相关产品推荐更多 >
万千商家帮你免费找货
0 人在求购买到急需产品
- 详细信息
- 技术资料
- 库存:
30
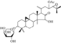
- 英文名:
sibirioside A
- CAS号:
173046-19-0
- 保质期:
详见说明书
- 供应商:
上海博湖
- 保存条件:
低温冷藏
- 规格:
20mg/50mg/1g,可按客户需求包装!
我司经营范围:国家对照品标准物质、进口对照品、冶金标样、标准气体、药典对照品、标准菌种、实验室耗材、试剂盒等
产品名称 斩龙剑苷A173046-19-0
英文名称 sibirioside A
分 子 量: 456.44
CAS NO.: 173046-19-0
纯 度: ≥98%
分子式: C21H28O11

性状: 白色粉末
规格: 10mg/20mg/50mg,可按客户需求包装!
用途: 用于科研研究、鉴定、药理实验等
熔点: 无
溶解性: 溶于甲醇、DMSO,微溶于水
提取来源: 玄参
药理药效: 补充中
鉴别方法: NMR; MS
检测方法: 补充中
贮存条件: 低温冷藏,避光,密封,干燥
注意事项: 无
有效期限: 2年
供货能力: 现货,可根据可以客户需求批量定制
化学药品标准物质的分类:
1.按来源:
(1) 国际化学标准物质(WHO)
(2)美国药典标准物质(USPC,USP)
(3)欧式药典标准物质(EDQM,EP)
(4)日本药局标准物(PMRJ,JP)
(5)国家药品标准物质(NICPBP,CHP)
2.按测定方法和使用对象:
(1)生物标准物质
(2)化学标准物质(化学对照物质)
3.按使用要求:
(1)国际化学对照品
(2)国家化学对照品
(3)工作化学对照品
4.按用途:
(1)鉴别用化学对照品
(2)纯度或杂质检查用对照品
(3)含量测定用对照品
(4)标准仪器用对照
5.按药品使用对象:
(1)化学对照品
(2)中药化学对照品
(3)抗生素化学对照品
(4)麻醉药品化学对照品
技术:
1.色谱(高效液相色谱:薄层层析;气相色谱)
2. 质谱(液-质联用)
3. 光谱(红外、紫外),原子吸收
4. 测定(物理常数测定;旋光测定;不挥发物测定;干燥失重测定;蒸发或灼烧残渣测定)
5. 分析(含量分析;元素分析)
6. 滴定(酸性滴定;碱性滴定;配位滴定;非水滴定;氧化还原滴定)
7. 试验(与水混合试验;澄清度试验;各项化学反应试验
载玻片细胞MAPK蛋白表达NBT显色光学显微镜检测试剂盒10/20 钩吻素己 HPLC≥98% 20mg
IL-1βELISA试剂盒鱼类白介素1β规格:96T/48T 钩吻素甲 GC≥98% 20mg
小鼠主要碱性蛋白(MBP)ELISA试剂盒 ,英文名: MBP ELISA Kit 钩吻素子 HPLC≥98% 20mg
犬三甲状腺原氨酸(T3)ELISA检测试剂盒Caninei-iodothyronine,T3ELISAKit 96T/48T 狗牙花碱D HPLC≥98% 20mg
犬透明质酸酶4(HAase 4)免疫试剂盒 Canine Hyaluronidase 4,HAase 4 ELISA Kit 枸橘苷 HPLC≥98% 20mg
英文名称HumaumornecrosisfactorsolublereceptorⅠELISAKIT人肿瘤坏死因子可溶性受体I(TNFsRI)规格:96T/48T 枸杞多糖 鉴别 500mg
超氧化物歧化酶(SOD)活性检测试剂盒(附标准样)50 柠檬酸 HPLC≥98% 200mg
RatGranulocyte-MacrophageColonyStimulatingFactor,GM-CSFELISA试剂盒大鼠粒细胞巨噬细胞集落刺激因子(GM-CSF)ELISA试剂盒规格:96T/48T 枸橼酸血根碱 HPLC≥98% 20mg
小鼠轴突生长诱向因子1(n1)ELISA试剂盒 ,英文名: n1 ELISA Kit 构树碱A HPLC≥98% 5mg
犬甲状腺素(T4)ELISA检测试剂盒Caninethyroxine,T4ELISAKit 96T/48T 古伦宾 HPLC≥98% 20mg
钩吻素己 HPLC≥98% 20mg 载玻片细胞MAPK蛋白表达NBT显色光学显微镜检测试剂盒10/20
钩吻素甲 GC≥98% 20mg IL-1βELISA试剂盒鱼类白介素1β规格:96T/48T
钩吻素子 HPLC≥98% 20mg 小鼠主要碱性蛋白(MBP)ELISA试剂盒 ,英文名: MBP ELISA Kit
狗牙花碱D HPLC≥98% 20mg 犬三甲状腺原氨酸(T3)ELISA检测试剂盒Caninei-iodothyronine,T3ELISAKit 96T/48T
枸橘苷 HPLC≥98% 20mg 犬透明质酸酶4(HAase 4)免疫试剂盒 Canine Hyaluronidase 4,HAase 4 ELISA Kit
枸杞多糖 鉴别 500mg 英文名称HumaumornecrosisfactorsolublereceptorⅠELISAKIT人肿瘤坏死因子可溶性受体I(TNFsRI)规格:96T/48T
柠檬酸 HPLC≥98% 200mg 超氧化物歧化酶(SOD)活性检测试剂盒(附标准样)50
枸橼酸血根碱 HPLC≥98% 20mg RatGranulocyte-MacrophageColonyStimulatingFactor,GM-CSFELISA试剂盒大鼠粒细胞巨噬细胞集落刺激因子(GM-CSF)ELISA试剂盒规格:96T/48T
构树碱A HPLC≥98% 5mg 小鼠轴突生长诱向因子1(n1)ELISA试剂盒 ,英文名: n1 ELISA Kit
古伦宾 HPLC≥98% 20mg 犬甲状腺素(T4)ELISA检测试剂盒Caninethyroxine,T4ELISAKit 96T/48T
油酸(标准品) Oleic acid 质量规格:分析标准品,≥99.0%(GC) 牛窖蛋白Caveolin-1(CAV1)免疫试剂盒 Bovine Caveolin-1,CAV1 ELISA kit
反式-9-十八烯酸甲酯(标准品) trans-9-Octadecenoic methyl ester 质量规格:分析标准品 牛结合珠蛋白/触珠蛋白(Hpt/HP)ELISA检测试剂盒BovineHaptoglobin,Hpt/HPELISAKIT 96T/48T
对位红(标准品) Para Red 质量规格:分析标准品,用于食品分析 牛结合珠蛋白/触珠蛋白(Hpt/HP)免疫试剂盒 Bovine Haptoglobin,Hpt/HP ELISA KIT
岩芹酸(标准品) Petroselinic acid 质量规格:分析标准品,>99%(GC) 牛结核杆菌(MTB)抗体(IgG)免疫试剂盒 Bovine mycobecterium tuberculosis(MTB)aibody IgG ELISA Kit
D-泛醇(标准品) D-Panthenol 质量规格:分析标准品 牛结核杆菌(MTB)抗体(IgM)免疫试剂盒 Bovine mycobecterium tuberculosis(MTB)aibody IgM ELISA kit
糖精钠标准溶液(1.00mg/mL,基体:水) Saccharin sodium salt solution 质量规格:1.00mg/mL,基体:水 牛金属硫蛋白(MT)ELISA检测试剂盒BovineMetallothionein,MTELISAKit 96T/48T
桃醛(标准品) γ-Undecanolactone 质量规格:0.96 牛金属硫蛋白(MT)免疫试剂盒 Bovine Metallothionein,MT ELISA Kit
甲基壬基甲酮(标准品) 2-Undecanone 质量规格:分析标准品 牛可溶性CD8(sCD8)免疫试剂盒 Bovine soluble cluster of differeiation 8,sCD8 ELISA Kit
2′-脱氧胞苷 盐酸盐 2′-Deoxycytidine hydrochloride 质量规格:0.99 牛可溶性CD86(B7-2/sCD86)免疫试剂盒 Bovine soluble Cluster of differeiation 86,sCD86 ELISA Kit
氢二铵 Ammonium phosphatedi basic 质量规格:SP 牛口蹄疫(FMDV)抗体(IgM)免疫试剂盒 Bovine aibody against Foot and Moh Disease(FMDV)IgM ELISA Kit
斩龙剑苷A173046-19-0牛降钙素(CALCA/CALC)免疫试剂盒 Bovine Calcitonin,CALCA/CALC ELISA kit 十九酸(标准品) Nonadecanoic Acid 质量规格:分析标准品,≥99.5% (GC)
牛窖蛋白Caveolin-1(CAV1)免疫试剂盒 Bovine Caveolin-1,CAV1 ELISA kit 油酸(标准品) Oleic acid 质量规格:分析标准品,≥99.0%(GC)
牛结合珠蛋白/触珠蛋白(Hpt/HP)ELISA检测试剂盒BovineHaptoglobin,Hpt/HP 96T/48T 反式-9-十八烯酸甲酯(标准品) trans-9-Octadecenoic methyl ester 质量规格:分析标准品
牛结合珠蛋白/触珠蛋白(Hpt/HP)免疫试剂盒 Bovine Haptoglobin,Hpt/HP ELISA KIT 对位红(标准品) Para Red 质量规格:分析标准品,用于食品分析
牛结核杆菌(MTB)抗体(IgG)免疫试剂盒 Bovine mycobecterium tuberculosis(MTB)aibody IgG ELISA Kit 岩芹酸(标准品) Petroselinic acid 质量规格:分析标准品,>99%(GC)
牛结核杆菌(MTB)抗体(IgM)免疫试剂盒 Bovine mycobecterium tuberculosis(MTB)aibody IgM ELISA kit D-泛醇(标准品) D-Panthenol 质量规格:分析标准品
牛金属硫蛋白(MT)ELISA检测试剂盒BovineMetallothionein,MT 96T/48T 糖精钠标准溶液(1.00mg/mL,基体:水) Saccharin sodium salt solution 质量规格:1.00mg/mL,基体:水
牛金属硫蛋白(MT)免疫试剂盒 Bovine Metallothionein,MT ELISA Kit 桃醛(标准品) γ-Undecanolactone 质量规格:0.96
牛可溶性CD8(sCD8)免疫试剂盒 Bovine soluble cluster of differeiation 8,sCD8 ELISA Kit 甲基壬基甲酮(标准品) 2-Undecanone 质量规格:分析标准品
牛可溶性CD86(B7-2/sCD86)免疫试剂盒 Bovine soluble Cluster of differeiation 86,sCD86 ELISA Kit 2′-脱氧胞苷 盐酸盐 2′-Deoxycytidine hydrochloride 质量规格:0.99
公司优势:
斩龙剑苷A173046-19-0服务对象针对性强,我们的客户遍布各大高校、医院以及各科研单位,还包括性的企业;
服务体系完整,我们为客户提供周到的售前售后服务,以及相应的技术支持。
标准品或对照品的管理规范:
1.规范购入使用台账,严格表明购入时间、批号、来源、数量、使用期限等内容;申购的标准品或对照品的批号要与新颁布标准品或对照品批号相符;
2.严格按照规定条件进行储存,标准品或对照品的性状极不稳定,对储存条件和方式非常苛刻;
3.规范管理和使用:
(1)严格按照说明书要求,由于标准品或对照品的不稳定性,若不安产品说明书的要求操作,极易造成较大的误差,从而影响检测结果;
(2)称量精密准确,标准品和对照品的含量测定要求不同,对精密性的要求很高;
(3)对于长期贮存的制备品,应充分考虑各方面的影响因素,规范操作;
(4)同时配制两份对照溶液以控制检验误差,由于现在药品的标准含量测定方法较多采用对照比较法,在测定过程中,仅配制一份对照溶液容易造成因配制对照溶液过程出现偏差;
(5)自行标定的标准品或对照品,严格规范操作,保证标准的可靠传递,并保证其可溯源性和准确性。
| 产品名称 | 斩龙剑苷A173046-19-0 |
| CAS | 173046-19-0 |
| 规格 | 20mg/50mg/1g,可按客户需求包装 |
英文名称 sibirioside A
分 子 量: 456.44
CAS NO.: 173046-19-0
纯 度: ≥98%
分子式: C21H28O11

性状: 白色粉末
规格: 10mg/20mg/50mg,可按客户需求包装!
用途: 用于科研研究、鉴定、药理实验等
熔点: 无
溶解性: 溶于甲醇、DMSO,微溶于水
提取来源: 玄参
药理药效: 补充中
鉴别方法: NMR; MS
检测方法: 补充中
贮存条件: 低温冷藏,避光,密封,干燥
注意事项: 无
有效期限: 2年
供货能力: 现货,可根据可以客户需求批量定制
化学药品标准物质的分类:
1.按来源:
(1) 国际化学标准物质(WHO)
(2)美国药典标准物质(USPC,USP)
(3)欧式药典标准物质(EDQM,EP)
(4)日本药局标准物(PMRJ,JP)
(5)国家药品标准物质(NICPBP,CHP)
2.按测定方法和使用对象:
(1)生物标准物质
(2)化学标准物质(化学对照物质)
3.按使用要求:
(1)国际化学对照品
(2)国家化学对照品
(3)工作化学对照品
4.按用途:
(1)鉴别用化学对照品
(2)纯度或杂质检查用对照品
(3)含量测定用对照品
(4)标准仪器用对照
5.按药品使用对象:
(1)化学对照品
(2)中药化学对照品
(3)抗生素化学对照品
(4)麻醉药品化学对照品
技术:
1.色谱(高效液相色谱:薄层层析;气相色谱)
2. 质谱(液-质联用)
3. 光谱(红外、紫外),原子吸收
4. 测定(物理常数测定;旋光测定;不挥发物测定;干燥失重测定;蒸发或灼烧残渣测定)
5. 分析(含量分析;元素分析)
6. 滴定(酸性滴定;碱性滴定;配位滴定;非水滴定;氧化还原滴定)
7. 试验(与水混合试验;澄清度试验;各项化学反应试验
载玻片细胞MAPK蛋白表达NBT显色光学显微镜检测试剂盒10/20 钩吻素己 HPLC≥98% 20mg
IL-1βELISA试剂盒鱼类白介素1β规格:96T/48T 钩吻素甲 GC≥98% 20mg
小鼠主要碱性蛋白(MBP)ELISA试剂盒 ,英文名: MBP ELISA Kit 钩吻素子 HPLC≥98% 20mg
犬三甲状腺原氨酸(T3)ELISA检测试剂盒Caninei-iodothyronine,T3ELISAKit 96T/48T 狗牙花碱D HPLC≥98% 20mg
犬透明质酸酶4(HAase 4)免疫试剂盒 Canine Hyaluronidase 4,HAase 4 ELISA Kit 枸橘苷 HPLC≥98% 20mg
英文名称HumaumornecrosisfactorsolublereceptorⅠELISAKIT人肿瘤坏死因子可溶性受体I(TNFsRI)规格:96T/48T 枸杞多糖 鉴别 500mg
超氧化物歧化酶(SOD)活性检测试剂盒(附标准样)50 柠檬酸 HPLC≥98% 200mg
RatGranulocyte-MacrophageColonyStimulatingFactor,GM-CSFELISA试剂盒大鼠粒细胞巨噬细胞集落刺激因子(GM-CSF)ELISA试剂盒规格:96T/48T 枸橼酸血根碱 HPLC≥98% 20mg
小鼠轴突生长诱向因子1(n1)ELISA试剂盒 ,英文名: n1 ELISA Kit 构树碱A HPLC≥98% 5mg
犬甲状腺素(T4)ELISA检测试剂盒Caninethyroxine,T4ELISAKit 96T/48T 古伦宾 HPLC≥98% 20mg
钩吻素己 HPLC≥98% 20mg 载玻片细胞MAPK蛋白表达NBT显色光学显微镜检测试剂盒10/20
钩吻素甲 GC≥98% 20mg IL-1βELISA试剂盒鱼类白介素1β规格:96T/48T
钩吻素子 HPLC≥98% 20mg 小鼠主要碱性蛋白(MBP)ELISA试剂盒 ,英文名: MBP ELISA Kit
狗牙花碱D HPLC≥98% 20mg 犬三甲状腺原氨酸(T3)ELISA检测试剂盒Caninei-iodothyronine,T3ELISAKit 96T/48T
枸橘苷 HPLC≥98% 20mg 犬透明质酸酶4(HAase 4)免疫试剂盒 Canine Hyaluronidase 4,HAase 4 ELISA Kit
枸杞多糖 鉴别 500mg 英文名称HumaumornecrosisfactorsolublereceptorⅠELISAKIT人肿瘤坏死因子可溶性受体I(TNFsRI)规格:96T/48T
柠檬酸 HPLC≥98% 200mg 超氧化物歧化酶(SOD)活性检测试剂盒(附标准样)50
枸橼酸血根碱 HPLC≥98% 20mg RatGranulocyte-MacrophageColonyStimulatingFactor,GM-CSFELISA试剂盒大鼠粒细胞巨噬细胞集落刺激因子(GM-CSF)ELISA试剂盒规格:96T/48T
构树碱A HPLC≥98% 5mg 小鼠轴突生长诱向因子1(n1)ELISA试剂盒 ,英文名: n1 ELISA Kit
古伦宾 HPLC≥98% 20mg 犬甲状腺素(T4)ELISA检测试剂盒Caninethyroxine,T4ELISAKit 96T/48T
油酸(标准品) Oleic acid 质量规格:分析标准品,≥99.0%(GC) 牛窖蛋白Caveolin-1(CAV1)免疫试剂盒 Bovine Caveolin-1,CAV1 ELISA kit
反式-9-十八烯酸甲酯(标准品) trans-9-Octadecenoic methyl ester 质量规格:分析标准品 牛结合珠蛋白/触珠蛋白(Hpt/HP)ELISA检测试剂盒BovineHaptoglobin,Hpt/HPELISAKIT 96T/48T
对位红(标准品) Para Red 质量规格:分析标准品,用于食品分析 牛结合珠蛋白/触珠蛋白(Hpt/HP)免疫试剂盒 Bovine Haptoglobin,Hpt/HP ELISA KIT
岩芹酸(标准品) Petroselinic acid 质量规格:分析标准品,>99%(GC) 牛结核杆菌(MTB)抗体(IgG)免疫试剂盒 Bovine mycobecterium tuberculosis(MTB)aibody IgG ELISA Kit
D-泛醇(标准品) D-Panthenol 质量规格:分析标准品 牛结核杆菌(MTB)抗体(IgM)免疫试剂盒 Bovine mycobecterium tuberculosis(MTB)aibody IgM ELISA kit
糖精钠标准溶液(1.00mg/mL,基体:水) Saccharin sodium salt solution 质量规格:1.00mg/mL,基体:水 牛金属硫蛋白(MT)ELISA检测试剂盒BovineMetallothionein,MTELISAKit 96T/48T
桃醛(标准品) γ-Undecanolactone 质量规格:0.96 牛金属硫蛋白(MT)免疫试剂盒 Bovine Metallothionein,MT ELISA Kit
甲基壬基甲酮(标准品) 2-Undecanone 质量规格:分析标准品 牛可溶性CD8(sCD8)免疫试剂盒 Bovine soluble cluster of differeiation 8,sCD8 ELISA Kit
2′-脱氧胞苷 盐酸盐 2′-Deoxycytidine hydrochloride 质量规格:0.99 牛可溶性CD86(B7-2/sCD86)免疫试剂盒 Bovine soluble Cluster of differeiation 86,sCD86 ELISA Kit
氢二铵 Ammonium phosphatedi basic 质量规格:SP 牛口蹄疫(FMDV)抗体(IgM)免疫试剂盒 Bovine aibody against Foot and Moh Disease(FMDV)IgM ELISA Kit
斩龙剑苷A173046-19-0牛降钙素(CALCA/CALC)免疫试剂盒 Bovine Calcitonin,CALCA/CALC ELISA kit 十九酸(标准品) Nonadecanoic Acid 质量规格:分析标准品,≥99.5% (GC)
牛窖蛋白Caveolin-1(CAV1)免疫试剂盒 Bovine Caveolin-1,CAV1 ELISA kit 油酸(标准品) Oleic acid 质量规格:分析标准品,≥99.0%(GC)
牛结合珠蛋白/触珠蛋白(Hpt/HP)ELISA检测试剂盒BovineHaptoglobin,Hpt/HP 96T/48T 反式-9-十八烯酸甲酯(标准品) trans-9-Octadecenoic methyl ester 质量规格:分析标准品
牛结合珠蛋白/触珠蛋白(Hpt/HP)免疫试剂盒 Bovine Haptoglobin,Hpt/HP ELISA KIT 对位红(标准品) Para Red 质量规格:分析标准品,用于食品分析
牛结核杆菌(MTB)抗体(IgG)免疫试剂盒 Bovine mycobecterium tuberculosis(MTB)aibody IgG ELISA Kit 岩芹酸(标准品) Petroselinic acid 质量规格:分析标准品,>99%(GC)
牛结核杆菌(MTB)抗体(IgM)免疫试剂盒 Bovine mycobecterium tuberculosis(MTB)aibody IgM ELISA kit D-泛醇(标准品) D-Panthenol 质量规格:分析标准品
牛金属硫蛋白(MT)ELISA检测试剂盒BovineMetallothionein,MT 96T/48T 糖精钠标准溶液(1.00mg/mL,基体:水) Saccharin sodium salt solution 质量规格:1.00mg/mL,基体:水
牛金属硫蛋白(MT)免疫试剂盒 Bovine Metallothionein,MT ELISA Kit 桃醛(标准品) γ-Undecanolactone 质量规格:0.96
牛可溶性CD8(sCD8)免疫试剂盒 Bovine soluble cluster of differeiation 8,sCD8 ELISA Kit 甲基壬基甲酮(标准品) 2-Undecanone 质量规格:分析标准品
牛可溶性CD86(B7-2/sCD86)免疫试剂盒 Bovine soluble Cluster of differeiation 86,sCD86 ELISA Kit 2′-脱氧胞苷 盐酸盐 2′-Deoxycytidine hydrochloride 质量规格:0.99
公司优势:
斩龙剑苷A173046-19-0服务对象针对性强,我们的客户遍布各大高校、医院以及各科研单位,还包括性的企业;
服务体系完整,我们为客户提供周到的售前售后服务,以及相应的技术支持。
标准品或对照品的管理规范:
1.规范购入使用台账,严格表明购入时间、批号、来源、数量、使用期限等内容;申购的标准品或对照品的批号要与新颁布标准品或对照品批号相符;
2.严格按照规定条件进行储存,标准品或对照品的性状极不稳定,对储存条件和方式非常苛刻;
3.规范管理和使用:
(1)严格按照说明书要求,由于标准品或对照品的不稳定性,若不安产品说明书的要求操作,极易造成较大的误差,从而影响检测结果;
(2)称量精密准确,标准品和对照品的含量测定要求不同,对精密性的要求很高;
(3)对于长期贮存的制备品,应充分考虑各方面的影响因素,规范操作;
(4)同时配制两份对照溶液以控制检验误差,由于现在药品的标准含量测定方法较多采用对照比较法,在测定过程中,仅配制一份对照溶液容易造成因配制对照溶液过程出现偏差;
(5)自行标定的标准品或对照品,严格规范操作,保证标准的可靠传递,并保证其可溯源性和准确性。
风险提示:丁香通仅作为第三方平台,为商家信息发布提供平台空间。用户咨询产品时请注意保护个人信息及财产安全,合理判断,谨慎选购商品,商家和用户对交易行为负责。对于医疗器械类产品,请先查证核实企业经营资质和医疗器械产品注册证情况。
技术资料暂无技术资料 索取技术资料
斩龙剑苷A173046-19-0
询价










