万千商家帮你免费找货
0 人在求购买到急需产品
- 详细信息
- 技术资料
- 库存:
46
- 英文名:
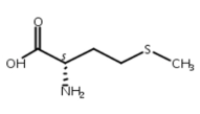
Hygromycin B
- CAS号:
31282-04-9
- 保质期:
详见说明书
- 供应商:
上海博湖
- 保存条件:
低温冷藏
- 规格:
20mg/50mg/1g,可按客户需求包装!
潮霉素 B3
1282-04-9
化学药品标准物质的分类:
1.按来源:
(1) 国际化学标准物质(WHO)
(2)美国药典标准物质(USPC,USP)
(3)欧式药典标准物质(EDQM,EP)
(4)日本药局标准物(PMRJ,JP)
(5)国家药品标准物质(NICPBP,CHP)
2.按测定方法和使用对象:
(1)生物标准物质
(2)化学标准物质(化学对照物质)
3.按使用要求:
(1)国际化学对照品
(2)国家化学对照品
(3)工作化学对照品
4.按用途:
(1)鉴别用化学对照品
(2)纯度或杂质检查用对照品
(3)含量测定用对照品
(4)标准仪器用对照
5.按药品使用对象:
(1)化学对照品
(2)中药化学对照品
(3)抗生素化学对照品
(4)麻醉药品化学对照品
我司经营范围:国家对照品标准物质、进口对照品、冶金标样、标准气体、药典对照品、标准菌种、实验室耗材、试剂盒等
产品名称 潮霉素 B3
1282-04-9
英文名称 Hygromycin B
分 子 量: 527.52008
CAS NO.: 3
1282-04-9
纯 度: ≥98%
分子式: C20H37N3O13

性状: 微黄褐色粉末
规格: 20mg/50mg/1g,可按客户需求包装!
用途: 用于科研研究、鉴定、药理实验等
熔点: 160-180℃
溶解性: 易溶于水、甲醇、乙醇,易与许多有机酸和无机酸生成盐
提取来源: 生物发酵
药理药效: 潮霉素B具有抗菌作用和一定的驱虫活性
鉴别方法: NMR;Ms
检测方法: 补充中......
贮存条件: 低温冷藏,避光,密封,干燥
注意事项: 补充中
有效期限: 2年
供货能力: 现货,可根据可以客户需求批量定制
技术:
1.色谱(高效液相色谱:薄层层析;气相色谱)
2. 质谱(液-质联用)
3. 光谱(红外、紫外),原子吸收
4. 测定(物理常数测定;旋光测定;不挥发物测定;干燥失重测定;蒸发或灼烧残渣测定)
5. 分析(含量分析;元素分析)
6. 滴定(酸性滴定;碱性滴定;配位滴定;非水滴定;氧化还原滴定)
7. 试验(与水混合试验;澄清度试验;各项化学反应试验
公司优势:
潮霉素 B3
1282-04-9
服务对象针对性强,我们的客户遍布各大高校、医院以及各科研单位,还包括性的企业;
服务体系完整,我们为客户提供周到的售前售后服务,以及相应的技术支持。
标准品或对照品的管理规范:
1.规范购入使用台账,严格表明购入时间、批号、来源、数量、使用期限等内容;申购的标准品或对照品的批号要与新颁布标准品或对照品批号相符;
2.严格按照规定条件进行储存,标准品或对照品的性状极不稳定,对储存条件和方式非常苛刻;
3.规范管理和使用:
(1)严格按照说明书要求,由于标准品或对照品的不稳定性,若不安产品说明书的要求操作,极易造成较大的误差,从而影响检测结果;
(2)称量精密准确,标准品和对照品的含量测定要求不同,对精密性的要求很高;
(3)对于长期贮存的制备品,应充分考虑各方面的影响因素,规范操作;
(4)同时配制两份对照溶液以控制检验误差,由于现在药品的标准含量测定方法较多采用对照比较法,在测定过程中,仅配制一份对照溶液容易造成因配制对照溶液过程出现偏差;
(5)自行标定的标准品或对照品,严格规范操作,保证标准的可靠传递,并保证其可溯源性和准确性。
Pan-Ras鸟苷酸酶活性分析试剂盒6 盐酸赛庚啶(标准品) CYPROHEPTADINE HYDROCHLORIDE 质量规格:HPLC法含量测定
Porcinemyelinbasicprotein,MBPELISA试剂盒猪髓0脂碱性蛋白(MBP)ELISA试剂盒规格:96T/48T 氨基比林(标准品) Amidopyrine/aminopyrine 质量规格:含量测定
小鼠高分子量激肽原(HMWK)ELISA试剂盒 ,英文名: HMWK ELISA Kit 沙利度胺(标准品) Thalidomide 质量规格:含量测定
人α2巨球蛋白(α2-MG)ELISA检测试剂盒Humanα2macroglobulin,α2MGELISAKit 96T/48T 盐酸贝那替嗪(标准品) BENACTYZINE HYDROCHLORIDE 质量规格:含量测定
大鼠能a1A受体(ADRA1A)免疫试剂盒 Rat adrenergic alpha-1A receptor,ADRA1A ELISA Kit 安替比林(标准品) Antipyrine 质量规格:≥99%(GC),标准品
英文名称RatNoradrenalinELISAKit大鼠去甲(Noradrenalin)规格:96T/48T 安替比林 Antipyrine 质量规格:>99%,进口分包
活体细胞半胱氨酸蛋白酶12(CASPASE-12)活性原位荧光染色检测试剂盒20 麝香草酚(标准品) Thymol 质量规格:含量测定
ELISAKitAC-1人腺苷酸环化酶1规格:48T/96T 荧光素钠(标准品) Fluorescein disodium salt 质量规格:含量测定
小鼠高尔基蛋白73(GP73)ELISA试剂盒 ,英文名: GP73 ELISA Kit 甲硝唑杂质A(2-甲基-5-硝基咪唑)标准品 2-Methyl-5-nitroimidazole 质量规格:检查
人α乳清蛋白(α-La)ELISA检测试剂盒HumanαLactalbumin,α-LaELISAKit 96T/48T 硫酸双肼屈嗪(标准品) Dihydralazine sulphate 质量规格:含量测定
小鼠尿微量白蛋白(ALB)ELISA试剂盒 96T/48T 试剂盒 组装/原装 Tinnevellin glucoside HPLC≥98% 20mg
小鼠镍纹蛋白(MEN)ELISA试剂盒 ,英文名: MEN ELISA Kit Thunberginol C HPLC≥95% 20mg
小鼠凝集素样氧化低密度脂蛋白受体1(LOX1)ELISA试剂盒 ,英文名: LOX1 ELISA Kit Thonningianin A HPLC≥98% 20mg
小鼠凝集素样氧化低密度脂蛋白受体1(LOX-1)ELISA试剂盒 ,英文名: LOX-1 ELISA Kit TGX221 TGX-221 质量规格:>98%,特异性的p110β抑制剂
小鼠凝溶胶蛋白(Gelsolin)ELISA试剂盒 ,英文名: Gelsolin ELISA Kit TG101209 TG-101209;TG 101209 质量规格:>98%,选择性JAK2抑制剂
小鼠凝溶胶蛋白(GS)ELISA试剂盒 ,英文名: GS ELISA Kit TG100-115 TG100-115 质量规格:>98%,PI3Kγ/δ抑制剂
小鼠凝血酶/抗凝血酶复合体(TAT)ELISA试剂盒 ,英文名: TAT ELISA Kit TFA-aa-U TFA-aa-U 质量规格:>98%,BR
小鼠凝血酶抗凝血酶复合物(TAT)ELISA 试剂盒 96T/48T 试剂盒 组装/原装 TFA-aa-dU TFA-aa-dU 质量规格:>98%,BR
小鼠凝血酶抗凝血酶复合物(TAT)ELISA检测试剂盒Mousethrombin-aithrombincomplex,TATELISAKit 96T/48T Tesetaxel HPLC≥98% 20mg
小鼠凝血酶抗凝血酶复合物(TAT)ELISA试剂盒 ,英文名: TAT ELISA Kit TES;Tris乙磺酸,2-[(三(羟甲基)甲基)氨基]-1-乙磺酸 TES 质量规格:>99%,AR
R人参皂苷Rg HPLC≥98% 20mg RatAquaporin0,AQP-0ELISAKit大鼠水通道蛋白0(AQP-0)ELISA试剂盒规格:96T/48T
三七素 HPLC≥98% 20mg RatAquaporin1,AQP-1ELISAKit大鼠水通道蛋白1(AQP-1)ELISA试剂盒规格:96T/48T
齿孔酸; 齿孔菌酸 HPLC≥96.5% 20mg RatAquaporin2,AQP-2ELISAKit大鼠水通道蛋白2(AQP-2)ELISA试剂盒规格:96T/48T
马兜铃内酰胺A HPLC≥98% 20mg RatAquaporin3,AQP-3ELISAKit大鼠水通道蛋白3(AQP-3)ELISA试剂盒规格:96T/48T
甲基条叶蓟素; 泽兰黄素 HPLC≥98% 20mg RatAquaporin4,AQP-4ELISAKit大鼠水通道蛋白4(AQP-4)ELISA试剂盒规格:96T/48T
矢车菊黄素 HPLC≥98% 20mg RatAquaporin5,AQP-5ELISAKit大鼠水通道蛋白5(AQP-5)ELISA试剂盒规格:96T/48T
凤仙萜四醇苷K HPLC≥98% 20mg RatAzidothymidine,AZTELISAKit大鼠叠氮胸苷(AZT)ELISA试剂盒规格:96T/48T
硝基喜树碱 HPLC≥97% 20mg Ratbasicfibroblastgrowthfactor,bFGFELISAKit大鼠碱性成纤维生长因子(bFGF)ELISA试剂盒规格:96T/48T
重楼皂苷E HPLC≥95% 20mg Ratbasicfibroblastgrowthfactor4,bFGF-4ELISAKit大鼠碱性成纤维细胞生长因子4(bFGF-4)ELISA试剂盒规格:96T/48T
重楼皂苷F HPLC≥94% 20mg Ratbasicfibroblastgrowthfactor6,bFGF-6ELISAKit大鼠碱性成纤维细胞生长因子6(bFGF-6)ELISA试剂盒规格:96T/48T
Ratapoptosisinducingfactor,AIF大鼠凋亡诱导因子(AIF)ELISA试剂盒规格:96T/48T 丹参酮甲酯 HPLC≥98% 20mg
RatAquaporin0,AQP-0大鼠水通道蛋白0(AQP-0)ELISA试剂盒规格:96T/48T R人参皂苷Rg HPLC≥98% 20mg
RatAquaporin1,AQP-1大鼠水通道蛋白1(AQP-1)ELISA试剂盒规格:96T/48T 三七素 HPLC≥98% 20mg
RatAquaporin2,AQP-2大鼠水通道蛋白2(AQP-2)ELISA试剂盒规格:96T/48T 齿孔酸; 齿孔菌酸 HPLC≥96.5% 20mg
RatAquaporin3,AQP-3大鼠水通道蛋白3(AQP-3)ELISA试剂盒规格:96T/48T 马兜铃内酰胺A HPLC≥98% 20mg
RatAquaporin4,AQP-4大鼠水通道蛋白4(AQP-4)ELISA试剂盒规格:96T/48T 甲基条叶蓟素; 泽兰黄素 HPLC≥98% 20mg
RatAquaporin5,AQP-5大鼠水通道蛋白5(AQP-5)ELISA试剂盒规格:96T/48T 矢车菊黄素 HPLC≥98% 20mg
RatAzidothymidine,AZT大鼠叠氮胸苷(AZT)ELISA试剂盒规格:96T/48T 凤仙萜四醇苷K HPLC≥98% 20mg
Ratbasicfibroblastgrowthfactor,bFGF大鼠碱性成纤维生长因子(bFGF)ELISA试剂盒规格:96T/48T 硝基喜树碱 HPLC≥97% 20mg
Ratbasicfibroblastgrowthfactor4,bFGF-4大鼠碱性成纤维细胞生长因子4(bFGF-4)ELISA试剂盒规格:96T/48T 重楼皂苷E HPLC≥95% 20mg
1.按来源:
(1) 国际化学标准物质(WHO)
(2)美国药典标准物质(USPC,USP)
(3)欧式药典标准物质(EDQM,EP)
(4)日本药局标准物(PMRJ,JP)
(5)国家药品标准物质(NICPBP,CHP)
2.按测定方法和使用对象:
(1)生物标准物质
(2)化学标准物质(化学对照物质)
3.按使用要求:
(1)国际化学对照品
(2)国家化学对照品
(3)工作化学对照品
4.按用途:
(1)鉴别用化学对照品
(2)纯度或杂质检查用对照品
(3)含量测定用对照品
(4)标准仪器用对照
5.按药品使用对象:
(1)化学对照品
(2)中药化学对照品
(3)抗生素化学对照品
(4)麻醉药品化学对照品
我司经营范围:国家对照品标准物质、进口对照品、冶金标样、标准气体、药典对照品、标准菌种、实验室耗材、试剂盒等
| 产品名称 | 潮霉素 B31282-04-9 |
| CAS | 3
|
| 规格 | 20mg/50mg/1g,可按客户需求包装 |
英文名称 Hygromycin B
分 子 量: 527.52008
CAS NO.: 3
纯 度: ≥98%
分子式: C20H37N3O13

性状: 微黄褐色粉末
规格: 20mg/50mg/1g,可按客户需求包装!
用途: 用于科研研究、鉴定、药理实验等
熔点: 160-180℃
溶解性: 易溶于水、甲醇、乙醇,易与许多有机酸和无机酸生成盐
提取来源: 生物发酵
药理药效: 潮霉素B具有抗菌作用和一定的驱虫活性
鉴别方法: NMR;Ms
检测方法: 补充中......
贮存条件: 低温冷藏,避光,密封,干燥
注意事项: 补充中
有效期限: 2年
供货能力: 现货,可根据可以客户需求批量定制
技术:
1.色谱(高效液相色谱:薄层层析;气相色谱)
2. 质谱(液-质联用)
3. 光谱(红外、紫外),原子吸收
4. 测定(物理常数测定;旋光测定;不挥发物测定;干燥失重测定;蒸发或灼烧残渣测定)
5. 分析(含量分析;元素分析)
6. 滴定(酸性滴定;碱性滴定;配位滴定;非水滴定;氧化还原滴定)
7. 试验(与水混合试验;澄清度试验;各项化学反应试验
公司优势:
潮霉素 B3
服务体系完整,我们为客户提供周到的售前售后服务,以及相应的技术支持。
标准品或对照品的管理规范:
1.规范购入使用台账,严格表明购入时间、批号、来源、数量、使用期限等内容;申购的标准品或对照品的批号要与新颁布标准品或对照品批号相符;
2.严格按照规定条件进行储存,标准品或对照品的性状极不稳定,对储存条件和方式非常苛刻;
3.规范管理和使用:
(1)严格按照说明书要求,由于标准品或对照品的不稳定性,若不安产品说明书的要求操作,极易造成较大的误差,从而影响检测结果;
(2)称量精密准确,标准品和对照品的含量测定要求不同,对精密性的要求很高;
(3)对于长期贮存的制备品,应充分考虑各方面的影响因素,规范操作;
(4)同时配制两份对照溶液以控制检验误差,由于现在药品的标准含量测定方法较多采用对照比较法,在测定过程中,仅配制一份对照溶液容易造成因配制对照溶液过程出现偏差;
(5)自行标定的标准品或对照品,严格规范操作,保证标准的可靠传递,并保证其可溯源性和准确性。
Pan-Ras鸟苷酸酶活性分析试剂盒6 盐酸赛庚啶(标准品) CYPROHEPTADINE HYDROCHLORIDE 质量规格:HPLC法含量测定
Porcinemyelinbasicprotein,MBPELISA试剂盒猪髓0脂碱性蛋白(MBP)ELISA试剂盒规格:96T/48T 氨基比林(标准品) Amidopyrine/aminopyrine 质量规格:含量测定
小鼠高分子量激肽原(HMWK)ELISA试剂盒 ,英文名: HMWK ELISA Kit 沙利度胺(标准品) Thalidomide 质量规格:含量测定
人α2巨球蛋白(α2-MG)ELISA检测试剂盒Humanα2macroglobulin,α2MGELISAKit 96T/48T 盐酸贝那替嗪(标准品) BENACTYZINE HYDROCHLORIDE 质量规格:含量测定
大鼠能a1A受体(ADRA1A)免疫试剂盒 Rat adrenergic alpha-1A receptor,ADRA1A ELISA Kit 安替比林(标准品) Antipyrine 质量规格:≥99%(GC),标准品
英文名称RatNoradrenalinELISAKit大鼠去甲(Noradrenalin)规格:96T/48T 安替比林 Antipyrine 质量规格:>99%,进口分包
活体细胞半胱氨酸蛋白酶12(CASPASE-12)活性原位荧光染色检测试剂盒20 麝香草酚(标准品) Thymol 质量规格:含量测定
ELISAKitAC-1人腺苷酸环化酶1规格:48T/96T 荧光素钠(标准品) Fluorescein disodium salt 质量规格:含量测定
小鼠高尔基蛋白73(GP73)ELISA试剂盒 ,英文名: GP73 ELISA Kit 甲硝唑杂质A(2-甲基-5-硝基咪唑)标准品 2-Methyl-5-nitroimidazole 质量规格:检查
人α乳清蛋白(α-La)ELISA检测试剂盒HumanαLactalbumin,α-LaELISAKit 96T/48T 硫酸双肼屈嗪(标准品) Dihydralazine sulphate 质量规格:含量测定
小鼠尿微量白蛋白(ALB)ELISA试剂盒 96T/48T 试剂盒 组装/原装 Tinnevellin glucoside HPLC≥98% 20mg
小鼠镍纹蛋白(MEN)ELISA试剂盒 ,英文名: MEN ELISA Kit Thunberginol C HPLC≥95% 20mg
小鼠凝集素样氧化低密度脂蛋白受体1(LOX1)ELISA试剂盒 ,英文名: LOX1 ELISA Kit Thonningianin A HPLC≥98% 20mg
小鼠凝集素样氧化低密度脂蛋白受体1(LOX-1)ELISA试剂盒 ,英文名: LOX-1 ELISA Kit TGX221 TGX-221 质量规格:>98%,特异性的p110β抑制剂
小鼠凝溶胶蛋白(Gelsolin)ELISA试剂盒 ,英文名: Gelsolin ELISA Kit TG101209 TG-101209;TG 101209 质量规格:>98%,选择性JAK2抑制剂
小鼠凝溶胶蛋白(GS)ELISA试剂盒 ,英文名: GS ELISA Kit TG100-115 TG100-115 质量规格:>98%,PI3Kγ/δ抑制剂
小鼠凝血酶/抗凝血酶复合体(TAT)ELISA试剂盒 ,英文名: TAT ELISA Kit TFA-aa-U TFA-aa-U 质量规格:>98%,BR
小鼠凝血酶抗凝血酶复合物(TAT)ELISA 试剂盒 96T/48T 试剂盒 组装/原装 TFA-aa-dU TFA-aa-dU 质量规格:>98%,BR
小鼠凝血酶抗凝血酶复合物(TAT)ELISA检测试剂盒Mousethrombin-aithrombincomplex,TATELISAKit 96T/48T Tesetaxel HPLC≥98% 20mg
小鼠凝血酶抗凝血酶复合物(TAT)ELISA试剂盒 ,英文名: TAT ELISA Kit TES;Tris乙磺酸,2-[(三(羟甲基)甲基)氨基]-1-乙磺酸 TES 质量规格:>99%,AR
R人参皂苷Rg HPLC≥98% 20mg RatAquaporin0,AQP-0ELISAKit大鼠水通道蛋白0(AQP-0)ELISA试剂盒规格:96T/48T
三七素 HPLC≥98% 20mg RatAquaporin1,AQP-1ELISAKit大鼠水通道蛋白1(AQP-1)ELISA试剂盒规格:96T/48T
齿孔酸; 齿孔菌酸 HPLC≥96.5% 20mg RatAquaporin2,AQP-2ELISAKit大鼠水通道蛋白2(AQP-2)ELISA试剂盒规格:96T/48T
马兜铃内酰胺A HPLC≥98% 20mg RatAquaporin3,AQP-3ELISAKit大鼠水通道蛋白3(AQP-3)ELISA试剂盒规格:96T/48T
甲基条叶蓟素; 泽兰黄素 HPLC≥98% 20mg RatAquaporin4,AQP-4ELISAKit大鼠水通道蛋白4(AQP-4)ELISA试剂盒规格:96T/48T
矢车菊黄素 HPLC≥98% 20mg RatAquaporin5,AQP-5ELISAKit大鼠水通道蛋白5(AQP-5)ELISA试剂盒规格:96T/48T
凤仙萜四醇苷K HPLC≥98% 20mg RatAzidothymidine,AZTELISAKit大鼠叠氮胸苷(AZT)ELISA试剂盒规格:96T/48T
硝基喜树碱 HPLC≥97% 20mg Ratbasicfibroblastgrowthfactor,bFGFELISAKit大鼠碱性成纤维生长因子(bFGF)ELISA试剂盒规格:96T/48T
重楼皂苷E HPLC≥95% 20mg Ratbasicfibroblastgrowthfactor4,bFGF-4ELISAKit大鼠碱性成纤维细胞生长因子4(bFGF-4)ELISA试剂盒规格:96T/48T
重楼皂苷F HPLC≥94% 20mg Ratbasicfibroblastgrowthfactor6,bFGF-6ELISAKit大鼠碱性成纤维细胞生长因子6(bFGF-6)ELISA试剂盒规格:96T/48T
Ratapoptosisinducingfactor,AIF大鼠凋亡诱导因子(AIF)ELISA试剂盒规格:96T/48T 丹参酮甲酯 HPLC≥98% 20mg
RatAquaporin0,AQP-0大鼠水通道蛋白0(AQP-0)ELISA试剂盒规格:96T/48T R人参皂苷Rg HPLC≥98% 20mg
RatAquaporin1,AQP-1大鼠水通道蛋白1(AQP-1)ELISA试剂盒规格:96T/48T 三七素 HPLC≥98% 20mg
RatAquaporin2,AQP-2大鼠水通道蛋白2(AQP-2)ELISA试剂盒规格:96T/48T 齿孔酸; 齿孔菌酸 HPLC≥96.5% 20mg
RatAquaporin3,AQP-3大鼠水通道蛋白3(AQP-3)ELISA试剂盒规格:96T/48T 马兜铃内酰胺A HPLC≥98% 20mg
RatAquaporin4,AQP-4大鼠水通道蛋白4(AQP-4)ELISA试剂盒规格:96T/48T 甲基条叶蓟素; 泽兰黄素 HPLC≥98% 20mg
RatAquaporin5,AQP-5大鼠水通道蛋白5(AQP-5)ELISA试剂盒规格:96T/48T 矢车菊黄素 HPLC≥98% 20mg
RatAzidothymidine,AZT大鼠叠氮胸苷(AZT)ELISA试剂盒规格:96T/48T 凤仙萜四醇苷K HPLC≥98% 20mg
Ratbasicfibroblastgrowthfactor,bFGF大鼠碱性成纤维生长因子(bFGF)ELISA试剂盒规格:96T/48T 硝基喜树碱 HPLC≥97% 20mg
Ratbasicfibroblastgrowthfactor4,bFGF-4大鼠碱性成纤维细胞生长因子4(bFGF-4)ELISA试剂盒规格:96T/48T 重楼皂苷E HPLC≥95% 20mg
风险提示:丁香通仅作为第三方平台,为商家信息发布提供平台空间。用户咨询产品时请注意保护个人信息及财产安全,合理判断,谨慎选购商品,商家和用户对交易行为负责。对于医疗器械类产品,请先查证核实企业经营资质和医疗器械产品注册证情况。
技术资料暂无技术资料 索取技术资料
潮霉素 B31282-04-9
询价









