相关产品推荐更多 >
万千商家帮你免费找货
0 人在求购买到急需产品
- 详细信息
- 文献和实验
- 技术资料
- 库存:
大量
- 英文名:
Indo-1,AM,Cell Permeable
- CAS号:
112926-02-0
- 保质期:
有效期6个月
- 供应商:
翌圣生物科技(上海)股份有限公司
- 保存条件:
-20℃避光干燥保存
- 规格:
50UG
Indo-1是一种细胞生物学常用的钙离子荧光探针,与Fura-2为目前使用最广泛的比率法测定的钙荧光指示剂,Indo-1能特异性地结合Ca2+,同时可发出荧光,结合 Ca2+后的最大发射波长从结合前的475 nm向400 nm(Ca2+饱和时)偏移,该信号变化可被流式细胞仪较好的捕捉:在氩离子激光器的351-364光谱范围内单一波长激发该探针,在400 nm 和475 nm 的波长处分别检测结合钙离子和未结合钙离子的荧光信号,通过二者荧光强度的比率测定钙离子浓度。由于Indo-1是极性大的酸性化合物,无法进入细胞内,为此在其负性基团上结合乙酰氧甲酯,使其成为Indo-1/AM,该变化既增加了酯溶性又消除了负电荷,极大的提高了细胞渗透性。在细胞内,Indo-1/AM被酯酶水解成Indo-1后可与胞浆游离Ca2+可逆性结合。
组分信息
|
组分名称 |
40775ES50 |
40775ES72 |
40775ES80 |
|
Indo-1, AM , Cell Permeant 细胞可渗透钙离子荧光探针 |
50 μg |
5×50 μg |
1 mg |
产品性质
|
CAS 号(CAS NO.) |
112926-02-0 |
|
分子式(Molecular Fomular) |
C47H51F2N3O22 |
|
分子量(Molecular Weight) |
1009.91 |
|
Ex/Em(nm, Ca2+-bound) |
346/475 |
|
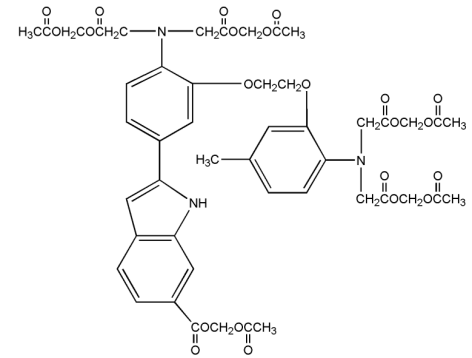
结构式(Structure) |
|
储存条件
室温运输。-20℃避光干燥保存,可保存1年。
使用说明
- Indo-1/AM储存液的配制
利用高质量无水DMSO溶解Indo-1/AM配制成2 - 5 mM的储存液,该储存液可分装于-20℃避光干燥密封保存,最长可保存6个月,但是避免反复冻融,建议分装保存。每次使用前需回温至室温。
- Indo-1/AM工作液的配制
利用合适缓冲液(如HHBS)将Indo-1/AM稀释成2 - 20 μM的工作液,并添加0.04% Pluronic F-127和有机阴离子转运抑制剂probenecid(0.5 - 1 mM)。
注:① 对于大多数细胞系,建议最终浓度为4 - 5 μM的Indo-1/AM。细胞加载所需的指示剂的确切浓度必须根据经验确定。
② Indo-1/AM工作液需现配现用,避免反复冻存。
③ Pluronic F-127 可以防止Indo-1/AM在缓冲液中聚合并能帮助其进入细胞。
- 取出预培养的细胞,除去培养基,使用缓冲液洗涤细胞3次。
注:如果使用含血清的培养基,血清中的酯酶会降低Indo-1/AM进入细胞的效果。另外含有酚红的培养基会使本底值略微偏高,所以加工作液之前需尽量去除培养基残留。
- 将 Indo-1/AM工作液加入细胞,加入量以覆盖细胞为准。在37℃培养30 - 60 min。
- 用缓冲液(如HHBS)洗涤细胞 3 次,以充分去除残留的Indo-1/AM工作液。然后加入缓冲液覆盖细胞。
- 数字成像显微镜检测细胞。
注:某些细胞具有自体荧光会影响结果分析,需使用未加载探针细胞做对照,在结果分析时在同一波长下扣除自荧光。
注意事项
1. 本产品仅作科研用途。
2. 为了您的安全和健康,请穿实验服并佩戴一次性手套操作。
3. 荧光染料均存在淬灭问题,请尽量注意避光,以减缓荧光淬灭。
4. 乙酰氧基甲基酯(Acetoxymethylester,AM)容易吸潮,从冰箱取出后,请确认在干燥的环境放至室温后再开封。由于试剂极其微量,开封前请将其短暂离心,以保证粉末落入管底
5. 第一次使用时,建议母液现配现用。且溶解后的试剂尽可能在短时间内使用,以保证实验效果。
6. 母液遇水极易分解,若单次不能用完,建议分装保存,例如5μL/管,用封口膜封口,并严格做到≤-20℃密封干燥保存。
7. 建议您在正式实验前先摸索一下细胞量、钙离子荧光探针的终浓度、培养时间等,找到最佳实验条件。
Ver.CN20241124
风险提示:丁香通仅作为第三方平台,为商家信息发布提供平台空间。用户咨询产品时请注意保护个人信息及财产安全,合理判断,谨慎选购商品,商家和用户对交易行为负责。对于医疗器械类产品,请先查证核实企业经营资质和医疗器械产品注册证情况。
文献和实验[1] Cai L, Chen Q, Yao Z, Sun Q, Wu L, Ni Y. Glucocorticoid receptors involved in melatonin inhibiting cell apoptosis and NLRP3 inflammasome activation caused by bacterial toxin pyocyanin in colon. Free Radic Biol Med. 2021;162:478-489. doi:10.1016/j.freeradbiomed.2020.11.003(IF:6.170)
相关专题 在正常细胞中,磷脂酰丝氨酸只分布在细胞膜 脂质双层的内侧,细胞发生凋亡早期,膜磷脂酰丝氨酸(PS)由脂膜内侧翻向外侧。Annexin V是一种磷脂结合蛋白,与磷脂酰丝氨酸有高度亲和力,故可通过细胞外侧暴露的磷脂酰丝氨酸与凋亡早期细胞的胞膜结合。因此Annexin V被作为检测细胞早期凋亡的灵敏指标之一。 在细胞发生凋亡时,膜磷脂酰丝氨酸外翻的发生早于细胞核 的变化,而此阶段Propidium Iodide
在正常细胞中,磷脂酰丝氨酸只分布在细胞膜脂质双层的内侧,细胞发生凋亡早期,膜磷脂酰丝氨酸(PS)由脂膜内侧翻向外侧。Annexin V是一种磷脂结合蛋白,与磷脂酰丝氨酸有高度亲和力,故可通过细胞外侧暴露的磷脂酰丝氨酸与凋亡早期细胞的胞膜结合。因此Annexin V被作为检测细胞早期凋亡的灵敏指标之一。在细胞发生凋亡时,膜磷脂酰丝氨酸外翻的发生早于细胞核的变化,而此阶段Propidium Iodide(PI)不能通过细胞膜。细胞坏死时,虽然也会发生磷脂酰丝氨酸外翻,但此时细胞膜的通透性明显
相关专题 从低等生物草履虫以至高等哺乳动物的各种细胞,都具有类似的细胞膜 结构。在电镜下可分为三层,即在膜的靠内外两侧各有一条厚约2.5nm的电子致密带,中间夹有一条厚2.5nm的透明带,总厚度约7.0~7.5nm左右这种结构不仅见于各种细胞的细胞膜,亦见于各种细胞器的膜性结构,如线粒体膜、内质网膜、溶酶体膜等,因而它被认为是一种细胞中普遍存在的基本结构形式。 各种膜性结构主要由脂质、蛋白质和糖类等物质组成;尽管不













