相关产品推荐更多 >
万千商家帮你免费找货
0 人在求购买到急需产品
- 详细信息
- 技术资料
- 库存:
37
- 英文名:
Oleuropein
- CAS号:
32619-42-4
- 保质期:
详见说明书
- 供应商:
上海莼试
- 保存条件:
低温冷藏
- 规格:
可根据客户要求订制
订购须知:
1.产品仅用于科研产品优势:高效稳定的专业纯化技术,完善的库存及供应体系,高效的销售团队。
2.包装规格:常规包装,如有特殊需求,我们根据客户要求包装。
3.运输方式:默认顺丰快递,大宗货物走德邦物流。
4.质量保证:严格的质量控制,通过全面的检测,是产品质量保证的基础。如有异议经我司确认可无条件退换货。
我们销售的产品仅用于科研产品包含:中药标准品,中检所对照品,中检所标准品,化学标准品,标准物质,色谱标准品,中药对照品,及其他化学试剂,生化试剂,动物血清,培养基,抗体,实验耗材等,欢迎来电洽谈!
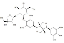
产品名称 橄榄苦苷32619-42-4图片
英文名称 Oleuropein
CAS NO.: 32619-42-4
分 子 量: 540.51
纯 度: ≥98%

分子式: C25H32O13
性状: 无色结晶
规格: 20mg/50mg/1g,可按客户需求包装!
用途: 用于科研研究、鉴定、药理实验等
熔点: 89-90°C
溶解性: 橄榄叶
提取来源: 来源油橄榄树(英文名:Olive,拉丁文名:OleaeuropaeaL)的叶子
药理药效: 有抗炎,抗真菌,抗病毒,抗氧化,以及抗癌和降血糖等多种作用
鉴别方法: NMR;Ms
检测方法: 补充中
贮存条件: 低温冷藏,避光,密封,干燥
注意事项: 补充中
有效期限: 2年
供货能力: 现货,可根据可以客户需求批量定制
对照品实验方法与判定:
1.橄榄苦苷32619-42-4图片对照品溶液的稳定性
2.对照品溶液的配制:精密量取脑对照品适量,加无水乙醇制成每1ml含脑1mg的溶液,作为对照品溶液。
3.色谱条件:以交联键合聚乙二醇为固定相的毛细管柱;柱温120℃;进样口温度250℃;检测器温度250℃;分流进样,分流比10:1。理论塔板数按脑计算应不低于10000。
4.实验方法:配制的对照品溶液,一份置冷处保存,一份置室温中保存,在第1、3、7、10、15天重新配制一份对照品溶液,三种储备液同时稀释制成每1ml中约含50ug的溶液。照气相色谱法,并依据新对照品的峰面积计算原对照品溶液的含量。记录下来,保证原对照品溶液含量在考察期相对平均偏差不超过2.0%,验证对照品溶液在使用期内稳定可靠。
化学药品标准物质的分类:
1.按来源:
(1)产品仅用于科研国际化学标准物质(WHO)
(2)美国药典标准物质(USPC,USP)
(3)欧式药典标准物质(EDQM,EP)
(4)日本药局标准物(PMRJ,JP)
(5)国家药品标准物质(NICPBP,CHP)
2.按测定方法和使用对象:
(1)生物标准物质
(2)化学标准物质(化学对照物质)
3.按使用要求:
(1)国际化学对照品
(2)国家化学对照品
(3)工作化学对照品
4.按用途:
(1)鉴别用化学对照品
(2)纯度或杂质检查用对照品
(3)含量测定用对照品
(4)标准仪器用对照品
5.按药品使用对象:
(1)化学对照品
(2)中药化学对照品
(3)抗生素化学对照品
(4)麻醉药品化学对照品
人血管生成素2(ANG-2)ELISA试剂盒 0.156-10 ng/mL 草质素苷(标准品) Rhodionin
EPX嗜性粒细胞过化物酶抗体 规格: 0.2ml 替卡西林,替卡西林钠 Ticarcillin disodium salt
Liver Broth 肝肉汤Oxoid500G [Des-Ala1,des-Gly2,His4,5,DTrp8]-生长抑素-14 [Des-Ala1,des-Gly2,His4,5,DTrp8]-Somatostatin-14
豚鼠白介素5(IL-5)ELISA试剂盒 英文名: IL-5 ELISA Kit 红霉素-13C,D3 Erythromycin-13C,D3
ELISA Kit for Human Epidermal growth factor receptor 78-5000 pg/mL 液相内毒素清除剂 DNA-EZ Reagents P Endotoxin-Be-Gone
人谷氨酰合成酶ELISA试剂盒 15.6-1000 pg/mL 脱色袋 Destaining bags
抗生素检定培养基5号(AM5)250(g) 胰高血糖素样肽-1酰,人 Glucagon - Like Peptide 1,(GLP - 1) amide, human
MA, 小鼠星形胶质细胞KATO III(人胃细胞) 烟酰-2,4,5,6-d4 Nicotinamide-2,4,5,6-d4
ELISA Kit for Human Methylated-DNA--protein-cysteine methyltransferase 0.156-10 ng/mL 九(水溶液中约0.5mol/L)[离子对色谱级] IPC-PFFA-5 (ca. 0.5mol/L in Water)
RAP1A抗Rap1A抗体 规格: 0.1ml 3-3-Bromobenzophenone
GKN1 / Gastrokine 1 抗體, 兔多抗 ELISA 400 µg 尼扎替 Nizatidine
BMP-2 抗體, 兔單抗 IF ICC/IF 50 µg 雌(标准品) Estradiol Benzoate
ELISA Kit for Human Cytosolic phospholipase A2 3.12-200 U/mL 酰(标准品) Flutolanil
Paxillin桩蛋白Paxillin抗体 规格: 0.1mlCECR6猫眼综合征染色体候选基因6抗体 规格: 0.2ml 莱苞迪甙C(标准品) Rebaudioside C
橄榄苦苷32619-42-4图片alpha Defensin 1MnlI1500 units
ABCG4BseDI (BsaJI)300 units小鼠组织因子途径抑制物(TFPI)免疫试剂盒
ATEXPA10BseDI (BsaJI)1500 units小鼠组织型纤溶酶原激活剂(t-PA)免疫试剂盒
A RafPauI (BssHII)200 units小鼠组织多肽抗原(TPA)免疫试剂盒
Phospho-A Raf(Ser299)PauI (BssHII)1000 units小鼠组织蛋白去酰化酶2(Hdac2/Yy1bp)免疫试剂盒
AMPD3HphI300 units小鼠组织蛋白酶K(cath-K)免疫试剂盒
ABPHphI1500 units小鼠组蛋白脱酰酶(HDAC1)免疫试剂盒
ALRRsaI1000 units小鼠组蛋白去酰化酶4(HDAC4)免疫试剂盒
1.产品仅用于科研产品优势:高效稳定的专业纯化技术,完善的库存及供应体系,高效的销售团队。
2.包装规格:常规包装,如有特殊需求,我们根据客户要求包装。
3.运输方式:默认顺丰快递,大宗货物走德邦物流。
4.质量保证:严格的质量控制,通过全面的检测,是产品质量保证的基础。如有异议经我司确认可无条件退换货。
我们销售的产品仅用于科研产品包含:中药标准品,中检所对照品,中检所标准品,化学标准品,标准物质,色谱标准品,中药对照品,及其他化学试剂,生化试剂,动物血清,培养基,抗体,实验耗材等,欢迎来电洽谈!
产品名称 橄榄苦苷32619-42-4图片
英文名称 Oleuropein
CAS NO.: 32619-42-4
分 子 量: 540.51
纯 度: ≥98%

分子式: C25H32O13
性状: 无色结晶
规格: 20mg/50mg/1g,可按客户需求包装!
用途: 用于科研研究、鉴定、药理实验等
熔点: 89-90°C
溶解性: 橄榄叶
提取来源: 来源油橄榄树(英文名:Olive,拉丁文名:OleaeuropaeaL)的叶子
药理药效: 有抗炎,抗真菌,抗病毒,抗氧化,以及抗癌和降血糖等多种作用
鉴别方法: NMR;Ms
检测方法: 补充中
贮存条件: 低温冷藏,避光,密封,干燥
注意事项: 补充中
有效期限: 2年
供货能力: 现货,可根据可以客户需求批量定制
| 产品名称 | CAS | 规格 |
| 橄榄苦苷32619-42-4图片 | 32619-42-4 | 可根据客户要求订制 |
1.橄榄苦苷32619-42-4图片对照品溶液的稳定性
2.对照品溶液的配制:精密量取脑对照品适量,加无水乙醇制成每1ml含脑1mg的溶液,作为对照品溶液。
3.色谱条件:以交联键合聚乙二醇为固定相的毛细管柱;柱温120℃;进样口温度250℃;检测器温度250℃;分流进样,分流比10:1。理论塔板数按脑计算应不低于10000。
4.实验方法:配制的对照品溶液,一份置冷处保存,一份置室温中保存,在第1、3、7、10、15天重新配制一份对照品溶液,三种储备液同时稀释制成每1ml中约含50ug的溶液。照气相色谱法,并依据新对照品的峰面积计算原对照品溶液的含量。记录下来,保证原对照品溶液含量在考察期相对平均偏差不超过2.0%,验证对照品溶液在使用期内稳定可靠。
化学药品标准物质的分类:
1.按来源:
(1)产品仅用于科研国际化学标准物质(WHO)
(2)美国药典标准物质(USPC,USP)
(3)欧式药典标准物质(EDQM,EP)
(4)日本药局标准物(PMRJ,JP)
(5)国家药品标准物质(NICPBP,CHP)
2.按测定方法和使用对象:
(1)生物标准物质
(2)化学标准物质(化学对照物质)
3.按使用要求:
(1)国际化学对照品
(2)国家化学对照品
(3)工作化学对照品
4.按用途:
(1)鉴别用化学对照品
(2)纯度或杂质检查用对照品
(3)含量测定用对照品
(4)标准仪器用对照品
5.按药品使用对象:
(1)化学对照品
(2)中药化学对照品
(3)抗生素化学对照品
(4)麻醉药品化学对照品
人血管生成素2(ANG-2)ELISA试剂盒 0.156-10 ng/mL 草质素苷(标准品) Rhodionin
EPX嗜性粒细胞过化物酶抗体 规格: 0.2ml 替卡西林,替卡西林钠 Ticarcillin disodium salt
Liver Broth 肝肉汤Oxoid500G [Des-Ala1,des-Gly2,His4,5,DTrp8]-生长抑素-14 [Des-Ala1,des-Gly2,His4,5,DTrp8]-Somatostatin-14
豚鼠白介素5(IL-5)ELISA试剂盒 英文名: IL-5 ELISA Kit 红霉素-13C,D3 Erythromycin-13C,D3
ELISA Kit for Human Epidermal growth factor receptor 78-5000 pg/mL 液相内毒素清除剂 DNA-EZ Reagents P Endotoxin-Be-Gone
人谷氨酰合成酶ELISA试剂盒 15.6-1000 pg/mL 脱色袋 Destaining bags
抗生素检定培养基5号(AM5)250(g) 胰高血糖素样肽-1酰,人 Glucagon - Like Peptide 1,(GLP - 1) amide, human
MA, 小鼠星形胶质细胞KATO III(人胃细胞) 烟酰-2,4,5,6-d4 Nicotinamide-2,4,5,6-d4
ELISA Kit for Human Methylated-DNA--protein-cysteine methyltransferase 0.156-10 ng/mL 九(水溶液中约0.5mol/L)[离子对色谱级] IPC-PFFA-5 (ca. 0.5mol/L in Water)
RAP1A抗Rap1A抗体 规格: 0.1ml 3-3-Bromobenzophenone
GKN1 / Gastrokine 1 抗體, 兔多抗 ELISA 400 µg 尼扎替 Nizatidine
BMP-2 抗體, 兔單抗 IF ICC/IF 50 µg 雌(标准品) Estradiol Benzoate
ELISA Kit for Human Cytosolic phospholipase A2 3.12-200 U/mL 酰(标准品) Flutolanil
Paxillin桩蛋白Paxillin抗体 规格: 0.1mlCECR6猫眼综合征染色体候选基因6抗体 规格: 0.2ml 莱苞迪甙C(标准品) Rebaudioside C
橄榄苦苷32619-42-4图片alpha Defensin 1MnlI1500 units
ABCG4BseDI (BsaJI)300 units小鼠组织因子途径抑制物(TFPI)免疫试剂盒
ATEXPA10BseDI (BsaJI)1500 units小鼠组织型纤溶酶原激活剂(t-PA)免疫试剂盒
A RafPauI (BssHII)200 units小鼠组织多肽抗原(TPA)免疫试剂盒
Phospho-A Raf(Ser299)PauI (BssHII)1000 units小鼠组织蛋白去酰化酶2(Hdac2/Yy1bp)免疫试剂盒
AMPD3HphI300 units小鼠组织蛋白酶K(cath-K)免疫试剂盒
ABPHphI1500 units小鼠组蛋白脱酰酶(HDAC1)免疫试剂盒
ALRRsaI1000 units小鼠组蛋白去酰化酶4(HDAC4)免疫试剂盒
风险提示:丁香通仅作为第三方平台,为商家信息发布提供平台空间。用户咨询产品时请注意保护个人信息及财产安全,合理判断,谨慎选购商品,商家和用户对交易行为负责。对于医疗器械类产品,请先查证核实企业经营资质和医疗器械产品注册证情况。
技术资料暂无技术资料 索取技术资料
橄榄苦苷32619-42-4图片
询价










