万千商家帮你免费找货
0 人在求购买到急需产品
- 详细信息
- 技术资料
- 库存:
33
- 英文名:
Isoimperatorin
- CAS号:
482-45-1
- 保质期:
详见说明书
- 供应商:
上海博湖
- 保存条件:
低温冷藏
- 规格:
20mg/50mg/1g,可按客户需求包装!
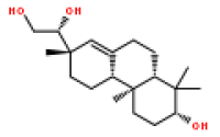
产品名称 异欧前胡素482-45-1
英文名称 Isoimperatorin
分 子 量: 270.28
CAS NO.: 482-45-1
纯 度: ≥98%
分子式: C16H14O4

性状: 白色结晶粉末
规格: 20mg/50mg/1g,可按客户需求包装!
用途: 用于科研研究、鉴定、药理实验等
熔点:
溶解性: 可溶于甲醇、乙醇、DMSO等有机溶剂;
提取来源: 羌活、芸香科植物芸香(RutagraveolensL.)的全草中、白芷根茎,欧前胡,日本当归果实,聚伞翼种子
药理药效: 异欧前胡素具有降压的作用
鉴别方法: NMR;Ms
检测方法: RP-HPLC::水(44:56) λ:310nm(仅供参考)或:0.2%磷酸水=65:35波长:250nm
贮存条件: 低温冷藏,避光,密封,干燥
注意事项:
有效期限: 2年
供货能力: 现货,可根据可以客户需求批量定制
分析纯(AR,红标签): 主成分含量很高、纯度较高,干扰杂质很低,适用于工业分析及化学实验。
化学纯(CP,蓝标签): 主成分含量高、纯度较高,存在干扰杂质,适用于化学实验和合成制备。
色谱纯(GC):气相色谱分析专用。 质量指标注重干扰气相色谱峰的杂质。主成分含量高。
光谱纯(SP):用于光谱分析。 分别适用于分光光度计标准品、原子吸收光谱标准品、原子发射光谱标准品
电子纯(MOS):适用于电子产品中,电性杂质含量极低。 当量试剂(3N、4N、5N):主成分含量分别为99.9%、99.99%、99.999%以上。
我司提供以下服务:
1.中药提取物的定制和,中药提取物代加工相关服务。
2.中药高含量提取物的工业化高效分离及分离纯化
3.天然产物原料药和中间体的,定制(包括合成,半合成)
异欧前胡素482-45-1标准品、对照品的问题:
(一)来源:
依照有关规定,中国用于药品成品检验的标准品(对照品)来源有:一是中国药品生物制品检定所提供的标准品(对照品);二是其他国家的标准品(对照品);三是省级以上药品检验所标定,并经同级食 品药品监管局批准的标准品(对照品)。
(二)有效期和使用说明书:
中国药品生物制品检定所提供的标准品(对照品)大部分均无使用说明书和使用期限,大都沿用新的批号出现、旧的批号自动停止的管理方式。
(三)使用过程:
工作标准品(对照品)虽经有关部门认可,但要求有标化日期、复标日期、贮存条件、使用等相关文件规定,并做好相应记录。
(四)验证问题:
按标准品(对照品)管理要求,使用前应对其进行验证,确认无误后方可使用。
(五)开封问题:
对已开封的标准品(对照品)管理方面的问题应做严格的规定,不应同未开封的标准品(对照品)放在一起继续使用,包装上应做好相关标识,说明是否已开封过、何时开封的,内含多少量等相关信息。
订购须知:
1.优势:高效稳定的专业纯化技术,完善的库存及供应体系,高效的销售团队。
2.包装规格:常规包装,如有特殊需求,我们根据客户要求包装。
3.运输方式:默认顺丰快递。
4.质量保证:严格的质量控制,通过全面的检测,是产品质量保证的基础。如有异议经我司确认可无条件退换货。
小鼠0酸化蛋白激酶C(P-PKC)ELISA检测试剂盒MousephosphoProteinKinaseC,P-PKCELISAKit 96T/48T 菜豆素 HPLC≥98% 5mg
人肌肉骨骼受体酪氨酸激酶抗体(MUSK Ab)免疫试剂盒 Human MUSK Ab ELISA Kit 苍山香茶菜素 HPLC≥98% 5mg
RatclusterOfdiffereiation,CD44ELISAKit大鼠CD44分子(CD44)ELISA试剂盒规格:96T/48T 长春碱衍生物 HPLC≥98% 5mg
10倍酵母菌SD-LEU培养基100毫升 长管贝壳杉素 E HPLC≥98% 5mg
MouseCollageypeⅠ,ColⅠELISA试剂盒小鼠Ⅰ型胶原(ColⅠ)ELISA试剂盒规格:96T/48T 长管假茉莉素D HPLC≥98% 5mg
小鼠血管内皮细胞生长因子受体3(VEGFR-3/Flt-4)ELISA试剂盒 ,英文名: VEGFR-3/Flt-4 ELISA Kit 长管假茉莉素E HPLC≥98% 5mg
小鼠胶原酶I(CollagenaseI)ELISA检测试剂盒MouseCollagenaseIELISAKit 96T/48T 长寿花糖甙 HPLC≥98% 5mg
人肌球蛋白轻链激酶(MLCK)免疫试剂盒 Human myosin light chain kinase,MLCK ELISA Kit 柽柳黄素 HPLC≥98% 5mg
RatClusterin,CLUELISAKit大鼠凝聚素(CLU)ELISA试剂盒规格:96T/48T 橙黄胡椒酰胺乙酸酯 HPLC≥98% 5mg
10倍酵母菌SD-P/URA培养基100毫升 橙皮内酯水合物 HPLC≥98% 5mg
苍山香茶菜素 HPLC≥98% 5mg 人肌肉骨骼受体酪氨酸激酶抗体(MUSK Ab)免疫试剂盒 Human MUSK Ab ELISA Kit
长春碱衍生物 HPLC≥98% 5mg RatclusterOfdiffereiation,CD44ELISAKit大鼠CD44分子(CD44)ELISA试剂盒规格:96T/48T
长管贝壳杉素 E HPLC≥98% 5mg 10倍酵母菌SD-LEU培养基100毫升
长管假茉莉素D HPLC≥98% 5mg MouseCollageypeⅠ,ColⅠELISA试剂盒小鼠Ⅰ型胶原(ColⅠ)ELISA试剂盒规格:96T/48T
长管假茉莉素E HPLC≥98% 5mg 小鼠血管内皮细胞生长因子受体3(VEGFR-3/Flt-4)ELISA试剂盒 ,英文名: VEGFR-3/Flt-4 ELISA Kit
长寿花糖甙 HPLC≥98% 5mg 小鼠胶原酶I(CollagenaseI)ELISA检测试剂盒MouseCollagenaseIELISAKit 96T/48T
柽柳黄素 HPLC≥98% 5mg 人肌球蛋白轻链激酶(MLCK)免疫试剂盒 Human myosin light chain kinase,MLCK ELISA Kit
橙黄胡椒酰胺乙酸酯 HPLC≥98% 5mg RatClusterin,CLUELISAKit大鼠凝聚素(CLU)ELISA试剂盒规格:96T/48T
橙皮内酯水合物 HPLC≥98% 5mg 10倍酵母菌SD-P/URA培养基100毫升
赤麻木脂素 HPLC≥98% 5mg MouseCollageypeⅡ,ColⅡELISA试剂盒小鼠Ⅱ型胶原(ColⅡ)ELISA试剂盒规格:96T/48T
外消旋心得安-d7 rac Propranolol-d7 质量规格:美国进口 英文名称RatVWFELISAKit大鼠血管性血友病因子(VWF)规格:96T/48T
5-羟基盐酸心得安 5-Hydroxy Propranolol Hydrochloride 质量规格:美国进口 英文名称Ratβ-HCGELISAKit大鼠绒毛膜促性腺激素β(β-HCG)规格:96T/48T
(R)-4-羟基盐酸心得安 (R)-4-Hydroxy Propranolol Hydrochloride 质量规格:美国进口 英文名称Ratβ-HCGELISAKit大鼠绒毛膜促性腺激素β(β-HCG)规格:96T/48T
(S)-4-羟基盐酸心得安 (S)-4-Hydroxy Propranolol Hydrochloride 质量规格:美国进口 英文名称RvatPhospholipidaseA2elisakit大鼠0脂酶A2(sPLA2)规格:96T/48T
(+/-)-4-羟基盐酸心得安 (+/-)-4-Hydroxy Propranolol Hydrochloride 质量规格:美国进口 英文名称RvatPhospholipidaseA2elisakit大鼠0脂酶A2(sPLA2)规格:96T/48T
(+/-)-4'-羟基硫酸心得安 (+/-)-4'-Hydroxy Propranolol Sulfate 质量规格:美国进口 英文名称TGF-β1转移生长因子-β1规格:96T/48T
4-羟基心得安β-D-葡萄糖苷酸 4-Hydroxy Propranolol β-D-Glucuronide 质量规格:美国进口 英文名称ThromboxaneB2人血栓素(TXB2)规格:96T/48T
S(-)-盐酸心得安 S(-)-Propranolol • HCl 质量规格:美国进口 英文名称TIMP-1金属蛋白酶组织抑制因子-1规格:96T/48T
雷洛昔芬-d4 Raloxifene-d4 质量规格:美国进口 英文名称谷氨酸脱羧酶抗体规格:96T/48T
雷洛昔芬6-葡萄糖苷酸 Raloxifene 6-Glucuronide 质量规格:美国进口 英文名称核糖体、P抗体、IgG/M/A规格:96T/48T
异欧前胡素482-45-1英文名称RatVitaminB6大鼠维生素B6(VB6)规格:96T/48T (R)-(+)-盐酸心得安 (R)-(+)-Propranolol hydrochloride 质量规格:美国进口
英文名称RatVitaminC大鼠维生素C(VC)规格:96T/48T 外消旋心得安β-D-葡萄糖苷酸钠盐 rac Propranolol β-D-Glucuronide Sodium Salt 质量规格:美国进口
英文名称RatVWF大鼠血管性血友病因子(VWF)规格:96T/48T 外消旋7-羟基心得安 rac 7-Hydroxy Propranolol 质量规格:美国进口
英文名称RatVWF大鼠血管性血友病因子(VWF)规格:96T/48T 外消旋心得安-d7 rac Propranolol-d7 质量规格:美国进口
英文名称Ratβ-HCG大鼠绒毛膜促性腺激素β(β-HCG)规格:96T/48T 5-羟基盐酸心得安 5-Hydroxy Propranolol Hydrochloride 质量规格:美国进口
英文名称Ratβ-HCG大鼠绒毛膜促性腺激素β(β-HCG)规格:96T/48T (R)-4-羟基盐酸心得安 (R)-4-Hydroxy Propranolol Hydrochloride 质量规格:美国进口
英文名称RvatPhospholipidaseA2大鼠0脂酶A2(sPLA2)规格:96T/48T (S)-4-羟基盐酸心得安 (S)-4-Hydroxy Propranolol Hydrochloride 质量规格:美国进口
英文名称RvatPhospholipidaseA2大鼠0脂酶A2(sPLA2)规格:96T/48T (+/-)-4-羟基盐酸心得安 (+/-)-4-Hydroxy Propranolol Hydrochloride 质量规格:美国进口
英文名称TGF-β1转移生长因子-β1规格:96T/48T (+/-)-4'-羟基硫酸心得安 (+/-)-4'-Hydroxy Propranolol Sulfate 质量规格:美国进口
英文名称ThromboxaneB2人血栓素(TXB2)规格:96T/48T 4-羟基心得安β-D-葡萄糖苷酸 4-Hydroxy Propranolol β-D-Glucuronide 质量规格:美国进口
英文名称 Isoimperatorin
分 子 量: 270.28
CAS NO.: 482-45-1
纯 度: ≥98%
分子式: C16H14O4

性状: 白色结晶粉末
规格: 20mg/50mg/1g,可按客户需求包装!
用途: 用于科研研究、鉴定、药理实验等
熔点:
溶解性: 可溶于甲醇、乙醇、DMSO等有机溶剂;
提取来源: 羌活、芸香科植物芸香(RutagraveolensL.)的全草中、白芷根茎,欧前胡,日本当归果实,聚伞翼种子
药理药效: 异欧前胡素具有降压的作用
鉴别方法: NMR;Ms
检测方法: RP-HPLC::水(44:56) λ:310nm(仅供参考)或:0.2%磷酸水=65:35波长:250nm
贮存条件: 低温冷藏,避光,密封,干燥
注意事项:
有效期限: 2年
供货能力: 现货,可根据可以客户需求批量定制
| 产品名称 | CAS | 规格 |
| 异欧前胡素482-45-1 | 482-45-1 | 可按客户需求包装 |
化学纯(CP,蓝标签): 主成分含量高、纯度较高,存在干扰杂质,适用于化学实验和合成制备。
色谱纯(GC):气相色谱分析专用。 质量指标注重干扰气相色谱峰的杂质。主成分含量高。
光谱纯(SP):用于光谱分析。 分别适用于分光光度计标准品、原子吸收光谱标准品、原子发射光谱标准品
电子纯(MOS):适用于电子产品中,电性杂质含量极低。 当量试剂(3N、4N、5N):主成分含量分别为99.9%、99.99%、99.999%以上。
我司提供以下服务:
1.中药提取物的定制和,中药提取物代加工相关服务。
2.中药高含量提取物的工业化高效分离及分离纯化
3.天然产物原料药和中间体的,定制(包括合成,半合成)
异欧前胡素482-45-1标准品、对照品的问题:
(一)来源:
依照有关规定,中国用于药品成品检验的标准品(对照品)来源有:一是中国药品生物制品检定所提供的标准品(对照品);二是其他国家的标准品(对照品);三是省级以上药品检验所标定,并经同级食 品药品监管局批准的标准品(对照品)。
(二)有效期和使用说明书:
中国药品生物制品检定所提供的标准品(对照品)大部分均无使用说明书和使用期限,大都沿用新的批号出现、旧的批号自动停止的管理方式。
(三)使用过程:
工作标准品(对照品)虽经有关部门认可,但要求有标化日期、复标日期、贮存条件、使用等相关文件规定,并做好相应记录。
(四)验证问题:
按标准品(对照品)管理要求,使用前应对其进行验证,确认无误后方可使用。
(五)开封问题:
对已开封的标准品(对照品)管理方面的问题应做严格的规定,不应同未开封的标准品(对照品)放在一起继续使用,包装上应做好相关标识,说明是否已开封过、何时开封的,内含多少量等相关信息。
订购须知:
1.优势:高效稳定的专业纯化技术,完善的库存及供应体系,高效的销售团队。
2.包装规格:常规包装,如有特殊需求,我们根据客户要求包装。
3.运输方式:默认顺丰快递。
4.质量保证:严格的质量控制,通过全面的检测,是产品质量保证的基础。如有异议经我司确认可无条件退换货。
小鼠0酸化蛋白激酶C(P-PKC)ELISA检测试剂盒MousephosphoProteinKinaseC,P-PKCELISAKit 96T/48T 菜豆素 HPLC≥98% 5mg
人肌肉骨骼受体酪氨酸激酶抗体(MUSK Ab)免疫试剂盒 Human MUSK Ab ELISA Kit 苍山香茶菜素 HPLC≥98% 5mg
RatclusterOfdiffereiation,CD44ELISAKit大鼠CD44分子(CD44)ELISA试剂盒规格:96T/48T 长春碱衍生物 HPLC≥98% 5mg
10倍酵母菌SD-LEU培养基100毫升 长管贝壳杉素 E HPLC≥98% 5mg
MouseCollageypeⅠ,ColⅠELISA试剂盒小鼠Ⅰ型胶原(ColⅠ)ELISA试剂盒规格:96T/48T 长管假茉莉素D HPLC≥98% 5mg
小鼠血管内皮细胞生长因子受体3(VEGFR-3/Flt-4)ELISA试剂盒 ,英文名: VEGFR-3/Flt-4 ELISA Kit 长管假茉莉素E HPLC≥98% 5mg
小鼠胶原酶I(CollagenaseI)ELISA检测试剂盒MouseCollagenaseIELISAKit 96T/48T 长寿花糖甙 HPLC≥98% 5mg
人肌球蛋白轻链激酶(MLCK)免疫试剂盒 Human myosin light chain kinase,MLCK ELISA Kit 柽柳黄素 HPLC≥98% 5mg
RatClusterin,CLUELISAKit大鼠凝聚素(CLU)ELISA试剂盒规格:96T/48T 橙黄胡椒酰胺乙酸酯 HPLC≥98% 5mg
10倍酵母菌SD-P/URA培养基100毫升 橙皮内酯水合物 HPLC≥98% 5mg
苍山香茶菜素 HPLC≥98% 5mg 人肌肉骨骼受体酪氨酸激酶抗体(MUSK Ab)免疫试剂盒 Human MUSK Ab ELISA Kit
长春碱衍生物 HPLC≥98% 5mg RatclusterOfdiffereiation,CD44ELISAKit大鼠CD44分子(CD44)ELISA试剂盒规格:96T/48T
长管贝壳杉素 E HPLC≥98% 5mg 10倍酵母菌SD-LEU培养基100毫升
长管假茉莉素D HPLC≥98% 5mg MouseCollageypeⅠ,ColⅠELISA试剂盒小鼠Ⅰ型胶原(ColⅠ)ELISA试剂盒规格:96T/48T
长管假茉莉素E HPLC≥98% 5mg 小鼠血管内皮细胞生长因子受体3(VEGFR-3/Flt-4)ELISA试剂盒 ,英文名: VEGFR-3/Flt-4 ELISA Kit
长寿花糖甙 HPLC≥98% 5mg 小鼠胶原酶I(CollagenaseI)ELISA检测试剂盒MouseCollagenaseIELISAKit 96T/48T
柽柳黄素 HPLC≥98% 5mg 人肌球蛋白轻链激酶(MLCK)免疫试剂盒 Human myosin light chain kinase,MLCK ELISA Kit
橙黄胡椒酰胺乙酸酯 HPLC≥98% 5mg RatClusterin,CLUELISAKit大鼠凝聚素(CLU)ELISA试剂盒规格:96T/48T
橙皮内酯水合物 HPLC≥98% 5mg 10倍酵母菌SD-P/URA培养基100毫升
赤麻木脂素 HPLC≥98% 5mg MouseCollageypeⅡ,ColⅡELISA试剂盒小鼠Ⅱ型胶原(ColⅡ)ELISA试剂盒规格:96T/48T
外消旋心得安-d7 rac Propranolol-d7 质量规格:美国进口 英文名称RatVWFELISAKit大鼠血管性血友病因子(VWF)规格:96T/48T
5-羟基盐酸心得安 5-Hydroxy Propranolol Hydrochloride 质量规格:美国进口 英文名称Ratβ-HCGELISAKit大鼠绒毛膜促性腺激素β(β-HCG)规格:96T/48T
(R)-4-羟基盐酸心得安 (R)-4-Hydroxy Propranolol Hydrochloride 质量规格:美国进口 英文名称Ratβ-HCGELISAKit大鼠绒毛膜促性腺激素β(β-HCG)规格:96T/48T
(S)-4-羟基盐酸心得安 (S)-4-Hydroxy Propranolol Hydrochloride 质量规格:美国进口 英文名称RvatPhospholipidaseA2elisakit大鼠0脂酶A2(sPLA2)规格:96T/48T
(+/-)-4-羟基盐酸心得安 (+/-)-4-Hydroxy Propranolol Hydrochloride 质量规格:美国进口 英文名称RvatPhospholipidaseA2elisakit大鼠0脂酶A2(sPLA2)规格:96T/48T
(+/-)-4'-羟基硫酸心得安 (+/-)-4'-Hydroxy Propranolol Sulfate 质量规格:美国进口 英文名称TGF-β1转移生长因子-β1规格:96T/48T
4-羟基心得安β-D-葡萄糖苷酸 4-Hydroxy Propranolol β-D-Glucuronide 质量规格:美国进口 英文名称ThromboxaneB2人血栓素(TXB2)规格:96T/48T
S(-)-盐酸心得安 S(-)-Propranolol • HCl 质量规格:美国进口 英文名称TIMP-1金属蛋白酶组织抑制因子-1规格:96T/48T
雷洛昔芬-d4 Raloxifene-d4 质量规格:美国进口 英文名称谷氨酸脱羧酶抗体规格:96T/48T
雷洛昔芬6-葡萄糖苷酸 Raloxifene 6-Glucuronide 质量规格:美国进口 英文名称核糖体、P抗体、IgG/M/A规格:96T/48T
异欧前胡素482-45-1英文名称RatVitaminB6大鼠维生素B6(VB6)规格:96T/48T (R)-(+)-盐酸心得安 (R)-(+)-Propranolol hydrochloride 质量规格:美国进口
英文名称RatVitaminC大鼠维生素C(VC)规格:96T/48T 外消旋心得安β-D-葡萄糖苷酸钠盐 rac Propranolol β-D-Glucuronide Sodium Salt 质量规格:美国进口
英文名称RatVWF大鼠血管性血友病因子(VWF)规格:96T/48T 外消旋7-羟基心得安 rac 7-Hydroxy Propranolol 质量规格:美国进口
英文名称RatVWF大鼠血管性血友病因子(VWF)规格:96T/48T 外消旋心得安-d7 rac Propranolol-d7 质量规格:美国进口
英文名称Ratβ-HCG大鼠绒毛膜促性腺激素β(β-HCG)规格:96T/48T 5-羟基盐酸心得安 5-Hydroxy Propranolol Hydrochloride 质量规格:美国进口
英文名称Ratβ-HCG大鼠绒毛膜促性腺激素β(β-HCG)规格:96T/48T (R)-4-羟基盐酸心得安 (R)-4-Hydroxy Propranolol Hydrochloride 质量规格:美国进口
英文名称RvatPhospholipidaseA2大鼠0脂酶A2(sPLA2)规格:96T/48T (S)-4-羟基盐酸心得安 (S)-4-Hydroxy Propranolol Hydrochloride 质量规格:美国进口
英文名称RvatPhospholipidaseA2大鼠0脂酶A2(sPLA2)规格:96T/48T (+/-)-4-羟基盐酸心得安 (+/-)-4-Hydroxy Propranolol Hydrochloride 质量规格:美国进口
英文名称TGF-β1转移生长因子-β1规格:96T/48T (+/-)-4'-羟基硫酸心得安 (+/-)-4'-Hydroxy Propranolol Sulfate 质量规格:美国进口
英文名称ThromboxaneB2人血栓素(TXB2)规格:96T/48T 4-羟基心得安β-D-葡萄糖苷酸 4-Hydroxy Propranolol β-D-Glucuronide 质量规格:美国进口
风险提示:丁香通仅作为第三方平台,为商家信息发布提供平台空间。用户咨询产品时请注意保护个人信息及财产安全,合理判断,谨慎选购商品,商家和用户对交易行为负责。对于医疗器械类产品,请先查证核实企业经营资质和医疗器械产品注册证情况。
技术资料暂无技术资料 索取技术资料
异欧前胡素482-45-1
询价









