相关产品推荐更多 >
万千商家帮你免费找货
0 人在求购买到急需产品
- 详细信息
- 技术资料
- 库存:
33
- 英文名:
Ziyuglycoside II
- CAS号:
35286-59-0
- 保质期:
详见说明书
- 供应商:
上海博湖
- 保存条件:
低温冷藏
- 规格:
20mg/50mg/1g,可按客户需求包装!
订购须知:
1.优势:高效稳定的专业纯化技术,完善的库存及供应体系,高效的销售团队。
2.包装规格:常规包装,如有特殊需求,我们根据客户要求包装。
3.运输方式:默认顺丰快递。
4.质量保证:严格的质量控制,通过全面的检测,是产品质量保证的基础。如有异议经我司确认可无条件退换货。
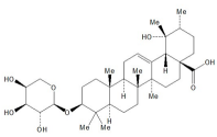
产品名称 地榆皂苷II、地榆苷Ⅱ35286-59-0
英文名称 Ziyuglycoside II
分 子 量: 604.81
CAS NO.: 35286-59-0
纯 度: ≥98%
分子式: C35H56O8

性状: 白色晶体
规格: 10mg/20mg/50mg,可按客户需求包装!
用途: 用于科研研究、鉴定、药理实验等
熔点: 260-263 ℃
溶解性: 可溶于甲醇、DMSO等溶剂,不溶于。
提取来源: 冬青科植物冬青(I. pubescens Hook. et Arn.)、地榆
药理药效: 地榆皂苷II具有收缩血管,止血,抗真菌的作用
鉴别方法: NMR; MS
检测方法: C1 8柱 ;流动相 :甲醇 水 (5 9∶4 1) ;流速 1 0mL•min- 1 ;检测器 :Sedex 5 5蒸发光散射检测器。
贮存条件: 低温冷藏,避光,密封,干燥
注意事项: 无
有效期限: 2年
供货能力: 现货,可根据可以客户需求批量定制
分析纯(AR,红标签): 主成分含量很高、纯度较高,干扰杂质很低,适用于工业分析及化学实验。
化学纯(CP,蓝标签): 主成分含量高、纯度较高,存在干扰杂质,适用于化学实验和合成制备。
色谱纯(GC):气相色谱分析专用。 质量指标注重干扰气相色谱峰的杂质。主成分含量高。
光谱纯(SP):用于光谱分析。 分别适用于分光光度计标准品、原子吸收光谱标准品、原子发射光谱标准品
电子纯(MOS):适用于电子产品中,电性杂质含量极低。 当量试剂(3N、4N、5N):主成分含量分别为99.9%、99.99%、99.999%以上。
我司提供以下服务:
1.中药提取物的定制和,中药提取物代加工相关服务。
2.中药高含量提取物的工业化高效分离及分离纯化
3.天然产物原料药和中间体的,定制(包括合成,半合成)
大鼠腺苷酸环化酶1(AC-1)免疫试剂盒 Rat adenylyl cyclase 1,AC-1 ELISA Kit 4-氨基安替比林 4-Aminoantipyrine 质量规格:AR,分析
英文名称RatSerumamyloidAELISAKit大鼠血清淀粉样蛋白A(SAA)规格:96T/48T N-代丁二(NBS) N-bromosuccinimide 质量规格:AR
寡核苷酸探针同位素法DNA斑点杂交完全试剂盒5 溶葡球菌酶,溶葡萄球菌酶 Lysostaphin 质量规格:BR,5000U/Pack
ELISAKitIGF-2R人胰岛素样生长因子2受体规格:48T/96T 百里香酚,麝香草酚 Thymol 质量规格:AR
小鼠激肽释放酶3(KLK3)ELISA试剂盒 ,英文名: KLK3 ELISA Kit Sulfo NHS;N-羟基硫代琥珀 sulfo-NHS 质量规格:>99%,BR
人亮氨酰氨基肽酶(LAP)ELISA检测试剂盒HumanLeucineaminopepridase,LAPELISAKit 96T/48T 亚甲兰,亚甲基蓝 Methylene Blue 质量规格:BS
大鼠腺苷受体A2a(ADORA2A)免疫试剂盒 Rat Adenosine receptor A2a,ADORA2A ELISA kit 盐酸沃尼妙林 Valnemulin HCl 质量规格:>97%,BR
英文名称RatSerumamyloidAELISAKit大鼠血清淀粉样蛋白A(SAA)规格:96T/48T 泰乐菌素 Tylosin phosphate 质量规格:>95%,BR
寡核苷酸探针同位素法DNA南方杂交完全试剂盒5 盐酸左氧氟沙星 Levofloxacin HCl 质量规格:>98.5%,BR,可用于细胞培养
ELISAKitIGF-2人胰岛素样生长因子2规格:48T/96T 盐酸左氧氟沙星(标准品) Levofloxacin HCl 质量规格:>98%,标准品
人维生素A(VA)ELISA检测试剂盒HumanVitaminA,VAELISAKit 96T/48T 对称N,N-二甲基精氨酸 (2S)-2-amino-5-[(N,N'-dimethylcarbamimidoyl)amino]pentanoic acid 质量规格:>95%
人维生素B12(VB12)ELISA检测试剂盒HumanVitaminB12,VB12ELISAKit 96T/48T 对苯二甲醛(>98%,BR) p-Phthaldehyde 质量规格:>98%,BR
人维生素B6(VB6)ELISA检测试剂盒HumanVitaminB6,VB6ELISAKit 96T/48T 对氨基水杨酸异(标准品) Pasiniazid 质量规格:UV法溶出度检查
人维生素C(VC)ELISA检测试剂盒HumanVitaminC,VCELISAKit 96T/48T 对氨基水杨酸钠(标准品) Sodium Aminosalicylate Dihydrate 质量规格:供HPLC法含量测定用
人维生素D(VD)ELISA检测试剂盒HumanVitaminD,VDELISAKit 96T/48T 断血流皂苷A(标准品) Clinodiside A 质量规格:HPLC≥98%,标准品
人维生素D2(VD2)ELISA检测试剂盒HumanVitaminD2,VD2ELISAKit 96T/48T 断血流皂苷A HPLC≥98% 20mg
人维生素D3(VD3)ELISA检测试剂盒HumanVitaminD3,VD3ELISAkit 96T/48T 断血流皂苷 A HPLC≥98% 20mg
人维生素D受体(VDR)ELISA检测试剂盒HumanVitaminDReceptor,VDRELISAKit 96T/48T 短叶苏木酚酸 HPLC≥98% 20mg
人维生素E(VE)ELISA检测试剂盒HumanVitaminE,VEEELISAKit 96T/48T 短叶松素(标准品) Pinobanksin 质量规格:HPLC≥98%,标准品
人维生素K1(VK1)ELISA检测试剂盒HumanVitaminK1,VK1ELISAKit 96T/48T 短叶松素 HPLC≥98% 5mg
海醇 Iohexol 质量规格:>98%,BR 肝脂酶活性比色法定量检测试剂盒20
麦芽化酶, 硫酸铵悬浮液 Maltose Phosphorylase 5U/mg 质量规格:BC Grade 干细胞成脂分化潜力比色法定量检测试剂盒20/100
嗪草酮(>95%,植物激素级) Metribuzin 质量规格:>95%,植物激素级 干细胞成脂分化潜力定性染色试剂盒20/100
4-甲基伞形酮酰-alpha-D-吡喃糖苷 MU-alpha-GAL 质量规格:分子生物学级 高多糖/酚植物线粒体DNA萃取试剂盒10/20
粘酸(>98%,BC) Mucic acid 质量规格:>98%,BC 高多糖/酚植物线粒体DNA萃取试剂盒10/20
萘酚AS-MX酯(>98%,BC) Naphthol AS-MX phosphate 质量规格:>98%,BC 高多糖多酚植物组织叶绿体DNA萃取试剂盒10/20
草酸钾一水(>98%,BC) Potassium oxalate, monohydrate 质量规格:>98%,BC 高多糖多酚植物组织叶绿体DNA萃取试剂盒10/20
氢钠一水(>98%,BR) Sodium bitartrate, monohydrate 质量规格:>98%,BR 高多糖多酚植物组织叶绿体DNA高分离试剂盒10/20
硫酸钠十水(>99%,BC) Sodium sulfate, decahydrate 质量规格:>99%,BC 高多糖多酚植物组织叶绿体DNA高分离试剂盒10/20
司班40 Span* 40 质量规格:BR 高分子蛋白标准样100
地榆皂苷II、地榆苷Ⅱ35286-59-0肝素血液抗凝液100毫升 组胺(>98%,BC) Histamine 质量规格:>98%,BC
肝脂酶活性比色法定量检测试剂盒20 海醇 Iohexol 质量规格:>98%,BR
干细胞成脂分化潜力比色法定量检测试剂盒20/100 麦芽化酶, 硫酸铵悬浮液 Maltose Phosphorylase 5U/mg 质量规格:BC Grade
干细胞成脂分化潜力定性染色试剂盒20/100 嗪草酮(>95%,植物激素级) Metribuzin 质量规格:>95%,植物激素级
高多糖/酚植物线粒体DNA萃取试剂盒10/20 4-甲基伞形酮酰-alpha-D-吡喃糖苷 MU-alpha-GAL 质量规格:分子生物学级
高多糖/酚植物线粒体DNA萃取试剂盒10/20 粘酸(>98%,BC) Mucic acid 质量规格:>98%,BC
高多糖多酚植物组织叶绿体DNA萃取试剂盒10/20 萘酚AS-MX酯(>98%,BC) Naphthol AS-MX phosphate 质量规格:>98%,BC
高多糖多酚植物组织叶绿体DNA萃取试剂盒10/20 草酸钾一水(>98%,BC) Potassium oxalate, monohydrate 质量规格:>98%,BC
高多糖多酚植物组织叶绿体DNA高分离试剂盒10/20 氢钠一水(>98%,BR) Sodium bitartrate, monohydrate 质量规格:>98%,BR
高多糖多酚植物组织叶绿体DNA高分离试剂盒10/20 硫酸钠十水(>99%,BC) Sodium sulfate, decahydrate 质量规格:>99%,BC
地榆皂苷II、地榆苷Ⅱ35286-59-0标准品、对照品的问题:
(一)来源:
依照有关规定,中国用于药品成品检验的标准品(对照品)来源有:一是中国药品生物制品检定所提供的标准品(对照品);二是其他国家的标准品(对照品);三是省级以上药品检验所标定,并经同级食 品药品监管局批准的标准品(对照品)。
(二)有效期和使用说明书:
中国药品生物制品检定所提供的标准品(对照品)大部分均无使用说明书和使用期限,大都沿用新的批号出现、旧的批号自动停止的管理方式。
(三)使用过程:
工作标准品(对照品)虽经有关部门认可,但要求有标化日期、复标日期、贮存条件、使用等相关文件规定,并做好相应记录。
(四)验证问题:
按标准品(对照品)管理要求,使用前应对其进行验证,确认无误后方可使用。
(五)开封问题:
对已开封的标准品(对照品)管理方面的问题应做严格的规定,不应同未开封的标准品(对照品)放在一起继续使用,包装上应做好相关标识,说明是否已开封过、何时开封的,内含多少量等相关信息。
1.优势:高效稳定的专业纯化技术,完善的库存及供应体系,高效的销售团队。
2.包装规格:常规包装,如有特殊需求,我们根据客户要求包装。
3.运输方式:默认顺丰快递。
4.质量保证:严格的质量控制,通过全面的检测,是产品质量保证的基础。如有异议经我司确认可无条件退换货。
| 产品名称 | CAS | 规格 |
| 地榆皂苷II、地榆苷Ⅱ35286-59-0 | 35286-59-0 | 可按客户需求包装 |
英文名称 Ziyuglycoside II
分 子 量: 604.81
CAS NO.: 35286-59-0
纯 度: ≥98%
分子式: C35H56O8

性状: 白色晶体
规格: 10mg/20mg/50mg,可按客户需求包装!
用途: 用于科研研究、鉴定、药理实验等
熔点: 260-263 ℃
溶解性: 可溶于甲醇、DMSO等溶剂,不溶于。
提取来源: 冬青科植物冬青(I. pubescens Hook. et Arn.)、地榆
药理药效: 地榆皂苷II具有收缩血管,止血,抗真菌的作用
鉴别方法: NMR; MS
检测方法: C1 8柱 ;流动相 :甲醇 水 (5 9∶4 1) ;流速 1 0mL•min- 1 ;检测器 :Sedex 5 5蒸发光散射检测器。
贮存条件: 低温冷藏,避光,密封,干燥
注意事项: 无
有效期限: 2年
供货能力: 现货,可根据可以客户需求批量定制
分析纯(AR,红标签): 主成分含量很高、纯度较高,干扰杂质很低,适用于工业分析及化学实验。
化学纯(CP,蓝标签): 主成分含量高、纯度较高,存在干扰杂质,适用于化学实验和合成制备。
色谱纯(GC):气相色谱分析专用。 质量指标注重干扰气相色谱峰的杂质。主成分含量高。
光谱纯(SP):用于光谱分析。 分别适用于分光光度计标准品、原子吸收光谱标准品、原子发射光谱标准品
电子纯(MOS):适用于电子产品中,电性杂质含量极低。 当量试剂(3N、4N、5N):主成分含量分别为99.9%、99.99%、99.999%以上。
我司提供以下服务:
1.中药提取物的定制和,中药提取物代加工相关服务。
2.中药高含量提取物的工业化高效分离及分离纯化
3.天然产物原料药和中间体的,定制(包括合成,半合成)
大鼠腺苷酸环化酶1(AC-1)免疫试剂盒 Rat adenylyl cyclase 1,AC-1 ELISA Kit 4-氨基安替比林 4-Aminoantipyrine 质量规格:AR,分析
英文名称RatSerumamyloidAELISAKit大鼠血清淀粉样蛋白A(SAA)规格:96T/48T N-代丁二(NBS) N-bromosuccinimide 质量规格:AR
寡核苷酸探针同位素法DNA斑点杂交完全试剂盒5 溶葡球菌酶,溶葡萄球菌酶 Lysostaphin 质量规格:BR,5000U/Pack
ELISAKitIGF-2R人胰岛素样生长因子2受体规格:48T/96T 百里香酚,麝香草酚 Thymol 质量规格:AR
小鼠激肽释放酶3(KLK3)ELISA试剂盒 ,英文名: KLK3 ELISA Kit Sulfo NHS;N-羟基硫代琥珀 sulfo-NHS 质量规格:>99%,BR
人亮氨酰氨基肽酶(LAP)ELISA检测试剂盒HumanLeucineaminopepridase,LAPELISAKit 96T/48T 亚甲兰,亚甲基蓝 Methylene Blue 质量规格:BS
大鼠腺苷受体A2a(ADORA2A)免疫试剂盒 Rat Adenosine receptor A2a,ADORA2A ELISA kit 盐酸沃尼妙林 Valnemulin HCl 质量规格:>97%,BR
英文名称RatSerumamyloidAELISAKit大鼠血清淀粉样蛋白A(SAA)规格:96T/48T 泰乐菌素 Tylosin phosphate 质量规格:>95%,BR
寡核苷酸探针同位素法DNA南方杂交完全试剂盒5 盐酸左氧氟沙星 Levofloxacin HCl 质量规格:>98.5%,BR,可用于细胞培养
ELISAKitIGF-2人胰岛素样生长因子2规格:48T/96T 盐酸左氧氟沙星(标准品) Levofloxacin HCl 质量规格:>98%,标准品
人维生素A(VA)ELISA检测试剂盒HumanVitaminA,VAELISAKit 96T/48T 对称N,N-二甲基精氨酸 (2S)-2-amino-5-[(N,N'-dimethylcarbamimidoyl)amino]pentanoic acid 质量规格:>95%
人维生素B12(VB12)ELISA检测试剂盒HumanVitaminB12,VB12ELISAKit 96T/48T 对苯二甲醛(>98%,BR) p-Phthaldehyde 质量规格:>98%,BR
人维生素B6(VB6)ELISA检测试剂盒HumanVitaminB6,VB6ELISAKit 96T/48T 对氨基水杨酸异(标准品) Pasiniazid 质量规格:UV法溶出度检查
人维生素C(VC)ELISA检测试剂盒HumanVitaminC,VCELISAKit 96T/48T 对氨基水杨酸钠(标准品) Sodium Aminosalicylate Dihydrate 质量规格:供HPLC法含量测定用
人维生素D(VD)ELISA检测试剂盒HumanVitaminD,VDELISAKit 96T/48T 断血流皂苷A(标准品) Clinodiside A 质量规格:HPLC≥98%,标准品
人维生素D2(VD2)ELISA检测试剂盒HumanVitaminD2,VD2ELISAKit 96T/48T 断血流皂苷A HPLC≥98% 20mg
人维生素D3(VD3)ELISA检测试剂盒HumanVitaminD3,VD3ELISAkit 96T/48T 断血流皂苷 A HPLC≥98% 20mg
人维生素D受体(VDR)ELISA检测试剂盒HumanVitaminDReceptor,VDRELISAKit 96T/48T 短叶苏木酚酸 HPLC≥98% 20mg
人维生素E(VE)ELISA检测试剂盒HumanVitaminE,VEEELISAKit 96T/48T 短叶松素(标准品) Pinobanksin 质量规格:HPLC≥98%,标准品
人维生素K1(VK1)ELISA检测试剂盒HumanVitaminK1,VK1ELISAKit 96T/48T 短叶松素 HPLC≥98% 5mg
海醇 Iohexol 质量规格:>98%,BR 肝脂酶活性比色法定量检测试剂盒20
麦芽化酶, 硫酸铵悬浮液 Maltose Phosphorylase 5U/mg 质量规格:BC Grade 干细胞成脂分化潜力比色法定量检测试剂盒20/100
嗪草酮(>95%,植物激素级) Metribuzin 质量规格:>95%,植物激素级 干细胞成脂分化潜力定性染色试剂盒20/100
4-甲基伞形酮酰-alpha-D-吡喃糖苷 MU-alpha-GAL 质量规格:分子生物学级 高多糖/酚植物线粒体DNA萃取试剂盒10/20
粘酸(>98%,BC) Mucic acid 质量规格:>98%,BC 高多糖/酚植物线粒体DNA萃取试剂盒10/20
萘酚AS-MX酯(>98%,BC) Naphthol AS-MX phosphate 质量规格:>98%,BC 高多糖多酚植物组织叶绿体DNA萃取试剂盒10/20
草酸钾一水(>98%,BC) Potassium oxalate, monohydrate 质量规格:>98%,BC 高多糖多酚植物组织叶绿体DNA萃取试剂盒10/20
氢钠一水(>98%,BR) Sodium bitartrate, monohydrate 质量规格:>98%,BR 高多糖多酚植物组织叶绿体DNA高分离试剂盒10/20
硫酸钠十水(>99%,BC) Sodium sulfate, decahydrate 质量规格:>99%,BC 高多糖多酚植物组织叶绿体DNA高分离试剂盒10/20
司班40 Span* 40 质量规格:BR 高分子蛋白标准样100
地榆皂苷II、地榆苷Ⅱ35286-59-0肝素血液抗凝液100毫升 组胺(>98%,BC) Histamine 质量规格:>98%,BC
肝脂酶活性比色法定量检测试剂盒20 海醇 Iohexol 质量规格:>98%,BR
干细胞成脂分化潜力比色法定量检测试剂盒20/100 麦芽化酶, 硫酸铵悬浮液 Maltose Phosphorylase 5U/mg 质量规格:BC Grade
干细胞成脂分化潜力定性染色试剂盒20/100 嗪草酮(>95%,植物激素级) Metribuzin 质量规格:>95%,植物激素级
高多糖/酚植物线粒体DNA萃取试剂盒10/20 4-甲基伞形酮酰-alpha-D-吡喃糖苷 MU-alpha-GAL 质量规格:分子生物学级
高多糖/酚植物线粒体DNA萃取试剂盒10/20 粘酸(>98%,BC) Mucic acid 质量规格:>98%,BC
高多糖多酚植物组织叶绿体DNA萃取试剂盒10/20 萘酚AS-MX酯(>98%,BC) Naphthol AS-MX phosphate 质量规格:>98%,BC
高多糖多酚植物组织叶绿体DNA萃取试剂盒10/20 草酸钾一水(>98%,BC) Potassium oxalate, monohydrate 质量规格:>98%,BC
高多糖多酚植物组织叶绿体DNA高分离试剂盒10/20 氢钠一水(>98%,BR) Sodium bitartrate, monohydrate 质量规格:>98%,BR
高多糖多酚植物组织叶绿体DNA高分离试剂盒10/20 硫酸钠十水(>99%,BC) Sodium sulfate, decahydrate 质量规格:>99%,BC
地榆皂苷II、地榆苷Ⅱ35286-59-0标准品、对照品的问题:
(一)来源:
依照有关规定,中国用于药品成品检验的标准品(对照品)来源有:一是中国药品生物制品检定所提供的标准品(对照品);二是其他国家的标准品(对照品);三是省级以上药品检验所标定,并经同级食 品药品监管局批准的标准品(对照品)。
(二)有效期和使用说明书:
中国药品生物制品检定所提供的标准品(对照品)大部分均无使用说明书和使用期限,大都沿用新的批号出现、旧的批号自动停止的管理方式。
(三)使用过程:
工作标准品(对照品)虽经有关部门认可,但要求有标化日期、复标日期、贮存条件、使用等相关文件规定,并做好相应记录。
(四)验证问题:
按标准品(对照品)管理要求,使用前应对其进行验证,确认无误后方可使用。
(五)开封问题:
对已开封的标准品(对照品)管理方面的问题应做严格的规定,不应同未开封的标准品(对照品)放在一起继续使用,包装上应做好相关标识,说明是否已开封过、何时开封的,内含多少量等相关信息。
风险提示:丁香通仅作为第三方平台,为商家信息发布提供平台空间。用户咨询产品时请注意保护个人信息及财产安全,合理判断,谨慎选购商品,商家和用户对交易行为负责。对于医疗器械类产品,请先查证核实企业经营资质和医疗器械产品注册证情况。
技术资料暂无技术资料 索取技术资料
地榆皂苷II、地榆苷Ⅱ35286-59-0
询价










