万千商家帮你免费找货
0 人在求购买到急需产品
- 详细信息
- 文献和实验
- 技术资料
- 库存:
22
- 英文名:
Timosaponin A-III
- CAS号:
41059-79-4
- 保质期:
2年
- 供应商:
江西江蓝纯生物试剂有限公司
- 保存条件:
密封避光保存,2-8℃
- 规格:
20mg
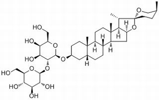
【中文名称】 知母皂苷A-Ⅲ
【英文名称】 Timosaponin A-III
【CAS号 】41059-79-4
【分子式】 C39H64O13
【分子量】 740.92
知母皂苷A-Ⅲ
【溶解度】 甲醇
【性状】 白色结晶粉末
【规格】98%,99% by HPLC
【包装】10mg,20mg,50mg,100mg,1g,100g......或根据客户要求提供相应包装
【干燥失重】≤0.2%
知母皂苷A-Ⅲ
【贮 存】 密封避光保存,2-8℃。
【用途】本品仅用于实验室科研含量测定。
【检测条件】(仅供参考)
【注意事项】本品应在低温干燥保存,特殊产品要在氮气下保存,长时间保存不当含量会有所降低。
【有效期】 2年
风险提示:丁香通仅作为第三方平台,为商家信息发布提供平台空间。用户咨询产品时请注意保护个人信息及财产安全,合理判断,谨慎选购商品,商家和用户对交易行为负责。对于医疗器械类产品,请先查证核实企业经营资质和医疗器械产品注册证情况。
文献和实验小鼠凝血因子ⅩⅢ(ⅩⅢ) 酶联免疫 分析( ELISA ) 试剂 盒使用说明书 本试剂仅供研究使用 目的:本试剂盒用于测定小鼠血清,血浆及相关液体样本中 凝血因子ⅩⅢ(F ⅩⅢ ) 含量。 实验原理 : 本试剂盒应用双抗体夹心法测定 标本 中 小鼠凝血因子ⅩⅢ(F ⅩⅢ ) 水平。用纯化的 小鼠凝血因子ⅩⅢ(F ⅩⅢ ) 抗体包被微孔板,制成固相抗体,往包被单抗的微孔中依次加入 凝血因子ⅩⅢ(F ⅩⅢ
复合物Ⅲ又称CoQH2-细胞色素c 还原酶复合物, 总相对分子质量为250kDa。含1个细胞色素c1、1个细胞色素b(有两个血红素基团)、1个铁硫蛋白,其中细胞色素b由线粒体基因编码。复合物Ⅲ催化电子从辅酶Q向细胞色素c传递,并且每传递一对电子,同时传递4个H 到膜间隙。
又称免疫复合物型变态反应。参加反应的抗体多数是IgG(免疫球蛋白G),有补体参加,因此常可引起严重的组织损伤。目前认为,Ⅲ型变态反应是在一定条件下,可溶性抗原与特异性抗体结合形成免疫复合物。由于抗原与抗体的比例不同,因此所形成的免疫复合物大小不一。当抗体过剩时,形成大分子可溶性免疫复合物,易被吞噬或形成局部过敏坏死现象。当抗原过剩时,形成小分子可溶性免疫复合物,该类复合物可经肾小球滤过排出。而当抗原略大于抗体时,则会形成中等大小的免疫复合物。此类免疫复合物既不易被吞噬清除
技术资料暂无技术资料 索取技术资料










