相关产品推荐更多 >
万千商家帮你免费找货
0 人在求购买到急需产品
- 详细信息
- 文献和实验
- 技术资料
- 库存:
100
- 供应商:
上海羽朵
- 英文名:
GS7340
- 规格:
1g
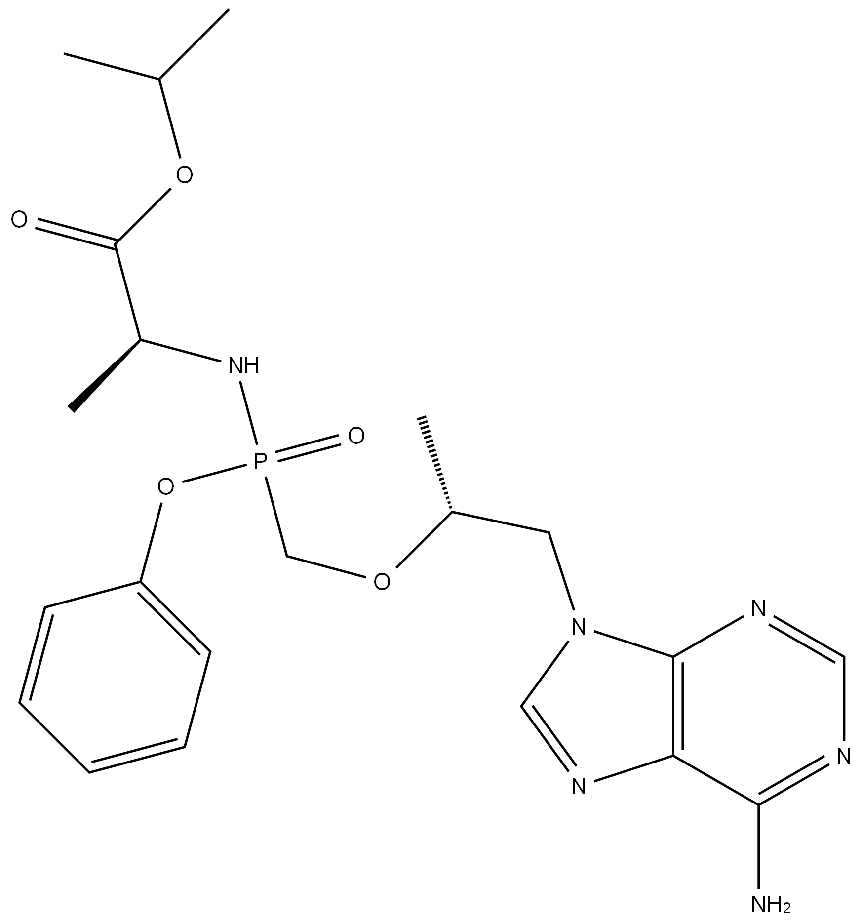
| 中文名称: | GS-7340 |
| 中文同义词: | CS-1724;泰诺福韦艾拉酚胺游离碱;磷丙替诺福韦(别名:GS7340);替诺福韦艾拉酚胺 250MG;替诺福韦艾拉酚胺富马酸盐 1392275-56-7;磷丙替诺福韦;泰诺福韦富马酸酯;泰诺福韦艾拉酚胺(GS-7340) |
| 英文名称: | Tenofovir Alafenamide |
| 英文同义词: | Tenofovir Alafenamide free base;L- Alanine,N-[(S)-[[(1R)-2-(6-;N-[(S)-[[(1R)-2-(6-amino-9H-purin-9-yl)-1-methylethoxy] methyl]phenoxyphosphinyl]-L-alanine 1-methylethyl;(2S)-isopropyl 2-((((((R)-1-(6-amino-9H-purin-9-yl)propan-2-yl)oxy)methyl)(phenoxy)phosphoryl)amino)propanoate;GS-7340;phenyl hydrogen ((((S)-1-(6-amino-9H-purin-9-yl)propan-2-yl)oxy)methyl)phosphonate;N-[[S(P)]-[2-(Adenin-9-yl)-1(R)-methylethoxymethyl](phenoxy)phosphoryl]-L-alanine isopropyl ester;Tenofovir Impurity 51 |
| CAS号: | 379270-37-8 |
| 分子式: | C21H29N6O5P |
| 分子量: | 476.465921 |
| EINECS号: | 1592732-453-0 |
| 相关类别: | 对照品-杂质对照品;医药原料药;医药化工类-;抑制剂;原料药;小分子抑制剂;小分子抑制剂,天然产物;Inhibitors;Intermediate -;- |
| Mol文件: | 379270-37-8.mol |
![]() |
|
| ORG275695-氯-3-乙基-N-[2-[4-(1-哌定基)苯基]乙基-1H-吲哚-2-甲酰胺 | 868273-06-7 |
| 环孢霉素D | 63775-96-2 |
| 4-氨基-N-[(1S)-1-(4-氯苯基)-3-羟基丙基]-1-(7H-吡-咯并[2,3-D]嘧啶-4-基)-4-哌定甲酰胺 | 1143532-39-1 |
| NVP-231 | 362003-83-6 |
| RG120 | 1448347-49-6 |
| 达诺司他 | 404951-53-7 |
| X 396 | 1365267-27-1 |
| (3E,5E)-3,5-二[(4-硝基-苯基)亚甲基]-1-(1-氧代-2-丙烯-1-基)-4-哌定酮 | 1009817-63-3 |
| Oclacitinib | 1208319-26-9 |
| FL118 | 151636-76-9 |
| 依克立达 | 143664-11-3 |
风险提示:丁香通仅作为第三方平台,为商家信息发布提供平台空间。用户咨询产品时请注意保护个人信息及财产安全,合理判断,谨慎选购商品,商家和用户对交易行为负责。对于医疗器械类产品,请先查证核实企业经营资质和医疗器械产品注册证情况。
文献和实验前段时间,小编的一位朋友为了升职称,辛辛苦苦写了第一篇英文,准备投篇SCI,说是印度的某个杂志,有去年的影响因子,接受率很高。小编听到后,赶快检索了下,却发现该杂志近期已被 SCI 数据库剔除,还好及时制止了那位朋友。1为此,小编特地查询并整理了过去的 12 个月里,已被 SCI 数据库动态剔除或停止检索的杂志,共37本!包括:生物医学类 19 本,工程技术类 8 本,化学类 2 本,物理类 1 本,数学类 4 本,综合类 1 本等。 2那么,杂志被剔除 SCI 的原因,通常有哪些呢?① 自引
CD37 分子 CD37 常用单克隆抗体或代号: HD28,HH1 主要表达细胞: B,(T,M,G) [B] 分子质量(kDa)和结构: gp40- 52(TM4- SF) 功 能:参与信号转导 CD37 Possibly involved in signal transduction, belongs to tetraspanin family Positive
到妊娠37周时,胎儿神经系统逐渐发育成熟并为分娩做准备。堆积在皮下的脂肪层此时更加丰满以便在胎儿出生后调节体温。 子宫可处于阵发性不规则紧缩状态,并将胎儿卷缩成球状。因此胎儿不能进行你早些时候所感觉的那种大的胎动。由于不是整个胎体的滚动,你会感到在肋骨的一侧有胎儿的踢动。 胎儿肺泡表面覆盖表面活性物质。此物质类似泡沫的泡泡。胎儿出生后,这种物质会保持肺泡在每次呼气后部分膨胀。没有它,肺脏将会塌陷,肺泡壁就会像被吸空的塑料一样粘在一起
技术资料暂无技术资料 索取技术资料









