格:UV≥97%,BR 小鼠谷酸脱羧酶2(GAD2)ELISA试剂盒 ,英文名: GAD2 ELISA Kit
橄榄苦苷(标准品) Oleuropein 质量规格:HPLC≥98%,标准品 小鼠谷酸脱羧酶自身抗体(GAD-Ab)ELISA试剂盒 ,英文名: GAD-Ab ELISA Kit
高丽槐素(标准品) Maackiain 质量规格:HPLC≥98%,标准品 小鼠谷酸脱羧酶自身抗体IgG(GAD-Ab-IgG)ELISA试剂盒 ,英文名: GAD-Ab-IgG ELISA Kit
高良姜素(标准品) Galangin 质量规格:HPLC≥98%,标准品 小鼠谷酸脱羧酶自身抗体IgM(GAD-Ab-IgM)ELISA试剂盒 ,英文名: GAD-Ab-IgM ELISA Kit
高三尖杉酯碱(标准品) Homoharringtonine 质量规格:HPLC≥98%,标准品 小鼠谷酰胺合成酶(GS)ELISA试剂盒 ,英文名: GS ELISA Kit
高香草酸(标准品) Homovanillic acid 质量规格:HPLC≥98%,标准品 小鼠谷酰胺酶(GLS)ELISA试剂盒 ,英文名: GLS ELISA Kit
告达亭苷元 caudatin 质量规格:HPLC≥98%,标准品 小鼠谷酰胺酶2(GLS2)ELISA试剂盒 ,英文名: GLS2 ELISA Kit
格列风内酯(标准品) Griffonilide 质量规格:HPLC≥98%,标准品 小鼠谷转酶(ALT)ELISA试剂盒 ,英文名: ALT ELISA Kit
葛根素(标准品) Puerarin 质量规格:HPLC≥98%,标准品 小鼠骨保护素(OPG)ELISA检测试剂盒MouseOsteoprotegerin,OPGELISAKIT 96T/48T
葛根素 Puerarin 质量规格:HPLC≥98%,BR 小鼠骨保护素(OPG)ELISA试剂盒 ,英文名: OPG ELISA Kit
2
8957-04-2
冬凌草甲素、冬凌草素规格小鼠谷酸半胱酸连接酶催化亚基(GCLC)ELISA试剂盒 ,英文名: GCLC ELISA Kit 甘草酸单铵盐(标准品) Glycyrrhizic acid ammonium salt 质量规格:HPLC≥98%,标准品
小鼠谷酸脱氢酶(GDH)ELISA试剂盒 ,英文名: GDH ELISA Kit 甘草酸单铵盐 Glycyrrhizic acid ammonium salt 质量规格:UV>97%,无水物,BR
小鼠谷酸脱氢酶(GDH/GLDH)ELISA试剂盒 ,英文名: GDH/GLDH ELISA Kit 甘草酸二铵盐(标准品) Diammonium Glycyrrhizate 质量规格:UV≥98%,标准品
小鼠谷酸脱羧酶2(GAD2)ELISA试剂盒 ,英文名: GAD2 ELISA Kit 甘草酸二铵盐 Diammonium Glycyrrhizate 质量规格:UV≥97%,BR
小鼠谷酸脱羧酶自身抗体(GAD-Ab)ELISA试剂盒 ,英文名: GAD-Ab ELISA Kit 橄榄苦苷(标准品) Oleuropein 质量规格:HPLC≥98%,标准品
小鼠谷酸脱羧酶自身抗体IgG(GAD-Ab-IgG)ELISA试剂盒 ,英文名: GAD-Ab-IgG ELISA Kit 高丽槐素(标准品) Maackiain 质量规格:HPLC≥98%,标准品
小鼠谷酸脱羧酶自身抗体IgM(GAD-Ab-IgM)ELISA试剂盒 ,英文名: GAD-Ab-IgM ELISA Kit 高良姜素(标准品) Galangin 质量规格:HPLC≥98%,标准品
小鼠谷酰胺合成酶(GS)ELISA试剂盒 ,英文名: GS ELISA Kit 高三尖杉酯碱(标准品) Homoharringtonine 质量规格:HPLC≥98%,标准品
小鼠谷酰胺酶(GLS)ELISA试剂盒 ,英文名: GLS ELISA Kit 高香草酸(标准品) Homovanillic acid 质量规格:HPLC≥98%,标准品
小鼠谷酰胺酶2(GLS2)ELISA试剂盒 ,英文名: GLS2 ELISA Kit 告达亭苷元 caudatin 质量规格:HPLC≥98%,标准品
关于标准品、对照品的问题:
(一)来源:
2
8957-04-2
冬凌草甲素、冬凌草素规格依照有关规定,中国用于药品成品检验的标准品(对照品)来源有:一是中国药品生物制品检定所提供的标准品(对照品);二是其他国家的标准品(对照品);三是省级以上药品检验所标定,并经同级食 品药品监管局批准的标准品(对照品)。
(二)有效期和使用说明书:
中国药品生物制品检定所提供的标准品(对照品)大部分均无使用说明书和使用期限,大都沿用新的批号出现、旧的批号自动停止的管理方式。
(三)使用过程:
工作标准品(对照品)虽经有关部门认可,但要求有标化日期、复标日期、贮存条件、使用等相关文件规定,并做好相应记录。
(四)验证问题:
按标准品(对照品)管理要求,使用前应对其进行验证,确认无误后方可使用。
(五)开封问题:
对已开封的标准品(对照品)管理方面的问题应做严格的规定,不应同未开封的标准品(对照品)放在一起继续使用,包装上应做好相关标识,说明是否已开封过、何时开封的,内含多少量等相关信息。
特点:
①权威,准确——货源全部来自国家权威机构或国际公认标准品、对照品公司;
②快捷,方便——签订购销合同当天发货,全国各地三天到货,实现一对一、门对门送货;
③可靠、放心——有技术专人负责售前售中和售后服务
产品名称 28957-04-2冬凌草甲素、冬凌草素规格
英文名称 Oridonin
分 子 量: 364.43
CAS NO.: 2
纯 度: ≥98%
分子式: C20H28O6

性状: 淡黄色针状结晶
规格: 20mg/50mg/1g,可按客户需求包装!
用途: 用于科研研究、鉴定、药理实验等
熔点: 248-250℃
溶解性: 微溶于水,溶于甲醇、乙酯、等
提取来源: 冬凌草
药理药效: 冬凌草甲素对多种癌细胞具有很强的杀灭抑制作用,主要用于抗癌,抗菌、抗肿瘤、杀虫清热解毒、消炎止痛、健胃活血及等作用
鉴别方法: NMR;Ms
检测方法: RP-HPLC:甲醇:水(55:45) λ:239nm(仅供参考)
贮存条件: 低温冷藏,避光,密封,干燥
注意事项: 无
| 产品名称 | 英文名称 | 规格 |
| 2
|
Oridonin | 可根据客户要求订制 |
对照品系指用于鉴别、检查、含量测定和校正检定仪器性能的标准物质.
标准品系指用于生物检定、抗生素或生物药品中含量或效价测定的标准物质,以效价单位(U)表示。
对照品系指用于生物制品理化等方面测定的特定物质,由生产单位采用与制品生产工艺相同的方法制备。对照品应尽可能与制品原液配方一致,稳定性较差的,可加不含对测定有干扰物质的适宜的稳定剂。对照品由国家药品检定机构审查认可,其标准应不低于制品的质量标准。
标准品:是指用于鉴别、检查、含量测定的标准物质,均由国务院药品监督管理部门指定的单位制备、标定和供应。标准品系指用于生物测定、抗生素或生化药品中含量或效价测定的标准物质,一国际标准品进行标定;对照品出另有规定外,按干燥进行计算后使用。
Sulfadiazine 68-35-9 中文名:磺胺嘧啶 分子式:C10H10N4O2S 度:99.0% 小鼠胰岛素样生长因子1(IGF-1)ELISAKit ELISA. 96T/48T
Sulfaclozine 102-65-8 中文名:磺胺氯吡嗪 分子式:C10H9ClN4O2S 度:99.0% 小鼠白介素10(IL-10)ELISAKIT ELISA. 96T/48T
Sucrose 57-50-1 中文名: 分子式:C12H22O11 度:% 关键词: 中药对照品; 中药标准品; 植物提取物; 天然产物; 天然产物库 小鼠白介素11(IL-11)ELISAKit ELISA. 96T/48T
Succinic acid 110-15-6 中文名: 分子式:C4H6O4 度:% 关键词: 增香剂; 中药对照品; 中药标准品; 植物提取物; 天然产物; 天然产物库 中文名称 方法 规格
Strontium ranelate 135459-87-9 中文名:雷尼酸锶 分子式:C12H10N2O8S 度:98.0% 关键词: 小鼠胰岛素elisa试剂盒 小鼠胰岛素试剂盒 规格型号:96T/48T 小鼠胰岛素试剂盒,规格型号:96T/48T,来源:elisa试剂盒(进口分装),产品别名:小鼠胰岛素试剂盒、小鼠胰岛素elisa试剂盒 保存条件:2-8℃ 保质期:6个月。
11-Hydroxyjasmonic acid 中文名: 分子式:C12H18O4 心肌钙蛋白 (c) 作用: ELISA 规格: 48T/96T 进口分装
11,12-Di-O-acetyltenacigenin B 中文名: 分子式:C25H36O7 CXCL8(CXCL-8) 作用: ELISA 规格: 48T/96T 进口分装
1,8-Bis(dimethylamino)naphtalene 中文名:1,8-双二甲氨基萘 分子式:C14H18N2 结蛋白 (Desmin) 作用: ELISA 规格: 48T/96T 进口分装
1,6-Dioxaspiro[4.5]decan-2-methanol 中文名: 分子式:C9H16O3 雌三醇 (E3) 作用: ELISA 规格: 48T/96T 进口分装
1,6-Dibromopyrene 中文名:1,6-二溴芘 分子式:C16H8Br2 小鼠组织因子途径抑制物(TFPI)ELISAKit ELISA. 96T/48T
甘草酸二铵盐 Diammonium Glycyrrhizate 质量规格:UV≥97%,BR 小鼠谷酸脱羧酶2(GAD2)ELISA试剂盒 ,英文名: GAD2 ELISA Kit
橄榄苦苷(标准品) Oleuropein 质量规格:HPLC≥98%,标准品 小鼠谷酸脱羧酶自身抗体(GAD-Ab)ELISA试剂盒 ,英文名: GAD-Ab ELISA Kit
高丽槐素(标准品) Maackiain 质量规格:HPLC≥98%,标准品 小鼠谷酸脱羧酶自身抗体IgG(GAD-Ab-IgG)ELISA试剂盒 ,英文名: GAD-Ab-IgG ELISA Kit
高良姜素(标准品) Galangin 质量规格:HPLC≥98%,标准品 小鼠谷酸脱羧酶自身抗体IgM(GAD-Ab-IgM)ELISA试剂盒 ,英文名: GAD-Ab-IgM ELISA Kit
高三尖杉酯碱(标准品) Homoharringtonine 质量规格:HPLC≥98%,标准品 小鼠谷酰胺合成酶(GS)ELISA试剂盒 ,英文名: GS ELISA Kit
高香草酸(标准品) Homovanillic acid 质量规格:HPLC≥98%,标准品 小鼠谷酰胺酶(GLS)ELISA试剂盒 ,英文名: GLS ELISA Kit
告达亭苷元 caudatin 质量规格:HPLC≥98%,标准品 小鼠谷酰胺酶2(GLS2)ELISA试剂盒 ,英文名: GLS2 ELISA Kit
格列风内酯(标准品) Griffonilide 质量规格:HPLC≥98%,标准品 小鼠谷转酶(ALT)ELISA试剂盒 ,英文名: ALT ELISA Kit
葛根素(标准品) Puerarin 质量规格:HPLC≥98%,标准品 小鼠骨保护素(OPG)ELISA检测试剂盒MouseOsteoprotegerin,OPGELISAKIT 96T/48T
葛根素 Puerarin 质量规格:HPLC≥98%,BR 小鼠骨保护素(OPG)ELISA试剂盒 ,英文名: OPG ELISA Kit
2
小鼠谷酸脱氢酶(GDH)ELISA试剂盒 ,英文名: GDH ELISA Kit 甘草酸单铵盐 Glycyrrhizic acid ammonium salt 质量规格:UV>97%,无水物,BR
小鼠谷酸脱氢酶(GDH/GLDH)ELISA试剂盒 ,英文名: GDH/GLDH ELISA Kit 甘草酸二铵盐(标准品) Diammonium Glycyrrhizate 质量规格:UV≥98%,标准品
小鼠谷酸脱羧酶2(GAD2)ELISA试剂盒 ,英文名: GAD2 ELISA Kit 甘草酸二铵盐 Diammonium Glycyrrhizate 质量规格:UV≥97%,BR
小鼠谷酸脱羧酶自身抗体(GAD-Ab)ELISA试剂盒 ,英文名: GAD-Ab ELISA Kit 橄榄苦苷(标准品) Oleuropein 质量规格:HPLC≥98%,标准品
小鼠谷酸脱羧酶自身抗体IgG(GAD-Ab-IgG)ELISA试剂盒 ,英文名: GAD-Ab-IgG ELISA Kit 高丽槐素(标准品) Maackiain 质量规格:HPLC≥98%,标准品
小鼠谷酸脱羧酶自身抗体IgM(GAD-Ab-IgM)ELISA试剂盒 ,英文名: GAD-Ab-IgM ELISA Kit 高良姜素(标准品) Galangin 质量规格:HPLC≥98%,标准品
小鼠谷酰胺合成酶(GS)ELISA试剂盒 ,英文名: GS ELISA Kit 高三尖杉酯碱(标准品) Homoharringtonine 质量规格:HPLC≥98%,标准品
小鼠谷酰胺酶(GLS)ELISA试剂盒 ,英文名: GLS ELISA Kit 高香草酸(标准品) Homovanillic acid 质量规格:HPLC≥98%,标准品
小鼠谷酰胺酶2(GLS2)ELISA试剂盒 ,英文名: GLS2 ELISA Kit 告达亭苷元 caudatin 质量规格:HPLC≥98%,标准品
关于标准品、对照品的问题:
(一)来源:
2
(二)有效期和使用说明书:
中国药品生物制品检定所提供的标准品(对照品)大部分均无使用说明书和使用期限,大都沿用新的批号出现、旧的批号自动停止的管理方式。
(三)使用过程:
工作标准品(对照品)虽经有关部门认可,但要求有标化日期、复标日期、贮存条件、使用等相关文件规定,并做好相应记录。
(四)验证问题:
按标准品(对照品)管理要求,使用前应对其进行验证,确认无误后方可使用。
(五)开封问题:
对已开封的标准品(对照品)管理方面的问题应做严格的规定,不应同未开封的标准品(对照品)放在一起继续使用,包装上应做好相关标识,说明是否已开封过、何时开封的,内含多少量等相关信息。
风险提示:丁香通仅作为第三方平台,为商家信息发布提供平台空间。用户咨询产品时请注意保护个人信息及财产安全,合理判断,谨慎选购商品,商家和用户对交易行为负责。对于医疗器械类产品,请先查证核实企业经营资质和医疗器械产品注册证情况。
技术资料暂无技术资料 索取技术资料
28957-04-2冬凌草甲素、冬凌草素规格
询价










