相关产品推荐更多 >
万千商家帮你免费找货
0 人在求购买到急需产品
- 详细信息
- 技术资料
- 库存:
29
- 英文名:
L-Stepholidine
- CAS号:
16562-13-3
- 保质期:
详见说明书
- 供应商:
上海莼试
- 保存条件:
低温冷藏
- 规格:
可根据客户要求订制
我们销售的产品仅用于科研产品包含:中药标准品,中检所对照品,中检所标准品,化学标准品,标准物质,色谱标准品,中药对照品,及其他化学试剂,生化试剂,动物血清,培养基,抗体,实验耗材等,欢迎来电洽谈!
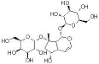
产品名称 左旋千金藤啶碱16562-13-3
英文名称 L-Stepholidine
CAS NO. 16562-13-3
分 子 量 327.37
纯 度 ≥98%

分子式: C19H21NO4
性状: 白色结晶粉末
规格: 20mg/50mg/1g,可按客户需求包装!
用途: 用于科研研究、鉴定、药理实验等
熔点: 120-122°C
溶解性: 可溶于甲醇、乙醇、DMSO等有机溶剂;
提取来源: 防己科千金藤属植物千金藤Stephania japonica(Thunb.) Miers.根、地不容
药理药效: 左旋千金藤啶碱具有增加心肌收缩力,抗精神分裂的作用
鉴别方法: NMR;Ms
检测方法: HPLC:甲醇-乙-(60:20:20), λ:284nm(仅供参考)
贮存条件: 低温冷藏,避光,密封,干燥
注意事项: 补充中
有效期限: 2年
供货能力: 现货,可根据可以客户需求批量定制
对照品实验方法与判定:
1.左旋千金藤啶碱16562-13-3对照品溶液的稳定性
2.对照品溶液的配制:精密量取脑对照品适量,加无水乙醇制成每1ml含脑1mg的溶液,作为对照品溶液。
3.色谱条件:以交联键合聚乙二醇为固定相的毛细管柱;柱温120℃;进样口温度250℃;检测器温度250℃;分流进样,分流比10:1。理论塔板数按脑计算应不低于10000。
4.实验方法:配制的对照品溶液,一份置冷处保存,一份置室温中保存,在第1、3、7、10、15天重新配制一份对照品溶液,三种储备液同时稀释制成每1ml中约含50ug的溶液。照气相色谱法,并依据新对照品的峰面积计算原对照品溶液的含量。记录下来,保证原对照品溶液含量在考察期相对平均偏差不超过2.0%,验证对照品溶液在使用期内稳定可靠。
化学药品标准物质的分类:
1.按来源:
(1)产品仅用于科研国际化学标准物质(WHO)
(2)美国药典标准物质(USPC,USP)
(3)欧式药典标准物质(EDQM,EP)
(4)日本药局标准物(PMRJ,JP)
(5)国家药品标准物质(NICPBP,CHP)
2.按测定方法和使用对象:
(1)生物标准物质
(2)化学标准物质(化学对照物质)
3.按使用要求:
(1)国际化学对照品
(2)国家化学对照品
(3)工作化学对照品
4.按用途:
(1)鉴别用化学对照品
(2)纯度或杂质检查用对照品
(3)含量测定用对照品
(4)标准仪器用对照品
5.按药品使用对象:
(1)化学对照品
(2)中药化学对照品
(3)抗生素化学对照品
(4)麻醉药品化学对照品
核糖核酶T1Bulleyaconitine A进口/国产human secretory IgA人分泌型免疫球蛋白A进口/国产Beta-TG (Rabbit Beta-Thromboglobulin) ELISA Kit兔子β血小板球蛋白/β血栓环蛋白小鼠P选择(P-Selectin/CD62P)ELISA Kit,48T/96T 进口、国产RNase&DNase清除剂L-4-Hydroxyisoleucine特价供应PMS1肿瘤错配修复因PMS1抗体进口/国产Alpha-bungarotoxin, Alpha-BGT ELISA Kitα-银环蛇大鼠P选择(P-Selectin/CD62P)ELISA Kit,48T/96T 进口、国产去核酶试剂现货促销Laminin alpha 1层粘蛋白α1抗体进口/国产Bacillus thuringiensis,BT ELISA Kit苏云金芽孢杆蛋白人正常T细胞表达和分泌因子(RANTES)ELISA Kit,48T/96T 进口、国产脱核糖核酶Ⅰ(牛胰)Secoisolariciresinol Diglucoside特价促销Nucleoprotein/NPA型流感病核蛋白抗体进口/国产ACS ELISA Kit大鼠脂酰辅酶A合成酶小鼠正常T细胞表达和分泌因子(RANTES)ELISA Kit,48T/96T 进口、国产
左旋千金藤啶碱16562-13-3C3orf54英文名称:Phospho-BRCA1 (Ser1466)人髓鞘相关糖蛋白(MAG)免疫试剂盒
C2orf43英文名称:BRD2人髓鞘碱性蛋白抗体(MBP antibody)免疫试剂盒
Classical swine fever virus英文名称:BRD3人髓鞘蛋白P0(MPZ)免疫试剂盒
CP110英文名称:phospho-Brk (Tyr447)人髓磷脂碱性蛋白(MBP)免疫试剂盒
Cellulase英文名称:Phospho-BTK (Tyr551)人髓磷脂P2蛋白(PMP2)免疫试剂盒
CDC14B英文名称:phospho-ZFP36L1 (Ser92)人髓过化物酶特异性抗中性粒细胞胞质抗体IgG(MPO-ANCA IgG)免疫试剂盒
C1orf177英文名称:Beta cellulin人髓过化物酶(MPO)免疫试剂盒
C1orf183英文名称:phospho-Bid (Ser78)人性铁蛋白(AIF)免疫试剂盒
订购须知:
1.产品仅用于科研产品优势:高效稳定的专业纯化技术,完善的库存及供应体系,高效的销售团队。
2.包装规格:常规包装,如有特殊需求,我们根据客户要求包装。
3.运输方式:默认顺丰快递,大宗货物走德邦物流。
4.质量保证:严格的质量控制,通过全面的检测,是产品质量保证的基础。如有异议经我司确认可无条件退换货。
| 产品名称 | CAS | 规格 |
| 左旋千金藤啶碱16562-13-3 | 16562-13-3 | 可根据客户要求订制 |
英文名称 L-Stepholidine
CAS NO. 16562-13-3
分 子 量 327.37
纯 度 ≥98%

分子式: C19H21NO4
性状: 白色结晶粉末
规格: 20mg/50mg/1g,可按客户需求包装!
用途: 用于科研研究、鉴定、药理实验等
熔点: 120-122°C
溶解性: 可溶于甲醇、乙醇、DMSO等有机溶剂;
提取来源: 防己科千金藤属植物千金藤Stephania japonica(Thunb.) Miers.根、地不容
药理药效: 左旋千金藤啶碱具有增加心肌收缩力,抗精神分裂的作用
鉴别方法: NMR;Ms
检测方法: HPLC:甲醇-乙-(60:20:20), λ:284nm(仅供参考)
贮存条件: 低温冷藏,避光,密封,干燥
注意事项: 补充中
有效期限: 2年
供货能力: 现货,可根据可以客户需求批量定制
对照品实验方法与判定:
1.左旋千金藤啶碱16562-13-3对照品溶液的稳定性
2.对照品溶液的配制:精密量取脑对照品适量,加无水乙醇制成每1ml含脑1mg的溶液,作为对照品溶液。
3.色谱条件:以交联键合聚乙二醇为固定相的毛细管柱;柱温120℃;进样口温度250℃;检测器温度250℃;分流进样,分流比10:1。理论塔板数按脑计算应不低于10000。
4.实验方法:配制的对照品溶液,一份置冷处保存,一份置室温中保存,在第1、3、7、10、15天重新配制一份对照品溶液,三种储备液同时稀释制成每1ml中约含50ug的溶液。照气相色谱法,并依据新对照品的峰面积计算原对照品溶液的含量。记录下来,保证原对照品溶液含量在考察期相对平均偏差不超过2.0%,验证对照品溶液在使用期内稳定可靠。
化学药品标准物质的分类:
1.按来源:
(1)产品仅用于科研国际化学标准物质(WHO)
(2)美国药典标准物质(USPC,USP)
(3)欧式药典标准物质(EDQM,EP)
(4)日本药局标准物(PMRJ,JP)
(5)国家药品标准物质(NICPBP,CHP)
2.按测定方法和使用对象:
(1)生物标准物质
(2)化学标准物质(化学对照物质)
3.按使用要求:
(1)国际化学对照品
(2)国家化学对照品
(3)工作化学对照品
4.按用途:
(1)鉴别用化学对照品
(2)纯度或杂质检查用对照品
(3)含量测定用对照品
(4)标准仪器用对照品
5.按药品使用对象:
(1)化学对照品
(2)中药化学对照品
(3)抗生素化学对照品
(4)麻醉药品化学对照品
核糖核酶T1Bulleyaconitine A进口/国产human secretory IgA人分泌型免疫球蛋白A进口/国产Beta-TG (Rabbit Beta-Thromboglobulin) ELISA Kit兔子β血小板球蛋白/β血栓环蛋白小鼠P选择(P-Selectin/CD62P)ELISA Kit,48T/96T 进口、国产RNase&DNase清除剂L-4-Hydroxyisoleucine特价供应PMS1肿瘤错配修复因PMS1抗体进口/国产Alpha-bungarotoxin, Alpha-BGT ELISA Kitα-银环蛇大鼠P选择(P-Selectin/CD62P)ELISA Kit,48T/96T 进口、国产去核酶试剂现货促销Laminin alpha 1层粘蛋白α1抗体进口/国产Bacillus thuringiensis,BT ELISA Kit苏云金芽孢杆蛋白人正常T细胞表达和分泌因子(RANTES)ELISA Kit,48T/96T 进口、国产脱核糖核酶Ⅰ(牛胰)Secoisolariciresinol Diglucoside特价促销Nucleoprotein/NPA型流感病核蛋白抗体进口/国产ACS ELISA Kit大鼠脂酰辅酶A合成酶小鼠正常T细胞表达和分泌因子(RANTES)ELISA Kit,48T/96T 进口、国产
左旋千金藤啶碱16562-13-3C3orf54英文名称:Phospho-BRCA1 (Ser1466)人髓鞘相关糖蛋白(MAG)免疫试剂盒
C2orf43英文名称:BRD2人髓鞘碱性蛋白抗体(MBP antibody)免疫试剂盒
Classical swine fever virus英文名称:BRD3人髓鞘蛋白P0(MPZ)免疫试剂盒
CP110英文名称:phospho-Brk (Tyr447)人髓磷脂碱性蛋白(MBP)免疫试剂盒
Cellulase英文名称:Phospho-BTK (Tyr551)人髓磷脂P2蛋白(PMP2)免疫试剂盒
CDC14B英文名称:phospho-ZFP36L1 (Ser92)人髓过化物酶特异性抗中性粒细胞胞质抗体IgG(MPO-ANCA IgG)免疫试剂盒
C1orf177英文名称:Beta cellulin人髓过化物酶(MPO)免疫试剂盒
C1orf183英文名称:phospho-Bid (Ser78)人性铁蛋白(AIF)免疫试剂盒
订购须知:
1.产品仅用于科研产品优势:高效稳定的专业纯化技术,完善的库存及供应体系,高效的销售团队。
2.包装规格:常规包装,如有特殊需求,我们根据客户要求包装。
3.运输方式:默认顺丰快递,大宗货物走德邦物流。
4.质量保证:严格的质量控制,通过全面的检测,是产品质量保证的基础。如有异议经我司确认可无条件退换货。
风险提示:丁香通仅作为第三方平台,为商家信息发布提供平台空间。用户咨询产品时请注意保护个人信息及财产安全,合理判断,谨慎选购商品,商家和用户对交易行为负责。对于医疗器械类产品,请先查证核实企业经营资质和医疗器械产品注册证情况。
技术资料暂无技术资料 索取技术资料
左旋千金藤啶碱16562-13-3厂家
询价









