相关产品推荐更多 >
万千商家帮你免费找货
0 人在求购买到急需产品
- 详细信息
- 文献和实验
- 技术资料
- 库存:
31
- 英文名:
L(-)-Carnitine
- CAS号:
541-15-1
- 保质期:
详见说明书
- 供应商:
上海莼试
- 保存条件:
低温冷藏
- 规格:
可根据客户要求订制
1.产品仅用于科研产品优势:高效稳定的专业纯化技术,完善的库存及供应体系,高效的销售团队。
2.包装规格:常规包装,如有特殊需求,我们根据客户要求包装。
3.运输方式:默认顺丰快递,大宗货物走德邦物流。
4.质量保证:严格的质量控制,通过全面的检测,是产品质量保证的基础。如有异议经我司确认可无条件退换货。
我们销售的产品仅用于科研产品包含:中药标准品,中检所对照品,中检所标准品,化学标准品,标准物质,色谱标准品,中药对照品,及其他化学试剂,生化试剂,动物血清,培养基,抗体,实验耗材等,欢迎来电洽谈!
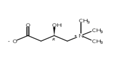
产品名称 左旋肉碱、L-肉碱、卡尼丁541-15-1图片
英文名称 L(-)-Carnitine
CAS NO. 541-15-1
分 子 量 161.2
纯 度 ≥98%

分子式: C7H15NO3
性状: 白色粉末
规格: 20mg/50mg/1g,可按客户需求包装!
用途: 用于科研研究、鉴定、药理实验等
熔点: 208-212℃
溶解性: 极易溶于水和热乙醇,在空气中吸潮,微溶于冷乙醇,不溶于丙,乙
提取来源: 鳄梨、奇异果、提子、木瓜、柠檬、芦荟、荷叶、普洱茶酪蛋白和麦芽
药理药效: 促进脂肪转化成能量,减缓疲劳,可用于减肥
鉴别方法: NMR;Ms
检测方法: HPLC
贮存条件: 低温冷藏,避光,密封,干燥
注意事项: 无
有效期限: 2年
供货能力: 现货,可根据可以客户需求批量定制
| 产品名称 | CAS | 规格 |
| 左旋肉碱、L-肉碱、卡尼丁541-15-1图片 | 541-15-1 | 可根据客户要求订制 |
1.左旋肉碱、L-肉碱、卡尼丁541-15-1图片对照品溶液的稳定性
2.对照品溶液的配制:精密量取脑对照品适量,加无水乙醇制成每1ml含脑1mg的溶液,作为对照品溶液。
3.色谱条件:以交联键合聚乙二醇为固定相的毛细管柱;柱温120℃;进样口温度250℃;检测器温度250℃;分流进样,分流比10:1。理论塔板数按脑计算应不低于10000。
4.实验方法:配制的对照品溶液,一份置冷处保存,一份置室温中保存,在第1、3、7、10、15天重新配制一份对照品溶液,三种储备液同时稀释制成每1ml中约含50ug的溶液。照气相色谱法,并依据新对照品的峰面积计算原对照品溶液的含量。记录下来,保证原对照品溶液含量在考察期相对平均偏差不超过2.0%,验证对照品溶液在使用期内稳定可靠。
化学药品标准物质的分类:
1.按来源:
(1)产品仅用于科研国际化学标准物质(WHO)
(2)美国药典标准物质(USPC,USP)
(3)欧式药典标准物质(EDQM,EP)
(4)日本药局标准物(PMRJ,JP)
(5)国家药品标准物质(NICPBP,CHP)
2.按测定方法和使用对象:
(1)生物标准物质
(2)化学标准物质(化学对照物质)
3.按使用要求:
(1)国际化学对照品
(2)国家化学对照品
(3)工作化学对照品
4.按用途:
(1)鉴别用化学对照品
(2)纯度或杂质检查用对照品
(3)含量测定用对照品
(4)标准仪器用对照品
5.按药品使用对象:
(1)化学对照品
(2)中药化学对照品
(3)抗生素化学对照品
(4)麻醉药品化学对照品
葡萄糖异构酶进口/国产Adiponectin receptor 2脂联受体2抗体进口/国产LZM(Mouse Lysozyme) ELISA Kit小鼠溶酶大鼠L氨解氨酶(PAL)ELISA Kit,48T/96T 进口、国产葡萄糖变位酶Momordin Ic特价供应ELAVL3/HuC副肿瘤综合症小脑变性相关蛋白抗体进口/国产CDl4(Human cluster Of differentiation) ELISA Kit人CD14分子人可溶性白细胞分化抗原30配体(sCD30L)ELISA Kit,48T/96T 进口、国产蚯蚓酶Pectolinarin现货促销Adiponectin脂联抗体进口/国产CACT ELISA Kit大鼠肉脂酰转移酶小鼠可溶性白细胞分化抗原30配体(sCD30L)ELISA Kit,48T/96T进口、国产离析酶R-102"-O-galloylhyperin特价促销APH1a早老γ分泌酶抗体进口/国产AIF(Human apoptosis inducing factor) ELISA Kit人凋亡诱导因子大鼠可溶性白细胞分化抗原30配体(sCD30L)ELISA Kit,48T/96T进口、国产
左旋肉碱、L-肉碱、卡尼丁541-15-1图片C14ORF140英文名称:phospho-c-Jun(Thr93)人丝虫病抗体(IgG4)免疫试剂盒
CHAC2英文名称:Phospho-c-Kit (Tyr730)人丝氨肽酶抑制剂,Kazal 1型(SPINK1)免疫试剂盒
C15orf62英文名称:C1orf148人丝氨肽酶2甘露聚糖结合凝集素(MASP2)免疫试剂盒
C15orf41英文名称:CTLA4人丝氨蛋白酶抑制因子肽酶抑制因子进化枝3G(Serpina3g)免疫试剂盒
CNGA2英文名称:CAMSAP1人丝氨蛋白酶HTRA1(HTRA1)免疫试剂盒
CANX英文名称:Claudin 1人丝氨/苏氨激酶24(STK24)免疫试剂盒
CRMP2英文名称:C1orf149人丝氨/苏氨蛋白磷酶(STK)免疫试剂盒
CYP2E1英文名称:phospho-c-Kit(Tyr823)人丝氨/苏氨蛋白激酶PAK4(PAK4)免疫试剂盒
风险提示:丁香通仅作为第三方平台,为商家信息发布提供平台空间。用户咨询产品时请注意保护个人信息及财产安全,合理判断,谨慎选购商品,商家和用户对交易行为负责。对于医疗器械类产品,请先查证核实企业经营资质和医疗器械产品注册证情况。
文献和实验突变,为原发肉碱缺乏症患儿。 治疗及随访经过:按 50~100 mg/kg 剂量每日口服左旋肉碱,C0 维持在 17~34umol/L 之间。长期随访,患儿生长发育良好,智能发育正常。 病例二: 李宝宝,第二胎第二产,胎龄 37+5 天,出生体重 3 000 g,出生情况良好,无新生儿窒息、羊水污染、胎粪吸入等病史,生后 1 分钟阿氏评分 10 分。因生后半小时出现呼吸急促、口唇发绀入院。 母孕期否认特殊疾病史,产前筛查、糖筛查及四维超声检查未发现异常。曾足月
新发现!关键分子 MLLT3 维持造血干细胞的自我更新,体外移植能力可增强 12 倍
出在过表达细胞中 541 个上调和 717 个下调的基因(下图 a, d)。通过基因富集分析发现,上调的基因多与翻译、糖酵解及造血相关,而下调的基因则和免疫反应及凋亡相关(下图 b)。这些数据提示 MLLT3 可以通过直接调控与造血干细胞相关的转录因子或者间接通过免疫反应通路发挥功能。图片来源:Nature以上的实验及数据均能证明 MLLT3 可以维持造血干祖细胞的自我更新能力及增强移植后重建的能力,并初步探索了其可能是通过组蛋白及 RNA 合成酶来发挥作用的,但是该发现具有怎样的意义或者其实用性是什么
提供新的途径。 在此研究中,Incucyte®被用于划痕实验及细胞迁移的实时监测。角质细胞转染48h后,使用Incucyte® wound maker制造划痕,用Incucyte®拍照监测创伤愈合情况。上图和视频分别为不同时间点转染对照siRNA以及fstl1特异性siRNA的细胞迁移图像(n=5)。在24h时,对照转染细胞的伤口完全愈合,而敲除FSTL1后细胞的伤口仅愈合15±5%。 Incucyte®监测过表达的对照miRNA角质细胞的划痕实验
技术资料暂无技术资料 索取技术资料










