相关产品推荐更多 >
万千商家帮你免费找货
0 人在求购买到急需产品
- 详细信息
- 文献和实验
- 技术资料
- 库存:
100
- 供应商:
上海羽朵
- 英文名:
Cyclosporin G
- 规格:
1g
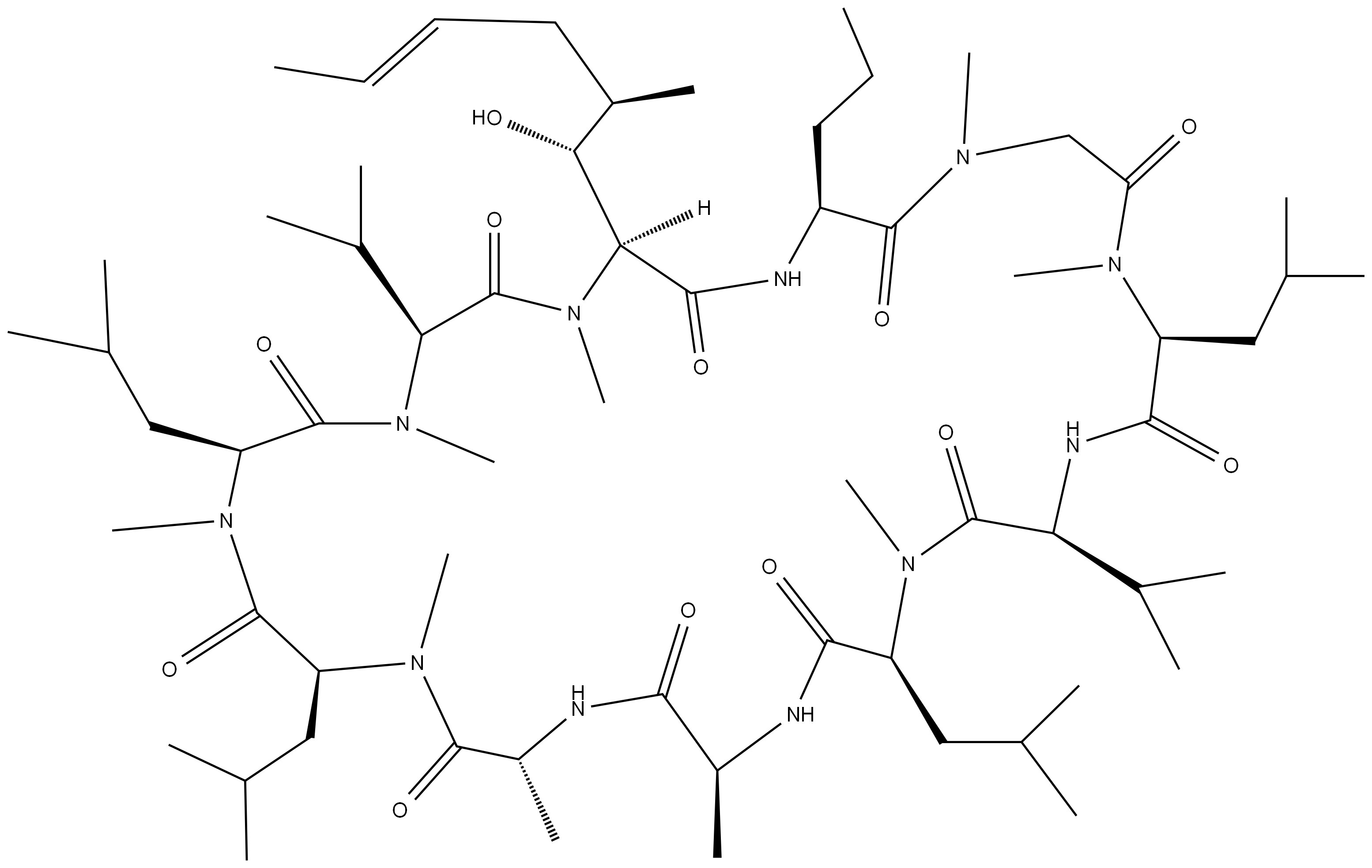
| 中文名称: | 吉环孢素 |
| 中文同义词: | 环孢素杂质7;环孢素杂质G;环孢菌素G;CS-2592;吉环孢素 |
| 英文名称: | Geclosporin |
| 英文同义词: | Cyclosporin Impurity G;Geclosporin;cyclosporin G;(3R,4R)-3-Hydroxy-N-methyl-5-[(E)-1-propenyl]-cyclo(L-Leu-L-Nva-Sar-N-methyl-L-Leu-L-Val-N-methyl-L-Leu-L-Ala-D-Ala-N-methyl-L-Leu-N-methyl-L-Leu-N-methyl-L-Val-);Cyclo(((2S,3R,4R,6E)-3-hydroxy-4-methyl-2-(methylamino)-6-octenoyl)-L-norvalyl-N-methylglycyl-N-methyl-L-leucyl-L-valyl-N-methyl-L-leucyl-L-alanyl-D-alanyl-N-methyl-L-leucyl-N-methyl-L-leucyl-N-methyl-L-valyl);Cyclosporin A, 7-L-norvaline-;Cyclosporine Impurity G;Cyclosporine G/Cyclo[L-alanyl-D-alanyl-N-methyl-L-leucyl-N-methyl-L-leucyl-N-methyl-L-valyl-(3R,4R,6E)-6,7-didehydro-3-hydroxy-N,4-dimethyl-L-2-aminooctanoyl-L-norvalyl-N-methylglycyl-N-methyl-L-leucyl-L-valyl-N-methyl-L-leucyl] |
| CAS号: | 74436-00-3 |
| 分子式: | C63H113N11O12 |
| 分子量: | 1216.65 |
| EINECS号: | |
| 相关类别: | 对照品-杂质对照品;医药原料;杂质- |
| Mol文件: | 74436-00-3.mol |
![]() |
|
| 达索曲林盐酸盐 | 675126-08-6 |
| 6'-[(6-氨基-4-嘧啶基)氨基]-8'-甲基螺[环己烷-1,3'(2'H)-咪唑并[1,5-A]吡啶]-1',5'-二酮 | 1849590-01-7 |
| FEVIPIPRANT | 872365-14-5 |
| 3-[1-[3-(二甲基氨基)丙基]-5-甲氧基-1H-吲哚-3-基]-4-(1H-吲哚-3-基)-1H-吡-咯-2,5-二酮 | 133053-19-7 |
| 4-甲氧基-N-(2,4,6-三甲基苯)苯磺酰胺,97% | 349085-82-1 |
| GSK2269557 | 1254036-77-5 |
| CS-2455 | 409345-29-5 |
| 2-([1,1-联-苯]-4-基氨基甲酰)苯甲酸 | 4727-31-5 |
| 3,4-二氢-9-羟基-[1]苯并噻吩并[2,3-F]-1,4-硫氮杂卓-5(2H)-酮 | 1233533-04-4 |
| KR-33494 | 1021497-97-1 |
| CS-2581 | 1956356-56-1 |
风险提示:丁香通仅作为第三方平台,为商家信息发布提供平台空间。用户咨询产品时请注意保护个人信息及财产安全,合理判断,谨慎选购商品,商家和用户对交易行为负责。对于医疗器械类产品,请先查证核实企业经营资质和医疗器械产品注册证情况。
文献和实验Isolation of Genomic DNA from Milk using the Tissue DNA Kit (pdf, 126.00 KB)
water suction pump. 2) Heat the milk to 37o C for 15 minutes. Mix the milk few times during incubation. 3) Transfer the milk to the centrifuge tube and centrifuge at 6000 x g for 10 minutes. A solid fatty clot will be present
上海西唐生物科技有限公司 021-55229872, 65333639 www.westang.com 人干扰素- g (I FN - g )ELISA 试剂盒 ( 用于血清、血浆、细胞培养上清液和其它生物体液内 ) 原理 本实验采用双抗体夹心 ABC-ELISA 法。用抗人 IFN- g 单抗包被于酶标板上,标准品和样品中的 IFN- g 与单抗结合,加入生物
上海西唐生物科技有限公司 021-55229872, 65333639 www.westang.com 兔干扰素- g (I FN - g )ELISA 试剂盒 ( 用于血清、血浆、细胞培养上清液和其它生物体液内 ) 原理 本实验采用双抗体夹心 ABC-ELISA 法。用抗兔 IFN- g 单抗包被于酶标板上,标准品和样品中的 IFN- g 与单抗结合,加入生物
技术资料暂无技术资料 索取技术资料







