相关产品推荐更多 >
万千商家帮你免费找货
0 人在求购买到急需产品
- 详细信息
- 文献和实验
- 技术资料
- 英文名:
BES
- CAS号:
10191-18-1
- 保质期:
5年
- 供应商:
上海瓦兰生物
- 保存条件:
RT
- 库存:
大量
- 规格:
25G/100g
| 规格: | 25G | 产品价格: | ¥73.0 |
|---|---|---|---|
| 规格: | 100g | 产品价格: | ¥173.0 |
cas:10191-18-1
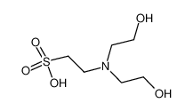
中文名称:N,N-双(2-羟乙基)-2-氨基乙磺酸
英文名称:2-[bis(2-hydroxyethyl)amino]ethanesulfonic acid
英文别名:N,N-Bis(hydroxyethyl)-2-aminoethanesulfonic acid;BES (buffering agent);N,N-Bis(2-hydroxyethyl)-2-aminoethanesulfonic Acid[BES];Ethanesulfonic acid,2-[bis(2-hydroxyethyl)amino];N,N-Bis(2-hydroxyethyl)-2-aminoethanesulfonic acid;N,N-bis(2-hydroxyethyl)taurine;2-(Bis(2-hydroxyethyl)amino)ethanesulfonic acid;2-(Bis(2-Hydroxyethyl)Amino)-Ethanesulfonicacid;BES;Taurine,N,N-bis(2-hydroxyethyl);N,N-Bis(2-hydroxyethyl)-2-aminoethanesulfonic Acid [Good's buffer component;N,N-bis-(2-hydroxyethyl)-2-aminoethanesulphonic acid;bis hydroxyethylaminoethane sulphonic acid;
分子式:C6H15NO5S
分子量:213.25200
精确质量:213.06700
PSA:106.45000
LOGP:-0.75840
物化性质
外观与性状:白色固体
密度:1.437g/cm3
熔点:150-155 °C
折射率:1.548
水溶解性:Soluble
稳定性:Stable under normal temperatures and pressures.
储存条件:Store at RT.
生产方法及用途
用途
用作生物缓冲剂,缓冲范围pH 6~ 0。
风险提示:丁香通仅作为第三方平台,为商家信息发布提供平台空间。用户咨询产品时请注意保护个人信息及财产安全,合理判断,谨慎选购商品,商家和用户对交易行为负责。对于医疗器械类产品,请先查证核实企业经营资质和医疗器械产品注册证情况。
文献和实验相关专题 它们都是BSA N,O-Bis(trimethylsilyl)acetamide [BSA ] 别名:N,O-双(三甲基硅基)乙酰胺 CAS No: 10416-59-8 分子 式:C8H21NOSi2 分子量:203.43 通用名称:BSA 性状: 无色至浅黄色液体,b.p ,74-76oC,fp42oC,d420 0.829,nd20 1.417
6890N,双FID检测器,近日后FID点不着,前面的FID则一切正常,原本氢气和空气流量分别是40和450,后来把空气流量降为350,可以点着,但第二天又点不着,现在每次点火都要往FID吹一口气才可以点着,请问后面的FID喷嘴是否需要清洗了,还是需要更换。谢谢。 FID/FPD点火问题(点火困难或点不着火)大体有以下几种原因: 1、检查氢气、空气类型对不对,有时候供气商把气体搞混了,点不着火,如果刚换了空气或者氢气就出现点火问题,可以怀疑是搞混了。如果使用氢气
可在4℃保存数周。 7 . BCIP 溶液 【配制方法】 把0.5g的5-溴-4-氯-3-吲哚磷酸二钠盐(BCIP)溶解于10ml 100%的二甲基甲酰胺中,保存于4℃ 8 . 2×BES 缓冲盐溶液 【配制方法】 用总体积90ml的蒸馏水溶解1.07g盐溶液BES[N,N-双(2-羟乙基)-2-氨基乙磺酸]、1.6g NaCl和0.027g Na 2 HPO 4 ,室温
技术资料需要更多技术资料 索取更多技术资料










