相关产品推荐更多 >
万千商家帮你免费找货
0 人在求购买到急需产品
- 详细信息
- 技术资料
- 库存:
39
- 英文名:
Quillaic acid
- CAS号:
631-01-6
- 保质期:
详见说明书
- 供应商:
上海莼试
- 保存条件:
低温冷藏
- 规格:
可根据客户要求订制
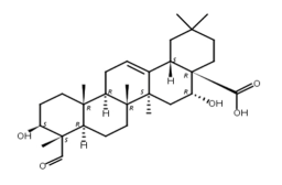
产品名称 皂皮酸、皂树皮酸631-01-6图片
英文名称 Quillaic acid
CAS NO. 631-01-6
分 子 量 486.68
纯 度 ≥98%

分子式: C30H46O5
性状: 白色粉末
规格: 20mg/50mg/1g,可按客户需求包装!
用途: 用于科研研究、鉴定、药理实验等
熔点: 补充中
溶解性: 可溶于甲醇、乙醇、DMSO等有机溶剂;
提取来源: 皂树皮
药理药效: 补充中
鉴别方法: NMR;Ms
检测方法: HPLC
贮存条件: 低温冷藏,避光,密封,干燥
注意事项: 刺激皮肤,对眼睛有严重伤害;防止阳光直射
有效期限: 2年
供货能力: 现货,可根据可以客户需求批量定制
对照品实验方法与判定:
1.皂皮酸、皂树皮酸631-01-6图片对照品溶液的稳定性
2.对照品溶液的配制:精密量取脑对照品适量,加无水乙醇制成每1ml含脑1mg的溶液,作为对照品溶液。
3.色谱条件:以交联键合聚乙二醇为固定相的毛细管柱;柱温120℃;进样口温度250℃;检测器温度250℃;分流进样,分流比10:1。理论塔板数按脑计算应不低于10000。
4.实验方法:配制的对照品溶液,一份置冷处保存,一份置室温中保存,在第1、3、7、10、15天重新配制一份对照品溶液,三种储备液同时稀释制成每1ml中约含50ug的溶液。照气相色谱法,并依据新对照品的峰面积计算原对照品溶液的含量。记录下来,保证原对照品溶液含量在考察期相对平均偏差不超过2.0%,验证对照品溶液在使用期内稳定可靠。
订购须知:
1.产品仅用于科研产品优势:高效稳定的专业纯化技术,完善的库存及供应体系,高效的销售团队。
2.包装规格:常规包装,如有特殊需求,我们根据客户要求包装。
3.运输方式:默认顺丰快递,大宗货物走德邦物流。
4.质量保证:严格的质量控制,通过全面的检测,是产品质量保证的基础。如有异议经我司确认可无条件退换货。
98%5gATP
BR250gCoccidia
BR500gTF
98%1gCAR
98%25gMS
98%5g17β-E2
99%100gXOD
皂皮酸、皂树皮酸631-01-6图片二四二钠盐中药对照药材进口/国产SPHK2 鞘氨醇激酶2抗体进口/国产ICAM-2/CD102 ELISA Kit 大鼠细胞间粘附分子2人糖化血红蛋白A1c(GHbA1c)ELISA Kit,48T/96T 进口、国产二四二钠钙盐中药对照药材特价供应STK3 丝氨/苏氨蛋白激酶3抗体进口/国产E2(Mouse Estradiol)ELISA Kit 小鼠雌二醇小鼠糖化血红蛋白A1c(GHbA1c)ELISA Kit,48T/96T 进口、国产二四二钠锰盐中药对照药材现货促销IKIP IKK激酶相互作用蛋白抗体进口/国产BP180-Ab(Human anti-Bullous Pemphigoid 180 antibody) ELISA Kit 人抗BP180抗体大鼠糖化血红蛋白A1c(GHbA1c)ELISA Kit,48T/96T 进口、国产二四二钠锌盐中药对照药材特价促销AMACR/P504S α-酰辅酶A消旋酶抗体进口/国产ICAM-3/CD50 ELISA Kit 大鼠细胞间粘附分子3兔糖化血红蛋白A1c(GHbA1c)ELISA Kit,48T/96T 进口、国产
化学药品标准物质的分类:
1.按来源:
(1)产品仅用于科研国际化学标准物质(WHO)
(2)美国药典标准物质(USPC,USP)
(3)欧式药典标准物质(EDQM,EP)
(4)日本药局标准物(PMRJ,JP)
(5)国家药品标准物质(NICPBP,CHP)
2.按测定方法和使用对象:
(1)生物标准物质
(2)化学标准物质(化学对照物质)
3.按使用要求:
(1)国际化学对照品
(2)国家化学对照品
(3)工作化学对照品
4.按用途:
(1)鉴别用化学对照品
(2)纯度或杂质检查用对照品
(3)含量测定用对照品
(4)标准仪器用对照品
5.按药品使用对象:
(1)化学对照品
(2)中药化学对照品
(3)抗生素化学对照品
(4)麻醉药品化学对照品
我们销售的产品仅用于科研产品包含:中药标准品,中检所对照品,中检所标准品,化学标准品,标准物质,色谱标准品,中药对照品,及其他化学试剂,生化试剂,动物血清,培养基,抗体,实验耗材等,欢迎来电洽谈!
英文名称 Quillaic acid
CAS NO. 631-01-6
分 子 量 486.68
纯 度 ≥98%

分子式: C30H46O5
性状: 白色粉末
规格: 20mg/50mg/1g,可按客户需求包装!
用途: 用于科研研究、鉴定、药理实验等
熔点: 补充中
溶解性: 可溶于甲醇、乙醇、DMSO等有机溶剂;
提取来源: 皂树皮
药理药效: 补充中
鉴别方法: NMR;Ms
检测方法: HPLC
贮存条件: 低温冷藏,避光,密封,干燥
注意事项: 刺激皮肤,对眼睛有严重伤害;防止阳光直射
有效期限: 2年
供货能力: 现货,可根据可以客户需求批量定制
| 产品名称 | CAS | 规格 |
| 皂皮酸、皂树皮酸631-01-6图片 | 631-01-6 | 可根据客户要求订制 |
1.皂皮酸、皂树皮酸631-01-6图片对照品溶液的稳定性
2.对照品溶液的配制:精密量取脑对照品适量,加无水乙醇制成每1ml含脑1mg的溶液,作为对照品溶液。
3.色谱条件:以交联键合聚乙二醇为固定相的毛细管柱;柱温120℃;进样口温度250℃;检测器温度250℃;分流进样,分流比10:1。理论塔板数按脑计算应不低于10000。
4.实验方法:配制的对照品溶液,一份置冷处保存,一份置室温中保存,在第1、3、7、10、15天重新配制一份对照品溶液,三种储备液同时稀释制成每1ml中约含50ug的溶液。照气相色谱法,并依据新对照品的峰面积计算原对照品溶液的含量。记录下来,保证原对照品溶液含量在考察期相对平均偏差不超过2.0%,验证对照品溶液在使用期内稳定可靠。
订购须知:
1.产品仅用于科研产品优势:高效稳定的专业纯化技术,完善的库存及供应体系,高效的销售团队。
2.包装规格:常规包装,如有特殊需求,我们根据客户要求包装。
3.运输方式:默认顺丰快递,大宗货物走德邦物流。
4.质量保证:严格的质量控制,通过全面的检测,是产品质量保证的基础。如有异议经我司确认可无条件退换货。
98%5gATP
BR250gCoccidia
BR500gTF
98%1gCAR
98%25gMS
98%5g17β-E2
99%100gXOD
皂皮酸、皂树皮酸631-01-6图片二四二钠盐中药对照药材进口/国产SPHK2 鞘氨醇激酶2抗体进口/国产ICAM-2/CD102 ELISA Kit 大鼠细胞间粘附分子2人糖化血红蛋白A1c(GHbA1c)ELISA Kit,48T/96T 进口、国产二四二钠钙盐中药对照药材特价供应STK3 丝氨/苏氨蛋白激酶3抗体进口/国产E2(Mouse Estradiol)ELISA Kit 小鼠雌二醇小鼠糖化血红蛋白A1c(GHbA1c)ELISA Kit,48T/96T 进口、国产二四二钠锰盐中药对照药材现货促销IKIP IKK激酶相互作用蛋白抗体进口/国产BP180-Ab(Human anti-Bullous Pemphigoid 180 antibody) ELISA Kit 人抗BP180抗体大鼠糖化血红蛋白A1c(GHbA1c)ELISA Kit,48T/96T 进口、国产二四二钠锌盐中药对照药材特价促销AMACR/P504S α-酰辅酶A消旋酶抗体进口/国产ICAM-3/CD50 ELISA Kit 大鼠细胞间粘附分子3兔糖化血红蛋白A1c(GHbA1c)ELISA Kit,48T/96T 进口、国产
化学药品标准物质的分类:
1.按来源:
(1)产品仅用于科研国际化学标准物质(WHO)
(2)美国药典标准物质(USPC,USP)
(3)欧式药典标准物质(EDQM,EP)
(4)日本药局标准物(PMRJ,JP)
(5)国家药品标准物质(NICPBP,CHP)
2.按测定方法和使用对象:
(1)生物标准物质
(2)化学标准物质(化学对照物质)
3.按使用要求:
(1)国际化学对照品
(2)国家化学对照品
(3)工作化学对照品
4.按用途:
(1)鉴别用化学对照品
(2)纯度或杂质检查用对照品
(3)含量测定用对照品
(4)标准仪器用对照品
5.按药品使用对象:
(1)化学对照品
(2)中药化学对照品
(3)抗生素化学对照品
(4)麻醉药品化学对照品
我们销售的产品仅用于科研产品包含:中药标准品,中检所对照品,中检所标准品,化学标准品,标准物质,色谱标准品,中药对照品,及其他化学试剂,生化试剂,动物血清,培养基,抗体,实验耗材等,欢迎来电洽谈!
风险提示:丁香通仅作为第三方平台,为商家信息发布提供平台空间。用户咨询产品时请注意保护个人信息及财产安全,合理判断,谨慎选购商品,商家和用户对交易行为负责。对于医疗器械类产品,请先查证核实企业经营资质和医疗器械产品注册证情况。
技术资料暂无技术资料 索取技术资料
皂皮酸、皂树皮酸631-01-6图片
询价










