相关产品推荐更多 >
万千商家帮你免费找货
0 人在求购买到急需产品
- 详细信息
- 文献和实验
- 技术资料
- 库存:
100
- 供应商:
上海羽朵
- 英文名:
VER155008
- 规格:
1g
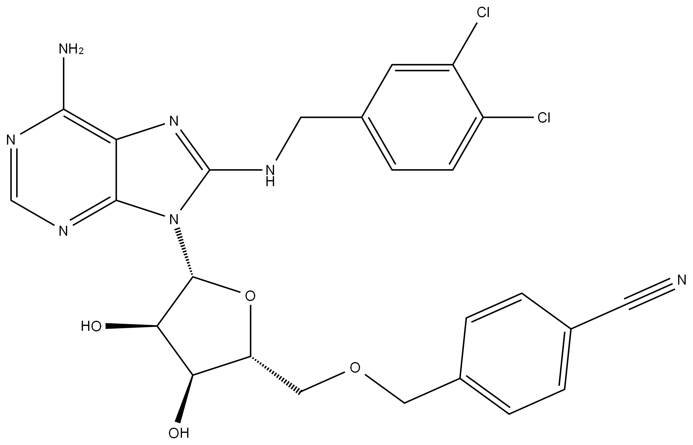
| 中文名称: | VER 155008 |
| 中文同义词: | CS-1647;5'-O-[(4-青基苯基)甲基]-8-[[(3,4-二氯苯基)甲基]氨基]腺苷 |
| 英文名称: | 5'-O-[(4-Cyanophenyl)methyl]-8-[[(3,4-dichlorophenyl)methyl]amino]-adenosine |
| 英文同义词: | 5'-O-[(4-Cyanophenyl)methyl]-8-[[(3,4-dichlorophenyl)methyl]amino]-adenosine;HSP70 inhibitor;VER 155008;4-((((2R,3S,4R,5R)-5-(6-aMino-8-((3,4-dichlorobenzyl)aMino)-9H-purin-9-yl)-3,4-dihydroxytetrahydrofuran-2-yl)Methoxy)Methyl)benzonitrile;8-(3,4-Dichlorobenzyl)aMino-5'-O-(4-cyanobenzyl)adenosine;4-{(2R,3S,4R,5R)-5-[6-aMino-8-(3,4-dichlorobenzylaMino)purin-9-yl]-3,4-dihydroxytetrahydrofuran-2-ylMethoxyMethyl}benzonitrile;VER 155088 |
| CAS号: | 1134156-31-2 |
| 分子式: | C25H23Cl2N7O4 |
| 分子量: | 556.40062 |
| EINECS号: | |
| 相关类别: | 核苷;- |
| Mol文件: | 1134156-31-2.mol |
![]() |
|
| VORAPAXAR | 618385-01-6 |
| VORELOXIN | 175414-77-4 |
| ZM 447439 | 331771-20-1 |
| 马立马司他 | 154039-60-8 |
| N-乙酰基-N-甲基-L-异亮氨酰-L-异亮氨酰-N-[(1S)-3-甲基-1-[[(2R)-2-甲基-2-环氧-乙烷基]羰基]丁基]-L-苏氨酰胺 | 134381-21-8 |
| 3-[(1R)-2-(二甲基氨基)-1-甲基乙氧基]-5-[[4-甲氧基-5-(1-甲基-1H-吡唑-4-基)-2-吡啶基]氨基]-2-吡嗪甲腈 | 1404095-34-6 |
| 帕利瑞韦 | 1221573-85-8 |
| 阿洛司他丁 | 88321-09-9 |
| [4'-[3-甲基-4-[[[((R)-1-苯基乙基)氧基]羰基]氨基]异恶唑-5-基]联-苯-4-基]乙酸 | 1228690-36-5 |
| N/A | 297730-17-7 |
| 4-[4-氟-3-[(4-甲氧基哌定-1-基)羰基]苄基]酞嗪-1(2H)-酮 | 1174043-16-3 |
风险提示:丁香通仅作为第三方平台,为商家信息发布提供平台空间。用户咨询产品时请注意保护个人信息及财产安全,合理判断,谨慎选购商品,商家和用户对交易行为负责。对于医疗器械类产品,请先查证核实企业经营资质和医疗器械产品注册证情况。
文献和实验老帖子,请指教。 个人浅见,且作引玉之砖。 “公欲善其事,必先利其器”,得到外文期刊全文后,选择一个称心的词典工具不可或缺。目前流行的的几个医学翻译词典,包括网际金典-全医药学大词典(robword,最新版本为v3.2 professional)、金山词霸2002、朗道电脑字典&翻译系统Ver 5.0,还有一些人用东方快车。个人用过前面3个词典,谈点个人看法,仅作参考,欢迎讨论。 robword3.2 pro 优点: 1、即指即译适应范围广,对一般的txt、doc
我要检测一个受体蛋白,提取的脑组织,Trizol提取组织RNA,加异丙醇离心后能见到明显的沉淀,按照TakaRa 的RNA LA PCR KIT(AMV) VER.1.1说明书操作,在逆转录后PCR不再加dNTP。逆转录后PCR用actin引物能模糊扩出一些东西,但有两条以上的带(第二次都快扩成100bpMARKER了!)。目的片段干干净净什么都没有!目的片断的引物一个是外国文献上的,一个 是自己设计的,都没有扩出来。 小弟还菜,想大家给点建议,体系、PCR过程、胶图如下: 逆转
in the stir bar. 13.Bring the vlume up t 1 liter by adding mre f the Lysis buffer. 14.Add Tritn-X100 t a final cncentratin f 2% by vlume. Nte: The Tritn-X-100 will nt disslve immediately.It will g int slutin slwly ver night. 15.Stir gently ver night
技术资料暂无技术资料 索取技术资料










