万千商家帮你免费找货
0 人在求购买到急需产品
- 详细信息
- 技术资料
- 库存:
27
- 英文名:
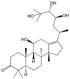
Alisol A
- CAS号:
19885-10-0
- 保质期:
详见说明书
- 供应商:
上海博湖
- 保存条件:
低温冷藏
- 规格:
20mg/50mg/1g,可按客户需求包装!
产品名称 泽泻醇A19885-10-0
英文名称 Alisol A
分 子 量: 490.7
CAS NO.: 19885-10-0
纯 度: ≥98%
分子式: C30H50O5

性状: 白色粉末
规格: 10mg/20mg/50mg,可按客户需求包装!
用途: 用于科研研究、鉴定、药理实验等
熔点: 补充中
溶解性: 溶于氯仿,甲醇等有机溶剂
提取来源: 泽泻科植物泽泻 Alisma plantag-oaquatica L. var. orientale Samuels.块茎
药理药效: 实验证明, 本品与含有1%胆固醇、2%胆酸钠及0.2%氯化胆碱的食物同时喂养雄性大鼠时, 十天后测量治疗组和对照组血液中胆固醇含量, 发现本品能明显降低血液中胆固醇水平
鉴别方法: NMR; MS
检测方法: HPLC
贮存条件: 低温冷藏,避光,密封,干燥
注意事项: 无
有效期限: 2年
供货能力: 现货,可根据可以客户需求批量定制
分析纯(AR,红标签): 主成分含量很高、纯度较高,干扰杂质很低,适用于工业分析及化学实验。
化学纯(CP,蓝标签): 主成分含量高、纯度较高,存在干扰杂质,适用于化学实验和合成制备。
色谱纯(GC):气相色谱分析专用。 质量指标注重干扰气相色谱峰的杂质。主成分含量高。
光谱纯(SP):用于光谱分析。 分别适用于分光光度计标准品、原子吸收光谱标准品、原子发射光谱标准品
电子纯(MOS):适用于电子产品中,电性杂质含量极低。 当量试剂(3N、4N、5N):主成分含量分别为99.9%、99.99%、99.999%以上。
我司提供以下服务:
1.中药提取物的定制和,中药提取物代加工相关服务。
2.中药高含量提取物的工业化高效分离及分离纯化
3.天然产物原料药和中间体的,定制(包括合成,半合成)
泽泻醇A19885-10-0标准品、对照品的问题:
(一)来源:
依照有关规定,中国用于药品成品检验的标准品(对照品)来源有:一是中国药品生物制品检定所提供的标准品(对照品);二是其他国家的标准品(对照品);三是省级以上药品检验所标定,并经同级食 品药品监管局批准的标准品(对照品)。
(二)有效期和使用说明书:
中国药品生物制品检定所提供的标准品(对照品)大部分均无使用说明书和使用期限,大都沿用新的批号出现、旧的批号自动停止的管理方式。
(三)使用过程:
工作标准品(对照品)虽经有关部门认可,但要求有标化日期、复标日期、贮存条件、使用等相关文件规定,并做好相应记录。
(四)验证问题:
按标准品(对照品)管理要求,使用前应对其进行验证,确认无误后方可使用。
(五)开封问题:
对已开封的标准品(对照品)管理方面的问题应做严格的规定,不应同未开封的标准品(对照品)放在一起继续使用,包装上应做好相关标识,说明是否已开封过、何时开封的,内含多少量等相关信息。
订购须知:
1.优势:高效稳定的专业纯化技术,完善的库存及供应体系,高效的销售团队。
2.包装规格:常规包装,如有特殊需求,我们根据客户要求包装。
3.运输方式:默认顺丰快递。
4.质量保证:严格的质量控制,通过全面的检测,是产品质量保证的基础。如有异议经我司确认可无条件退换货。
化妆品三氯蔗糖(sucralose)含量高效液相色谱法定量检测试剂盒20 甾醇(90%) Ergosterol 质量规格:>90%,BR
ELISAKitANGⅡR-1人血管紧张素Ⅱ受体1规格:48T/96T 蔓荆子黄素(标准品) Vitexicarpin 质量规格:HPLC≥98%,标准品
小鼠过氧化物酶体增殖物激活受体α(PPAR-α)ELISA试剂盒 ,英文名: PPAR-α ELISA Kit 芒果苷(标准品) Mangiferin 质量规格:HPLC≥98%,标准品
大鼠血清淀粉样蛋白A(SAA)ELISA检测试剂盒RatSerumamyloidA,SAAELISAKit 96T/48T 芒果苷 Mangiferin 质量规格:≥90%,BR
人表皮生长因子样结构域蛋白7(EGFL7)免疫试剂盒 Human EGFL7 ELISA kit 毛蕊异黄酮(标准品) Calycosin 质量规格:HPLC≥98%,标准品
Raturokinaseplasminogenactivator,uPAELISAKit大鼠尿激酶型纤溶酶原激活物(uPA)ELISA试剂盒规格:96T/48T 毛蕊异黄酮苷(标准品) Calycosin-7-O-β-D-glucoside 质量规格:HPLC≥98%,标准品
NFKAPPABP50蛋白表达ELISA定量检测试剂盒25 没食子儿茶素(标准品) GC; (-)-gallocatechin 质量规格:HPLC≥98%,标准品
PorcineHeatShockProtein70,HSP-70ELISA试剂盒猪热休克蛋白70(HSP-70)ELISA试剂盒规格:96T/48T 没食子儿茶素没食子酸酯(标准品) GCG;(−)-Gallocatechin gallate 质量规格:HPLC≥98%,标准品
小鼠过氧化物酶体生物合成因子2(PEX2)ELISA试剂盒 ,英文名: PEX2 ELISA Kit 没食子酸 Gallic acid 质量规格:>98%,BR
人0酯酶C(PLC)ELISA检测试剂盒HumanPhospholipaseC,PLCELISAKit 96T/48T 没食子酸(标准品) Gallic acid 质量规格:HPLC≥98%,标准品
小鼠黑色素细胞抗体(MC Ab)ELISA试剂盒 ,英文名: MC Ab ELISA Kit 保泰松(标准品) phenylbutazone 质量规格:HPLC>99%,标准品
小鼠黑色素细胞抗体(MCAb)ELISA检测试剂盒Mousemelanocyteaibody,MCAbELISAKit 96T/48T 保泰松 phenylbutazone 质量规格:>98%,USP
小鼠黑素瘤细胞黏附分子(MCAM)ELISA试剂盒 ,英文名: MCAM ELISA Kit 保护胸甙(DMT-T) DMT-dT 质量规格:>98%,BR
小鼠亨廷顿蛋白(HTT)ELISA试剂盒 ,英文名: HTT ELISA Kit 宝藿苷VII HPLC≥98% 20mg
小鼠横纹肌辅肌动蛋白α (sm Actinin-α)ELISA 试剂盒 96T/48T 试剂盒 组装/原装 宝藿苷V HPLC≥98% 20mg
小鼠横纹肌辅肌动蛋白α(sm Actinin-α)ELISA试剂盒 ,英文名: sm Actinin-α ELISA Kit 宝藿苷II;大花淫羊藿苷A;意卡瑞苷A(标准品) Baohuoside II 质量规格:HPLC≥97%,标准品
小鼠红细胞生成素(EPO)ELISA 试剂盒 96T/48T 试剂盒 组装/原装 宝藿苷II;大花淫羊藿苷A;意卡瑞苷A HPLC≥98% 5mg
小鼠红细胞生成素(EPO)ELISA检测试剂盒MouseErythropoietin,EPOELISAKit 96T/48T 宝藿苷I,淫羊藿苷II(标准品) Baohuoside I 质量规格:HPLC≥98%,标准品
小鼠红细胞生成素(EPO)ELISA试剂盒 ,英文名: EPO ELISA Kit 宝藿苷I HPLC≥98% 20mg
小鼠红细胞生成素受体(EPOR)ELISA 试剂盒 96T/48T 试剂盒 组装/原装 薄荷醇(标准品) Menthol 质量规格:HPLC≥98%,标准品
白当归脑(标准品) Byakangelicol 质量规格:HPLC≥98%,标准品 小鼠二酰基甘油(DAG)ELISA试剂盒 ,英文名: DAG ELISA Kit
白当归素(标准品) Byakangelicin 质量规格:HPLC≥98%,标准品 小鼠二酰基甘油(DAG/DG)ELISA试剂盒 ,英文名: DAG/DG ELISA Kit
白果内酯(标准品) (−)-Bilobalide 质量规格:HPLC≥98%,标准品 小鼠二酰基甘油(DAG/DG)ELISA试剂盒 96T/48T 试剂盒 组装/原装
白花前胡醇(标准品) Peucedanol 质量规格:HPLC≥98%,标准品 小鼠法尼酯X受体(FXR)ELISA试剂盒 ,英文名: FXR ELISA Kit
环杷明;环巴胺;去氧芥芬胺(标准品) Cyclopamine 质量规格:HPLC≥98%,标准品;Hh信号通路拮抗剂,作用于Smo 小鼠翻译调节肿瘤蛋白1(TPT1)ELISA试剂盒 ,英文名: TPT1 ELISA Kit
白桦脂醇 Betulin 质量规格:>98%,BR 小鼠泛醌细胞色素C还原酶核心蛋白Ⅱ(UQCRC2)ELISA试剂盒 ,英文名: UQCRC2 ELISA Kit
白桦脂醇(标准品) Betulin 质量规格:HPLC≥98%,标准品 小鼠泛素(Ub)ELISA试剂盒 ,英文名: Ub ELISA Kit
白桦脂醛(标准品) Betulinaldehyde 质量规格:HPLC≥98%,标准品 小鼠泛素蛋白(Ub)ELISA试剂盒 ,英文名: Ub ELISA Kit
白桦脂酸(标准品) Betulinic acid 质量规格:HPLC≥98%,标准品 小鼠泛素结合酶E2A(UBE2A)ELISA试剂盒 ,英文名: UBE2A ELISA Kit
白桦脂酸 Betulinic acid 质量规格:HPLC≥98%,BR 小鼠芳香酶(ARO)ELISA试剂盒 ,英文名: ARO ELISA Kit
泽泻醇A19885-10-0小鼠二肽基肽酶Ⅳ(DPPⅣ)ELISA试剂盒 ,英文名: DPPⅣ ELISA Kit 巴豆苷(标准品) Crotonoside 质量规格:HPLC≥98%,标准品
小鼠二肽基肽酶IV(DPP4/CD26)ELISA试剂盒 ,英文名: DPP4/CD26 ELISA Kit 巴西苏木素(标准品) Brazilin 质量规格:HPLC≥98%,标准品
小鼠二酰甘油-O-酰基转移酶同源物1(DGAT1)ELISA试剂盒 ,英文名: DGAT1 ELISA Kit 菝葜皂苷元(标准品) Sarsasapogenin 质量规格:HPLC≥98%,标准品
小鼠二酰基甘油(DAG)ELISA试剂盒 ,英文名: DAG ELISA Kit 白当归脑(标准品) Byakangelicol 质量规格:HPLC≥98%,标准品
小鼠二酰基甘油(DAG/DG)ELISA试剂盒 ,英文名: DAG/DG ELISA Kit 白当归素(标准品) Byakangelicin 质量规格:HPLC≥98%,标准品
小鼠二酰基甘油(DAG/DG)ELISA试剂盒 96T/48T 试剂盒 组装/原装 白果内酯(标准品) (−)-Bilobalide 质量规格:HPLC≥98%,标准品
小鼠法尼酯X受体(FXR)ELISA试剂盒 ,英文名: FXR ELISA Kit 白花前胡醇(标准品) Peucedanol 质量规格:HPLC≥98%,标准品
小鼠翻译调节肿瘤蛋白1(TPT1)ELISA试剂盒 ,英文名: TPT1 ELISA Kit 环杷明;环巴胺;去氧芥芬胺(标准品) Cyclopamine 质量规格:HPLC≥98%,标准品;Hh信号通路拮抗剂,作用于Smo
小鼠泛醌细胞色素C还原酶核心蛋白Ⅱ(UQCRC2)ELISA试剂盒 ,英文名: UQCRC2 ELISA Kit 白桦脂醇 Betulin 质量规格:>98%,BR
小鼠泛素(Ub)ELISA试剂盒 ,英文名: Ub ELISA Kit 白桦脂醇(标准品) Betulin 质量规格:HPLC≥98%,标准品
英文名称 Alisol A
分 子 量: 490.7
CAS NO.: 19885-10-0
纯 度: ≥98%
分子式: C30H50O5

性状: 白色粉末
规格: 10mg/20mg/50mg,可按客户需求包装!
用途: 用于科研研究、鉴定、药理实验等
熔点: 补充中
溶解性: 溶于氯仿,甲醇等有机溶剂
提取来源: 泽泻科植物泽泻 Alisma plantag-oaquatica L. var. orientale Samuels.块茎
药理药效: 实验证明, 本品与含有1%胆固醇、2%胆酸钠及0.2%氯化胆碱的食物同时喂养雄性大鼠时, 十天后测量治疗组和对照组血液中胆固醇含量, 发现本品能明显降低血液中胆固醇水平
鉴别方法: NMR; MS
检测方法: HPLC
贮存条件: 低温冷藏,避光,密封,干燥
注意事项: 无
有效期限: 2年
供货能力: 现货,可根据可以客户需求批量定制
| 产品名称 | CAS | 规格 |
| 泽泻醇A19885-10-0 | 19885-10-0 | 可按客户需求包装 |
化学纯(CP,蓝标签): 主成分含量高、纯度较高,存在干扰杂质,适用于化学实验和合成制备。
色谱纯(GC):气相色谱分析专用。 质量指标注重干扰气相色谱峰的杂质。主成分含量高。
光谱纯(SP):用于光谱分析。 分别适用于分光光度计标准品、原子吸收光谱标准品、原子发射光谱标准品
电子纯(MOS):适用于电子产品中,电性杂质含量极低。 当量试剂(3N、4N、5N):主成分含量分别为99.9%、99.99%、99.999%以上。
我司提供以下服务:
1.中药提取物的定制和,中药提取物代加工相关服务。
2.中药高含量提取物的工业化高效分离及分离纯化
3.天然产物原料药和中间体的,定制(包括合成,半合成)
泽泻醇A19885-10-0标准品、对照品的问题:
(一)来源:
依照有关规定,中国用于药品成品检验的标准品(对照品)来源有:一是中国药品生物制品检定所提供的标准品(对照品);二是其他国家的标准品(对照品);三是省级以上药品检验所标定,并经同级食 品药品监管局批准的标准品(对照品)。
(二)有效期和使用说明书:
中国药品生物制品检定所提供的标准品(对照品)大部分均无使用说明书和使用期限,大都沿用新的批号出现、旧的批号自动停止的管理方式。
(三)使用过程:
工作标准品(对照品)虽经有关部门认可,但要求有标化日期、复标日期、贮存条件、使用等相关文件规定,并做好相应记录。
(四)验证问题:
按标准品(对照品)管理要求,使用前应对其进行验证,确认无误后方可使用。
(五)开封问题:
对已开封的标准品(对照品)管理方面的问题应做严格的规定,不应同未开封的标准品(对照品)放在一起继续使用,包装上应做好相关标识,说明是否已开封过、何时开封的,内含多少量等相关信息。
订购须知:
1.优势:高效稳定的专业纯化技术,完善的库存及供应体系,高效的销售团队。
2.包装规格:常规包装,如有特殊需求,我们根据客户要求包装。
3.运输方式:默认顺丰快递。
4.质量保证:严格的质量控制,通过全面的检测,是产品质量保证的基础。如有异议经我司确认可无条件退换货。
化妆品三氯蔗糖(sucralose)含量高效液相色谱法定量检测试剂盒20 甾醇(90%) Ergosterol 质量规格:>90%,BR
ELISAKitANGⅡR-1人血管紧张素Ⅱ受体1规格:48T/96T 蔓荆子黄素(标准品) Vitexicarpin 质量规格:HPLC≥98%,标准品
小鼠过氧化物酶体增殖物激活受体α(PPAR-α)ELISA试剂盒 ,英文名: PPAR-α ELISA Kit 芒果苷(标准品) Mangiferin 质量规格:HPLC≥98%,标准品
大鼠血清淀粉样蛋白A(SAA)ELISA检测试剂盒RatSerumamyloidA,SAAELISAKit 96T/48T 芒果苷 Mangiferin 质量规格:≥90%,BR
人表皮生长因子样结构域蛋白7(EGFL7)免疫试剂盒 Human EGFL7 ELISA kit 毛蕊异黄酮(标准品) Calycosin 质量规格:HPLC≥98%,标准品
Raturokinaseplasminogenactivator,uPAELISAKit大鼠尿激酶型纤溶酶原激活物(uPA)ELISA试剂盒规格:96T/48T 毛蕊异黄酮苷(标准品) Calycosin-7-O-β-D-glucoside 质量规格:HPLC≥98%,标准品
NFKAPPABP50蛋白表达ELISA定量检测试剂盒25 没食子儿茶素(标准品) GC; (-)-gallocatechin 质量规格:HPLC≥98%,标准品
PorcineHeatShockProtein70,HSP-70ELISA试剂盒猪热休克蛋白70(HSP-70)ELISA试剂盒规格:96T/48T 没食子儿茶素没食子酸酯(标准品) GCG;(−)-Gallocatechin gallate 质量规格:HPLC≥98%,标准品
小鼠过氧化物酶体生物合成因子2(PEX2)ELISA试剂盒 ,英文名: PEX2 ELISA Kit 没食子酸 Gallic acid 质量规格:>98%,BR
人0酯酶C(PLC)ELISA检测试剂盒HumanPhospholipaseC,PLCELISAKit 96T/48T 没食子酸(标准品) Gallic acid 质量规格:HPLC≥98%,标准品
小鼠黑色素细胞抗体(MC Ab)ELISA试剂盒 ,英文名: MC Ab ELISA Kit 保泰松(标准品) phenylbutazone 质量规格:HPLC>99%,标准品
小鼠黑色素细胞抗体(MCAb)ELISA检测试剂盒Mousemelanocyteaibody,MCAbELISAKit 96T/48T 保泰松 phenylbutazone 质量规格:>98%,USP
小鼠黑素瘤细胞黏附分子(MCAM)ELISA试剂盒 ,英文名: MCAM ELISA Kit 保护胸甙(DMT-T) DMT-dT 质量规格:>98%,BR
小鼠亨廷顿蛋白(HTT)ELISA试剂盒 ,英文名: HTT ELISA Kit 宝藿苷VII HPLC≥98% 20mg
小鼠横纹肌辅肌动蛋白α (sm Actinin-α)ELISA 试剂盒 96T/48T 试剂盒 组装/原装 宝藿苷V HPLC≥98% 20mg
小鼠横纹肌辅肌动蛋白α(sm Actinin-α)ELISA试剂盒 ,英文名: sm Actinin-α ELISA Kit 宝藿苷II;大花淫羊藿苷A;意卡瑞苷A(标准品) Baohuoside II 质量规格:HPLC≥97%,标准品
小鼠红细胞生成素(EPO)ELISA 试剂盒 96T/48T 试剂盒 组装/原装 宝藿苷II;大花淫羊藿苷A;意卡瑞苷A HPLC≥98% 5mg
小鼠红细胞生成素(EPO)ELISA检测试剂盒MouseErythropoietin,EPOELISAKit 96T/48T 宝藿苷I,淫羊藿苷II(标准品) Baohuoside I 质量规格:HPLC≥98%,标准品
小鼠红细胞生成素(EPO)ELISA试剂盒 ,英文名: EPO ELISA Kit 宝藿苷I HPLC≥98% 20mg
小鼠红细胞生成素受体(EPOR)ELISA 试剂盒 96T/48T 试剂盒 组装/原装 薄荷醇(标准品) Menthol 质量规格:HPLC≥98%,标准品
白当归脑(标准品) Byakangelicol 质量规格:HPLC≥98%,标准品 小鼠二酰基甘油(DAG)ELISA试剂盒 ,英文名: DAG ELISA Kit
白当归素(标准品) Byakangelicin 质量规格:HPLC≥98%,标准品 小鼠二酰基甘油(DAG/DG)ELISA试剂盒 ,英文名: DAG/DG ELISA Kit
白果内酯(标准品) (−)-Bilobalide 质量规格:HPLC≥98%,标准品 小鼠二酰基甘油(DAG/DG)ELISA试剂盒 96T/48T 试剂盒 组装/原装
白花前胡醇(标准品) Peucedanol 质量规格:HPLC≥98%,标准品 小鼠法尼酯X受体(FXR)ELISA试剂盒 ,英文名: FXR ELISA Kit
环杷明;环巴胺;去氧芥芬胺(标准品) Cyclopamine 质量规格:HPLC≥98%,标准品;Hh信号通路拮抗剂,作用于Smo 小鼠翻译调节肿瘤蛋白1(TPT1)ELISA试剂盒 ,英文名: TPT1 ELISA Kit
白桦脂醇 Betulin 质量规格:>98%,BR 小鼠泛醌细胞色素C还原酶核心蛋白Ⅱ(UQCRC2)ELISA试剂盒 ,英文名: UQCRC2 ELISA Kit
白桦脂醇(标准品) Betulin 质量规格:HPLC≥98%,标准品 小鼠泛素(Ub)ELISA试剂盒 ,英文名: Ub ELISA Kit
白桦脂醛(标准品) Betulinaldehyde 质量规格:HPLC≥98%,标准品 小鼠泛素蛋白(Ub)ELISA试剂盒 ,英文名: Ub ELISA Kit
白桦脂酸(标准品) Betulinic acid 质量规格:HPLC≥98%,标准品 小鼠泛素结合酶E2A(UBE2A)ELISA试剂盒 ,英文名: UBE2A ELISA Kit
白桦脂酸 Betulinic acid 质量规格:HPLC≥98%,BR 小鼠芳香酶(ARO)ELISA试剂盒 ,英文名: ARO ELISA Kit
泽泻醇A19885-10-0小鼠二肽基肽酶Ⅳ(DPPⅣ)ELISA试剂盒 ,英文名: DPPⅣ ELISA Kit 巴豆苷(标准品) Crotonoside 质量规格:HPLC≥98%,标准品
小鼠二肽基肽酶IV(DPP4/CD26)ELISA试剂盒 ,英文名: DPP4/CD26 ELISA Kit 巴西苏木素(标准品) Brazilin 质量规格:HPLC≥98%,标准品
小鼠二酰甘油-O-酰基转移酶同源物1(DGAT1)ELISA试剂盒 ,英文名: DGAT1 ELISA Kit 菝葜皂苷元(标准品) Sarsasapogenin 质量规格:HPLC≥98%,标准品
小鼠二酰基甘油(DAG)ELISA试剂盒 ,英文名: DAG ELISA Kit 白当归脑(标准品) Byakangelicol 质量规格:HPLC≥98%,标准品
小鼠二酰基甘油(DAG/DG)ELISA试剂盒 ,英文名: DAG/DG ELISA Kit 白当归素(标准品) Byakangelicin 质量规格:HPLC≥98%,标准品
小鼠二酰基甘油(DAG/DG)ELISA试剂盒 96T/48T 试剂盒 组装/原装 白果内酯(标准品) (−)-Bilobalide 质量规格:HPLC≥98%,标准品
小鼠法尼酯X受体(FXR)ELISA试剂盒 ,英文名: FXR ELISA Kit 白花前胡醇(标准品) Peucedanol 质量规格:HPLC≥98%,标准品
小鼠翻译调节肿瘤蛋白1(TPT1)ELISA试剂盒 ,英文名: TPT1 ELISA Kit 环杷明;环巴胺;去氧芥芬胺(标准品) Cyclopamine 质量规格:HPLC≥98%,标准品;Hh信号通路拮抗剂,作用于Smo
小鼠泛醌细胞色素C还原酶核心蛋白Ⅱ(UQCRC2)ELISA试剂盒 ,英文名: UQCRC2 ELISA Kit 白桦脂醇 Betulin 质量规格:>98%,BR
小鼠泛素(Ub)ELISA试剂盒 ,英文名: Ub ELISA Kit 白桦脂醇(标准品) Betulin 质量规格:HPLC≥98%,标准品
风险提示:丁香通仅作为第三方平台,为商家信息发布提供平台空间。用户咨询产品时请注意保护个人信息及财产安全,合理判断,谨慎选购商品,商家和用户对交易行为负责。对于医疗器械类产品,请先查证核实企业经营资质和医疗器械产品注册证情况。
技术资料暂无技术资料 索取技术资料
泽泻醇A19885-10-0
询价










