相关产品推荐更多 >
万千商家帮你免费找货
0 人在求购买到急需产品
- 详细信息
- 文献和实验
- 技术资料
- 库存:
100
- 供应商:
上海羽朵
- 英文名:
TPX-0005
- 规格:
1g
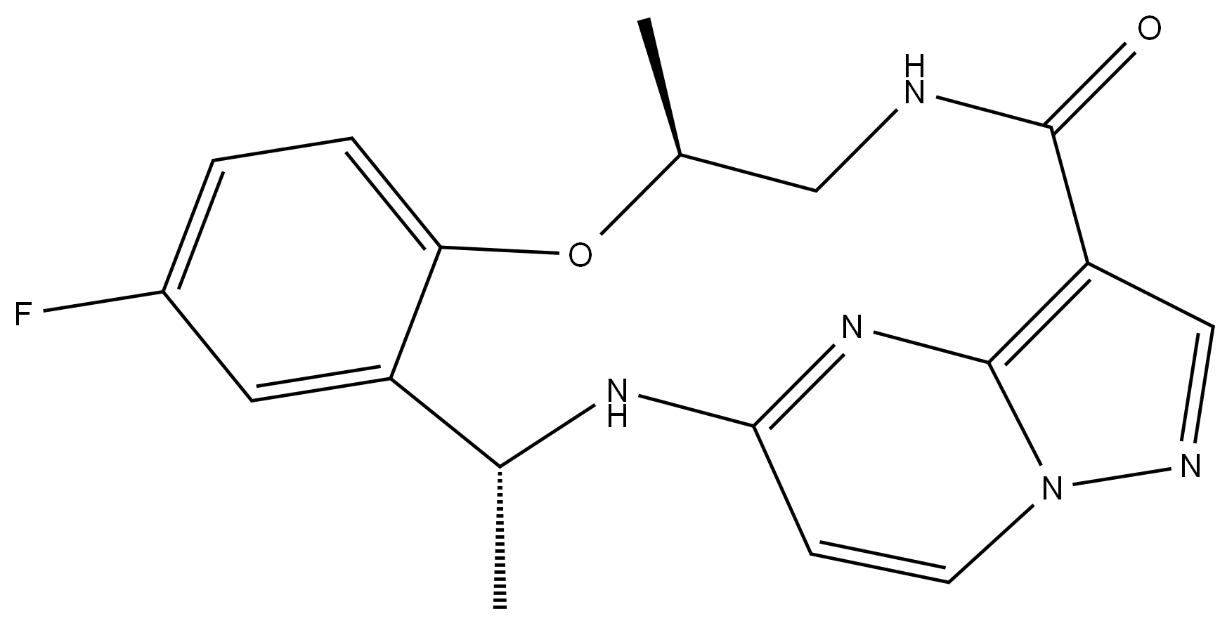
| 中文名称: | 洛普替尼 |
| 中文同义词: | CS-2479;洛普替尼(TPX-0005);洛普替尼 |
| 英文名称: | TPX-0005 |
| 英文同义词: | Repotrectinib,TPX-0005;Repotrectinib;Repotrectinib(TPX-005);TPX-0005;1,15-Etheno-1H-pyrazolo[4,3-f][1,4,8,10]benzoxatriazacyclotridecin-4(5H)-one,11-fluoro-6,7,13,14-tetrahydro-7,13-dimethyl-, (7S,13R)- |
| CAS号: | 1802220-02-5 |
| 分子式: | C18H18FN5O2 |
| 分子量: | 355.3662232 |
| EINECS号: | |
| 相关类别: | 化工-;- |
| Mol文件: | 1802220-02-5.mol |
![]() |
|
| Vadadustat | 1000025-07-9 |
| NBI-98854 | 1025504-45-3 |
| VH298 | 2097381-85-4 |
| WZB-117 | 1223397-11-2 |
| PVM/MA共聚物 | 1644545-52-7 |
| AX-024 HCL | 1370544-73-2 |
| AZD3839 | 1227163-84-9 |
| CS-2627 | 1610759-22-2 |
| COBICISTAT (GS-9350) | 1004316-88-4 |
| DELPAZOLID | 1219707-39-7 |
| N-[2-(叔丁基)苯基]-2-氧代甘氨酰-N-[(1S)-1-(羧基甲基)-2-氧代-3-(2,3,5,6-四氟-苯氧基)丙基]-L-丙氨酰胺 | 254750-02-2 |
风险提示:丁香通仅作为第三方平台,为商家信息发布提供平台空间。用户咨询产品时请注意保护个人信息及财产安全,合理判断,谨慎选购商品,商家和用户对交易行为负责。对于医疗器械类产品,请先查证核实企业经营资质和医疗器械产品注册证情况。
文献和实验散点基本在一直线上,故可认为该地20岁健康男大学生的身高服从正态分布。 如果没有正态概率纸,则可根据各组段累计频率,从附表19-4百分率与概率单位对照表上查出表19-15第(5)栏(即累计频率单位),然后把第(1)、(5)栏数据标在方格坐标纸上,所得散点图(图19-5)与图19-4一致。 图19-4 表18-1资料用正态概率纸 图19-5 表18-2资料用概率单位作图 作正态性检验 行正态性检验 附表19-1 t值表
三句话读懂一篇 CNS,胎盘其实更像肿瘤组织,可能是遗传缺陷和不良妊娠之源...
Translational Medicine 杂志上发表论文 Small extracellular vesicles containing miR-486-5p promote angiogenesis after myocardial infarction in mice and nonhuman primates,报道了 间充质干细胞(MSC)分泌的小细胞外囊泡通过 miR-486-5p 促进小鼠和非人类灵长类动物心肌梗死后的血管生成,从而保护梗死心脏的心功能。小小的身体,大大的能量,小细胞外囊泡未来可期! 图
三句话读懂一篇 CNS,伟哥能延长寿命,昆虫偷窃植物基因,基因治疗预防肿瘤转移,...
论文 Association of Phosphodiesterase-5 Inhibitors Versus Alprostadil With Survival in Men With Coronary Artery Disease,研究比较了前列地尔和 PDE5 抑制剂(伟哥、万艾可或希爱力)对稳定性冠状动脉疾病患者的影响,结果显示患有罹患该疾病的男性,如果因阳痿而服用了伟哥,不仅能降低心脏病新发作的风险,也可能延长了预期寿命。 图 6. 来源 JACC 7. Cell: 昆虫体内出现植物特有的基因 昆虫和植物可谓
技术资料暂无技术资料 索取技术资料









