相关产品推荐更多 >
万千商家帮你免费找货
0 人在求购买到急需产品
- 详细信息
- 文献和实验
- 技术资料
- 库存:
100
- 供应商:
上海羽朵
- 英文名:
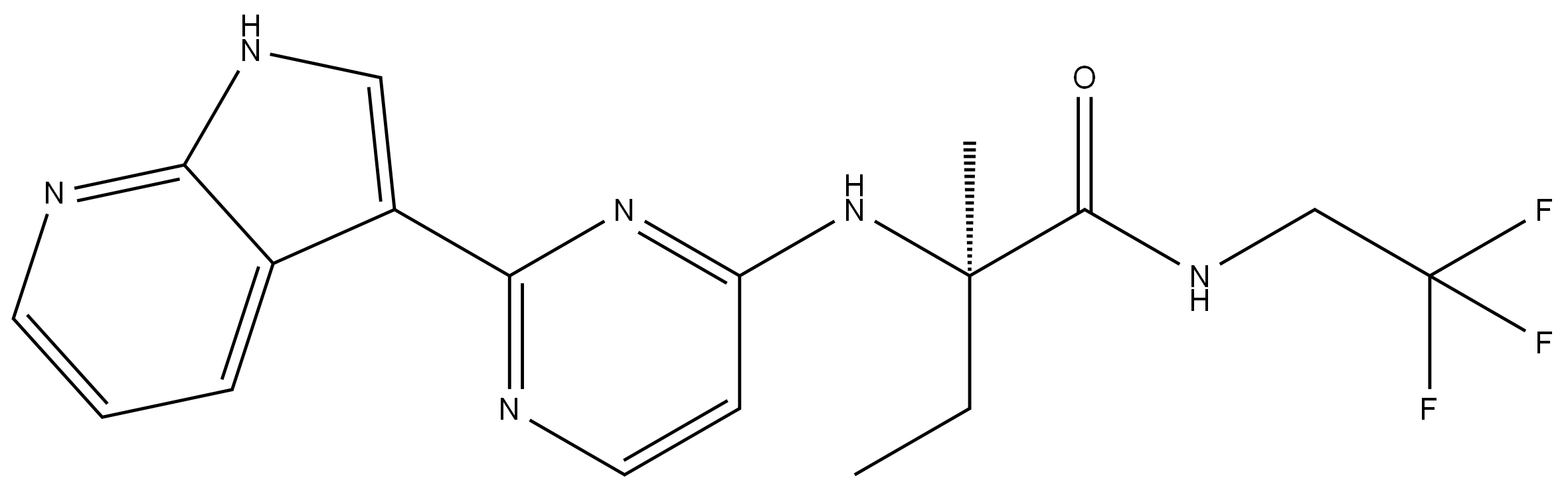
Decernotinib(VX-509)
- 规格:
1g
| 中文名称: | N/A |
| 中文同义词: | CS-1650 |
| 英文名称: | Decernotinib |
| 英文同义词: | Decernotinib;Decernotinib(VX-509);(R)-2-((2-(1H-Pyrrolo[2,3-b]pyridin-3-yl)pyrimidin-4-yl)amino)-2-methyl-N-(2,2,2-trifluoroethyl)butanamide;(2R)-2-Methyl-2-[[2-(1H-pyrrolo[2,3-b]pyridin-3-yl)-4-pyrimidinyl]amino]-N-(2,2,2-trifluoroethyl)butanamide;VRT 831509;VX 509;Decernotinib (VX-509,adelatinib);Butanamide, 2-methyl-2-[[2-(1H-pyrrolo[2,3-b]pyridin-3-yl)-4-pyrimidinyl]amino]-N-(2,2,2-trifluoroethyl)-, (2R)- |
| CAS号: | 944842-54-0 |
| 分子式: | C18H19F3N6O |
| 分子量: | 392.3782696 |
| EINECS号: | -0 |
| 相关类别: | 抑制剂;小分子抑制剂;小分子抑制剂,天然产物;Inhibitors |
| Mol文件: | 944842-54-0.mol |
![]() |
|
| EGF816 | 1508250-71-2 |
| Z-因多昔芬盐酸盐 | 1032008-74-4 |
| 恩曲替尼 | 1108743-60-7 |
| EPZ015666 | 1616391-65-1 |
| 呋喹替尼 | 1194506-26-7 |
| 2-环戊基-4-(5-苯基-1H-吡-咯并[2,3-B]吡啶-3-基)苯甲酸 | 890842-28-1 |
| 伐司扑达 | 121584-18-7 |
| 1-(6,7-二氢-5H-苯并[6,7]环庚-烷并[1,2-C]哒嗪-3-基)-N3-[(7S)-6,7,8,9-四氢-7-(1-吡-咯烷基)-5H-苯并环-庚烯-2-基]-1H-1,2,4-三唑-3,5-二胺 | 1037624-75-1 |
| N/A | 1029044-16-3 |
| G007-LK | 1380672-07-0 |
| RAPASTINEL | 117928-94-6 |
风险提示:丁香通仅作为第三方平台,为商家信息发布提供平台空间。用户咨询产品时请注意保护个人信息及财产安全,合理判断,谨慎选购商品,商家和用户对交易行为负责。对于医疗器械类产品,请先查证核实企业经营资质和医疗器械产品注册证情况。
文献和实验CD54 分子 CD54 常用单克隆抗体或代号: WEHI- CAMI,OKT27;(ICAM- 1) 主要表达细胞: 广泛 [AS] 分子质量(kDa)和结构: gp90- 115(IgSF) 功 能: 与LFA- 1、Mac- 1和CD43结合,细胞间粘附,鼻病毒受体,En上恶性疟原虫受体 CD54 Aka ICAM-1 (intercellular adhesion
实验54 刺激支配膀胱的神经引起的反应 【目的要求】 观察膀胱活动的神经调节。 【基本原理】 支配膀胱的神经为盆神经与腹下神经。盆神经兴奋可引起膀胱逼尿肌收缩和内括约肌松弛,促使膀胱排尿。腹下神经对逼尿肌活动没有明显作用,但能使内括约肌紧张性增强,阻止排尿。 【动物与器材】 兔、手术台、常用手术器械、刺激器、保护电极、20
开机自检与自校:本仪器具备计算机自检与波长自校正功能,开机后显示窗两侧8灯会亮,指示进入自检与自校状态,约5分钟。预热:仪器开机自检与自校成功后,应30分钟预热后才能进行测定工作。如紧急应用时请注意随时调0%T,调100%T。重调100%基线:目的是精校100%基线。调整时机:要对某波段范围作精密波长扫描曲线前;扣除参考样品背景时或示差分析;开机一定时间后;操作程序如下:(1)在样品室通光位上置入参考样品;(2)在起始波长、结束波长、波长间隔三标尺下用▲或▼确定起始波长、结束波长、波长间隔参数
技术资料暂无技术资料 索取技术资料






