相关产品推荐更多 >
万千商家帮你免费找货
0 人在求购买到急需产品
- 详细信息
- 技术资料
- 库存:
42
- CAS号:
1818-71-9
- 保质期:
详见说明书
- 供应商:
上海博湖
- 保存条件:
低温冷藏
- 规格:
20mg/50mg/1g,可按客户需求包装!
巴豆苷、异鸟苷1818-71-9化学药品标准物质的分类:
1.按来源:
(1) 国际化学标准物质(WHO)
(2)美国药典标准物质(USPC,USP)
(3)欧式药典标准物质(EDQM,EP)
(4)日本药局标准物(PMRJ,JP)
(5)国家药品标准物质(NICPBP,CHP)
2.按测定方法和使用对象:
(1)生物标准物质
(2)化学标准物质(化学对照物质)
3.按使用要求:
(1)国际化学对照品
(2)国家化学对照品
(3)工作化学对照品
4.按用途:
(1)鉴别用化学对照品
(2)纯度或杂质检查用对照品
(3)含量测定用对照品
(4)标准仪器用对照
5.按药品使用对象:
(1)化学对照品
(2)中药化学对照品
(3)抗生素化学对照品
(4)麻醉药品化学对照品
我司经营范围:国家对照品标准物质、进口对照品、冶金标样、标准气体、药典对照品、标准菌种、实验室耗材、试剂盒等
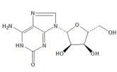
产品名称 巴豆苷、异鸟苷1818-71-9
分 子 量: 283.24
CAS NO.: 1818-71-9
纯 度: ≥98%
分子式: C10H13N5O5
规格: 20mg/50mg/1g,可按客户需求包装!

用途: 用于科研研究、鉴定、药理实验等
熔点: 237-241 °C
溶解性: 可溶于甲醇、乙醇、DMSO等有机溶剂
提取来源: 巴豆CrotontigliumL.果实;
药理药效: 具有致炎、致泻、抗肿瘤的作用
鉴别方法: NMR;Ms
检测方法: 无
贮存条件: 低温冷藏,避光,密封,干燥
注意事项: 无
有效期限: 2年
供货能力: 现货,可根据可以客户需求批量定制
技术:
1.色谱(高效液相色谱:薄层层析;气相色谱)
2. 质谱(液-质联用)
3. 光谱(红外、紫外),原子吸收
4. 测定(物理常数测定;旋光测定;不挥发物测定;干燥失重测定;蒸发或灼烧残渣测定)
5. 分析(含量分析;元素分析)
6. 滴定(酸性滴定;碱性滴定;配位滴定;非水滴定;氧化还原滴定)
7. 试验(与水混合试验;澄清度试验;各项化学反应试验
公司优势:
巴豆苷、异鸟苷1818-71-9服务对象针对性强,我们的客户遍布各大高校、医院以及各科研单位,还包括性的企业;
服务体系完整,我们为客户提供周到的售前售后服务,以及相应的技术支持。
标准品或对照品的管理规范:
1.规范购入使用台账,严格表明购入时间、批号、来源、数量、使用期限等内容;申购的标准品或对照品的批号要与新颁布标准品或对照品批号相符;
2.严格按照规定条件进行储存,标准品或对照品的性状极不稳定,对储存条件和方式非常苛刻;
3.规范管理和使用:
(1)严格按照说明书要求,由于标准品或对照品的不稳定性,若不安产品说明书的要求操作,极易造成较大的误差,从而影响检测结果;
(2)称量精密准确,标准品和对照品的含量测定要求不同,对精密性的要求很高;
(3)对于长期贮存的制备品,应充分考虑各方面的影响因素,规范操作;
(4)同时配制两份对照溶液以控制检验误差,由于现在药品的标准含量测定方法较多采用对照比较法,在测定过程中,仅配制一份对照溶液容易造成因配制对照溶液过程出现偏差;
(5)自行标定的标准品或对照品,严格规范操作,保证标准的可靠传递,并保证其可溯源性和准确性。
RatFactor-relatedApoptosisligand,FASLELISAKit大鼠凋亡相关因子配体(FASL)ELISA试剂盒规格:96T/48T 拉坦前列腺素 Latanoprost 质量规格:含量>99.0%
6倍蔗糖DNA电泳上样缓冲液20毫升 来那度胺/雷利度胺 Lenalidomide 质量规格:>99.0%,BR
Mouseghcagons-likepepfide1,GLP-1ELISA试剂盒小鼠胰高血糖素样肽1(GLP-1)ELISA试剂盒规格:96T/48T 来那度胺/雷利度胺(标准品) Lenalidomide 质量规格:HPLC>98%,标准品
小鼠铁蛋白(Ferritin)ELISA试剂盒 ,英文名: Ferritin ELISA Kit 来曲唑 Letrozole 质量规格:>98%,BR,可用于细胞培养
小鼠白介素15(IL-15)ELISA检测试剂盒MouseIerleukin15,IL-15ELISAKit 96T/48T 来曲唑(标准品) Letrozole 质量规格:HPLC>98%,标准品
人骨织素(Ostn)免疫试剂盒 Human osteocrin,Ostn ELISA kit 醋酸亮丙瑞林 Leuprorelin Acetate (Leuprolide Acetate) 质量规格:>97%.BR
RatFactor-relatedApoptosis,FASELISAKit大鼠凋亡相关因子(FAS/CD95)ELISA试剂盒规格:96T/48T 左乙拉西坦 Levetiracetam 质量规格:>99%,BR,USP
721型分光光度仪1毫升1厘米光径玻璃比色皿1个 左乙拉西坦(标准品) Levetiracetam 质量规格:HPLC>98%,标准品
Mouseglialfibrillaryacidicprotein,GFAPELISA试剂盒小鼠神经胶质纤维酸性蛋白(GFAP)ELISA试剂盒规格:96T/48T 盐酸林可霉素 Lincomycin HCl 质量规格:>850mcg/mg,BR
小鼠铁蛋白(FE)ELISA试剂盒 ,英文名: FE ELISA Kit 盐酸林可霉素(标准品) Lincomycin HCl 质量规格:HPLC含量测定
来那度胺/雷利度胺 Lenalidomide 质量规格:>99.0%,BR 6倍蔗糖DNA电泳上样缓冲液20毫升
来那度胺/雷利度胺(标准品) Lenalidomide 质量规格:HPLC>98%,标准品 Mouseghcagons-likepepfide1,GLP-1ELISA试剂盒小鼠胰高血糖素样肽1(GLP-1)ELISA试剂盒规格:96T/48T
来曲唑 Letrozole 质量规格:>98%,BR,可用于细胞培养 小鼠铁蛋白(Ferritin)ELISA试剂盒 ,英文名: Ferritin ELISA Kit
来曲唑(标准品) Letrozole 质量规格:HPLC>98%,标准品 小鼠白介素15(IL-15)ELISA检测试剂盒MouseIerleukin15,IL-15ELISAKit 96T/48T
醋酸亮丙瑞林 Leuprorelin Acetate (Leuprolide Acetate) 质量规格:>97%.BR 人骨织素(Ostn)免疫试剂盒 Human osteocrin,Ostn ELISA kit
左乙拉西坦 Levetiracetam 质量规格:>99%,BR,USP RatFactor-relatedApoptosis,FASELISAKit大鼠凋亡相关因子(FAS/CD95)ELISA试剂盒规格:96T/48T
左乙拉西坦(标准品) Levetiracetam 质量规格:HPLC>98%,标准品 721型分光光度仪1毫升1厘米光径玻璃比色皿1个
盐酸林可霉素 Lincomycin HCl 质量规格:>850mcg/mg,BR Mouseglialfibrillaryacidicprotein,GFAPELISA试剂盒小鼠神经胶质纤维酸性蛋白(GFAP)ELISA试剂盒规格:96T/48T
盐酸林可霉素(标准品) Lincomycin HCl 质量规格:HPLC含量测定 小鼠铁蛋白(FE)ELISA试剂盒 ,英文名: FE ELISA Kit
三代甲状腺素钠盐 Liothyronine sodium 质量规格:>97.0%,BR 小鼠白介素16(IL-16)ELISA检测试剂盒MouseIerleukin16,IL-16ELISAKIT 96T/48T
去甲基氯化西酞普兰盐酸盐 Demethylchloro Citalopram Hydrochloride 质量规格:美国进口 英文名称HumanIL-1ELISAKit人白介素1(IL-1)规格:96T/48T
3-氧西酞普兰 3-Oxo Citalopram 质量规格:美国进口 英文名称HumaninducibleniicoxidesyhaseELISAKIT人诱导型合成酶(iNOS)规格:96T/48T
(R)-草酸西酞普兰 (R)-Citalopram Oxalate 质量规格:美国进口 英文名称HumanInhibinAELISAKit人抑制素A(INHA)规格:96T/48T
西酞普兰N-氧化物 Citalopram N-Oxide 质量规格:美国进口 英文名称HumanInhibinBELISAKit人抑制素B(INHB)规格:96T/48T
(S)-西酞普兰N-氧化物 (S)-Citalopram N-Oxide 质量规格:美国进口 英文名称HumanInsulieceptorβ(ISR-β)ELISAKIT人胰岛素受体β(ISR-β)规格:96T/48T
N-去甲基克拉霉素 N-Desmethyl Clarithromycin 质量规格:美国进口 英文名称HumanInsulinELISAKit人胰岛素(Insulin)ELISAKit规格:96T/48T
阿糖胞苷 5‘-单盐 Cytarabine 5'-Monophosphate 质量规格:美国进口 英文名称HumanInsulin-likegrowthfactor1,IGF-1ELISAKit人胰岛素样生长因子1(IGF-1)ELISAKit规格:96T/48T
达卡巴嗪-d6 Dacarbazine-d6 质量规格:美国进口 英文名称HumanInsulin-likegrowthfactor2,IGF-IIELISAKit人胰岛素样生长因子2(IGF-2)规格:96T/48T
达沙替尼β-D-葡萄糖苷 Dasatinib β-D-Glucuronide 质量规格:美国进口 英文名称HumanInsulin-likegrowthfactorbindingprotein1ELISAKit人胰岛素样生长因子结合蛋白1(IGFBP1)规格:96T/48T
达沙替尼羧酸 Dasatinib Carboxylic Acid 质量规格:美国进口 英文名称HumanInsulin-likegrowthfactorbindingprotein2,IGFBP2ELISAKIT人胰岛素样生长因子结合蛋白2(IGFBP2)规格:96T/48T
英文名称HumanIL-11人白介素-11(IL-11)规格:96T/48T 3,4-脱氢西洛他唑 3,4-Dehydro Cilostazol 质量规格:美国进口
英文名称HumanIL-17人白介素-17(IL-17)规格:96T/48T 西洛他唑-d11 Cilostazol-d11 质量规格:美国进口
英文名称HumanIL-18人白介素-18(IL-18)ELISA试剂盒规格:96T/48T 去二甲基氯化西酞普兰盐酸盐 Didemethylchloro Citalopram Hydrochloride 质量规格:美国进口
英文名称HumanIL-1人白介素1(IL-1)规格:96T/48T 去甲基氯化西酞普兰盐酸盐 Demethylchloro Citalopram Hydrochloride 质量规格:美国进口
英文名称Humaninducibleniicoxidesyhase人诱导型合成酶(iNOS)规格:96T/48T 3-氧西酞普兰 3-Oxo Citalopram 质量规格:美国进口
英文名称HumanInhibinA人抑制素A(INHA)规格:96T/48T (R)-草酸西酞普兰 (R)-Citalopram Oxalate 质量规格:美国进口
英文名称HumanInhibinB人抑制素B(INHB)规格:96T/48T 西酞普兰N-氧化物 Citalopram N-Oxide 质量规格:美国进口
英文名称HumanInsulieceptorβ(ISR-β)人胰岛素受体β(ISR-β)规格:96T/48T (S)-西酞普兰N-氧化物 (S)-Citalopram N-Oxide 质量规格:美国进口
英文名称HumanInsulin人胰岛素(Insulin)规格:96T/48T N-去甲基克拉霉素 N-Desmethyl Clarithromycin 质量规格:美国进口
英文名称HumanInsulin-likegrowthfactor1,IGF-1人胰岛素样生长因子1(IGF-1)规格:96T/48T 阿糖胞苷 5‘-单盐 Cytarabine 5'-Monophosphate 质量规格:美国进口
1.按来源:
(1) 国际化学标准物质(WHO)
(2)美国药典标准物质(USPC,USP)
(3)欧式药典标准物质(EDQM,EP)
(4)日本药局标准物(PMRJ,JP)
(5)国家药品标准物质(NICPBP,CHP)
2.按测定方法和使用对象:
(1)生物标准物质
(2)化学标准物质(化学对照物质)
3.按使用要求:
(1)国际化学对照品
(2)国家化学对照品
(3)工作化学对照品
4.按用途:
(1)鉴别用化学对照品
(2)纯度或杂质检查用对照品
(3)含量测定用对照品
(4)标准仪器用对照
5.按药品使用对象:
(1)化学对照品
(2)中药化学对照品
(3)抗生素化学对照品
(4)麻醉药品化学对照品
我司经营范围:国家对照品标准物质、进口对照品、冶金标样、标准气体、药典对照品、标准菌种、实验室耗材、试剂盒等
| 产品名称 | 巴豆苷、异鸟苷1818-71-9 |
| CAS | 1818-71-9 |
| 规格 | 20mg/50mg/1g,可按客户需求包装 |
分 子 量: 283.24
CAS NO.: 1818-71-9
纯 度: ≥98%
分子式: C10H13N5O5
规格: 20mg/50mg/1g,可按客户需求包装!

用途: 用于科研研究、鉴定、药理实验等
熔点: 237-241 °C
溶解性: 可溶于甲醇、乙醇、DMSO等有机溶剂
提取来源: 巴豆CrotontigliumL.果实;
药理药效: 具有致炎、致泻、抗肿瘤的作用
鉴别方法: NMR;Ms
检测方法: 无
贮存条件: 低温冷藏,避光,密封,干燥
注意事项: 无
有效期限: 2年
供货能力: 现货,可根据可以客户需求批量定制
技术:
1.色谱(高效液相色谱:薄层层析;气相色谱)
2. 质谱(液-质联用)
3. 光谱(红外、紫外),原子吸收
4. 测定(物理常数测定;旋光测定;不挥发物测定;干燥失重测定;蒸发或灼烧残渣测定)
5. 分析(含量分析;元素分析)
6. 滴定(酸性滴定;碱性滴定;配位滴定;非水滴定;氧化还原滴定)
7. 试验(与水混合试验;澄清度试验;各项化学反应试验
公司优势:
巴豆苷、异鸟苷1818-71-9服务对象针对性强,我们的客户遍布各大高校、医院以及各科研单位,还包括性的企业;
服务体系完整,我们为客户提供周到的售前售后服务,以及相应的技术支持。
标准品或对照品的管理规范:
1.规范购入使用台账,严格表明购入时间、批号、来源、数量、使用期限等内容;申购的标准品或对照品的批号要与新颁布标准品或对照品批号相符;
2.严格按照规定条件进行储存,标准品或对照品的性状极不稳定,对储存条件和方式非常苛刻;
3.规范管理和使用:
(1)严格按照说明书要求,由于标准品或对照品的不稳定性,若不安产品说明书的要求操作,极易造成较大的误差,从而影响检测结果;
(2)称量精密准确,标准品和对照品的含量测定要求不同,对精密性的要求很高;
(3)对于长期贮存的制备品,应充分考虑各方面的影响因素,规范操作;
(4)同时配制两份对照溶液以控制检验误差,由于现在药品的标准含量测定方法较多采用对照比较法,在测定过程中,仅配制一份对照溶液容易造成因配制对照溶液过程出现偏差;
(5)自行标定的标准品或对照品,严格规范操作,保证标准的可靠传递,并保证其可溯源性和准确性。
RatFactor-relatedApoptosisligand,FASLELISAKit大鼠凋亡相关因子配体(FASL)ELISA试剂盒规格:96T/48T 拉坦前列腺素 Latanoprost 质量规格:含量>99.0%
6倍蔗糖DNA电泳上样缓冲液20毫升 来那度胺/雷利度胺 Lenalidomide 质量规格:>99.0%,BR
Mouseghcagons-likepepfide1,GLP-1ELISA试剂盒小鼠胰高血糖素样肽1(GLP-1)ELISA试剂盒规格:96T/48T 来那度胺/雷利度胺(标准品) Lenalidomide 质量规格:HPLC>98%,标准品
小鼠铁蛋白(Ferritin)ELISA试剂盒 ,英文名: Ferritin ELISA Kit 来曲唑 Letrozole 质量规格:>98%,BR,可用于细胞培养
小鼠白介素15(IL-15)ELISA检测试剂盒MouseIerleukin15,IL-15ELISAKit 96T/48T 来曲唑(标准品) Letrozole 质量规格:HPLC>98%,标准品
人骨织素(Ostn)免疫试剂盒 Human osteocrin,Ostn ELISA kit 醋酸亮丙瑞林 Leuprorelin Acetate (Leuprolide Acetate) 质量规格:>97%.BR
RatFactor-relatedApoptosis,FASELISAKit大鼠凋亡相关因子(FAS/CD95)ELISA试剂盒规格:96T/48T 左乙拉西坦 Levetiracetam 质量规格:>99%,BR,USP
721型分光光度仪1毫升1厘米光径玻璃比色皿1个 左乙拉西坦(标准品) Levetiracetam 质量规格:HPLC>98%,标准品
Mouseglialfibrillaryacidicprotein,GFAPELISA试剂盒小鼠神经胶质纤维酸性蛋白(GFAP)ELISA试剂盒规格:96T/48T 盐酸林可霉素 Lincomycin HCl 质量规格:>850mcg/mg,BR
小鼠铁蛋白(FE)ELISA试剂盒 ,英文名: FE ELISA Kit 盐酸林可霉素(标准品) Lincomycin HCl 质量规格:HPLC含量测定
来那度胺/雷利度胺 Lenalidomide 质量规格:>99.0%,BR 6倍蔗糖DNA电泳上样缓冲液20毫升
来那度胺/雷利度胺(标准品) Lenalidomide 质量规格:HPLC>98%,标准品 Mouseghcagons-likepepfide1,GLP-1ELISA试剂盒小鼠胰高血糖素样肽1(GLP-1)ELISA试剂盒规格:96T/48T
来曲唑 Letrozole 质量规格:>98%,BR,可用于细胞培养 小鼠铁蛋白(Ferritin)ELISA试剂盒 ,英文名: Ferritin ELISA Kit
来曲唑(标准品) Letrozole 质量规格:HPLC>98%,标准品 小鼠白介素15(IL-15)ELISA检测试剂盒MouseIerleukin15,IL-15ELISAKit 96T/48T
醋酸亮丙瑞林 Leuprorelin Acetate (Leuprolide Acetate) 质量规格:>97%.BR 人骨织素(Ostn)免疫试剂盒 Human osteocrin,Ostn ELISA kit
左乙拉西坦 Levetiracetam 质量规格:>99%,BR,USP RatFactor-relatedApoptosis,FASELISAKit大鼠凋亡相关因子(FAS/CD95)ELISA试剂盒规格:96T/48T
左乙拉西坦(标准品) Levetiracetam 质量规格:HPLC>98%,标准品 721型分光光度仪1毫升1厘米光径玻璃比色皿1个
盐酸林可霉素 Lincomycin HCl 质量规格:>850mcg/mg,BR Mouseglialfibrillaryacidicprotein,GFAPELISA试剂盒小鼠神经胶质纤维酸性蛋白(GFAP)ELISA试剂盒规格:96T/48T
盐酸林可霉素(标准品) Lincomycin HCl 质量规格:HPLC含量测定 小鼠铁蛋白(FE)ELISA试剂盒 ,英文名: FE ELISA Kit
三代甲状腺素钠盐 Liothyronine sodium 质量规格:>97.0%,BR 小鼠白介素16(IL-16)ELISA检测试剂盒MouseIerleukin16,IL-16ELISAKIT 96T/48T
去甲基氯化西酞普兰盐酸盐 Demethylchloro Citalopram Hydrochloride 质量规格:美国进口 英文名称HumanIL-1ELISAKit人白介素1(IL-1)规格:96T/48T
3-氧西酞普兰 3-Oxo Citalopram 质量规格:美国进口 英文名称HumaninducibleniicoxidesyhaseELISAKIT人诱导型合成酶(iNOS)规格:96T/48T
(R)-草酸西酞普兰 (R)-Citalopram Oxalate 质量规格:美国进口 英文名称HumanInhibinAELISAKit人抑制素A(INHA)规格:96T/48T
西酞普兰N-氧化物 Citalopram N-Oxide 质量规格:美国进口 英文名称HumanInhibinBELISAKit人抑制素B(INHB)规格:96T/48T
(S)-西酞普兰N-氧化物 (S)-Citalopram N-Oxide 质量规格:美国进口 英文名称HumanInsulieceptorβ(ISR-β)ELISAKIT人胰岛素受体β(ISR-β)规格:96T/48T
N-去甲基克拉霉素 N-Desmethyl Clarithromycin 质量规格:美国进口 英文名称HumanInsulinELISAKit人胰岛素(Insulin)ELISAKit规格:96T/48T
阿糖胞苷 5‘-单盐 Cytarabine 5'-Monophosphate 质量规格:美国进口 英文名称HumanInsulin-likegrowthfactor1,IGF-1ELISAKit人胰岛素样生长因子1(IGF-1)ELISAKit规格:96T/48T
达卡巴嗪-d6 Dacarbazine-d6 质量规格:美国进口 英文名称HumanInsulin-likegrowthfactor2,IGF-IIELISAKit人胰岛素样生长因子2(IGF-2)规格:96T/48T
达沙替尼β-D-葡萄糖苷 Dasatinib β-D-Glucuronide 质量规格:美国进口 英文名称HumanInsulin-likegrowthfactorbindingprotein1ELISAKit人胰岛素样生长因子结合蛋白1(IGFBP1)规格:96T/48T
达沙替尼羧酸 Dasatinib Carboxylic Acid 质量规格:美国进口 英文名称HumanInsulin-likegrowthfactorbindingprotein2,IGFBP2ELISAKIT人胰岛素样生长因子结合蛋白2(IGFBP2)规格:96T/48T
英文名称HumanIL-11人白介素-11(IL-11)规格:96T/48T 3,4-脱氢西洛他唑 3,4-Dehydro Cilostazol 质量规格:美国进口
英文名称HumanIL-17人白介素-17(IL-17)规格:96T/48T 西洛他唑-d11 Cilostazol-d11 质量规格:美国进口
英文名称HumanIL-18人白介素-18(IL-18)ELISA试剂盒规格:96T/48T 去二甲基氯化西酞普兰盐酸盐 Didemethylchloro Citalopram Hydrochloride 质量规格:美国进口
英文名称HumanIL-1人白介素1(IL-1)规格:96T/48T 去甲基氯化西酞普兰盐酸盐 Demethylchloro Citalopram Hydrochloride 质量规格:美国进口
英文名称Humaninducibleniicoxidesyhase人诱导型合成酶(iNOS)规格:96T/48T 3-氧西酞普兰 3-Oxo Citalopram 质量规格:美国进口
英文名称HumanInhibinA人抑制素A(INHA)规格:96T/48T (R)-草酸西酞普兰 (R)-Citalopram Oxalate 质量规格:美国进口
英文名称HumanInhibinB人抑制素B(INHB)规格:96T/48T 西酞普兰N-氧化物 Citalopram N-Oxide 质量规格:美国进口
英文名称HumanInsulieceptorβ(ISR-β)人胰岛素受体β(ISR-β)规格:96T/48T (S)-西酞普兰N-氧化物 (S)-Citalopram N-Oxide 质量规格:美国进口
英文名称HumanInsulin人胰岛素(Insulin)规格:96T/48T N-去甲基克拉霉素 N-Desmethyl Clarithromycin 质量规格:美国进口
英文名称HumanInsulin-likegrowthfactor1,IGF-1人胰岛素样生长因子1(IGF-1)规格:96T/48T 阿糖胞苷 5‘-单盐 Cytarabine 5'-Monophosphate 质量规格:美国进口
风险提示:丁香通仅作为第三方平台,为商家信息发布提供平台空间。用户咨询产品时请注意保护个人信息及财产安全,合理判断,谨慎选购商品,商家和用户对交易行为负责。对于医疗器械类产品,请先查证核实企业经营资质和医疗器械产品注册证情况。
技术资料暂无技术资料 索取技术资料
巴豆苷、异鸟苷1818-71-9
询价










