相关产品推荐更多 >
万千商家帮你免费找货
0 人在求购买到急需产品
- 详细信息
- 文献和实验
- 技术资料
- 库存:
100
- 供应商:
上海羽朵
- 英文名:
RO4987655(CH-4987655)
- 规格:
1g
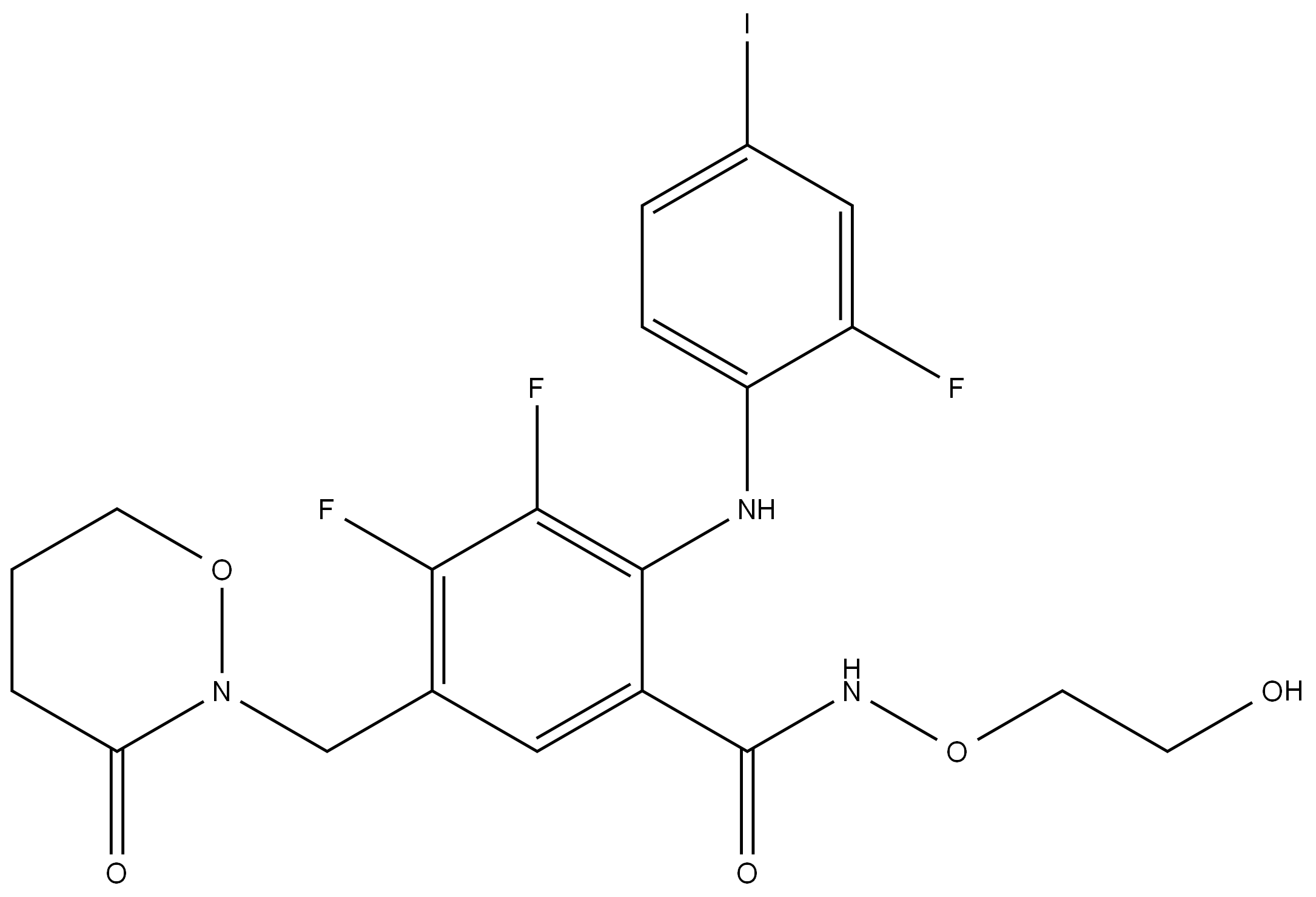
| 中文名称: | RO4987655(CH4987655) |
| 中文同义词: | 中文同义词:3,4-二氟-2-[(2-氟-4-碘苯基)氨基]-N-(2-羟基乙氧基)-5-[(3-氧代-[1,2]恶嗪-2-基)甲基]苯甲酰胺;3,4-二氟-2-[(2-氟-4-碘苯基)氨基]-N-(2-羟基乙氧基)-5-[(3-氧代-[1,2]恶嗪-2-基)甲基]苯甲酰胺;CS-1468 |
| 英文名称: | 3,4-difluoro-2-(2-fluoro-4-iodophenylaMino)-N-(2-hydroxyethoxy)-5-((3-oxoMorpholino)Methyl)benzaMide |
| 英文同义词: | 3,4-Difluoro-2-(2-fluoro-4-iodoanilino)-N-(2-hydroxyethoxy)-5-[(3-oxo-2-oxazinanyl)methyl]benzamide;CH4987655(RO4987655);3,4-difluoro-2-(2-fluoro-4-iodophenylaMino)-N-(2-hydroxyethoxy)-5-((3-oxoMorpholino)Methyl)benzaMide;RO4987655(CH4987655);2-((2,4-difluorophenyl)aMino)-3,4-difluoro-N-(2-hydroxyethoxy)-5-((3-oxo-1,2-oxazinan-2-yl)Methyl)benzaMide;3,4-Difluoro-2-[(2-fluoro-4-iodophenyl)amino]-N-(2-hydroxyethoxy)-5-[(3-oxo-[1,2]oxazinan-2-yl)methyl]benzamide;CH-4987655 |
| CAS号: | 874101-00-5 |
| 分子式: | C20H19F3IN3O5 |
| 分子量: | 565.2816396 |
| EINECS号: | |
| 相关类别: | |
| Mol文件: | 874101-00-5.mol |
![]() |
|
| N/A | 1884220-36-3 |
| KPT-330 | 1393477-72-9 |
| 2-[3-[4-[(1H-吲唑-5-基)氨基]喹唑啉-2-基]苯氧基]-N-异丙基乙酰胺 | 911417-87-3 |
| SRT3109 | 1204707-71-0 |
| N/A | 724741-75-7 |
| N/A | 1055412-47-9 |
| N-(1,1-二甲基乙基)-3-[[5-甲基-2-[[4-(4-甲基-1-哌嗪基)苯基]氨基]-4-嘧啶基]氨基]苯磺酰胺 | 936091-14-4 |
| N,N'-双(2-溴乙基)二氨基膦-酸 (1-甲基-2-硝基-1H-咪唑-5-基)甲酯 | 918633-87-1 |
| TRAM-34 | 289905-88-0 |
| 芜地溴铵 | 869113-09-7 |
| 5-(2-氧代-2-苯基乙氧基)-1(2H)-异喹-啉酮 | 1048371-03-4 |
风险提示:丁香通仅作为第三方平台,为商家信息发布提供平台空间。用户咨询产品时请注意保护个人信息及财产安全,合理判断,谨慎选购商品,商家和用户对交易行为负责。对于医疗器械类产品,请先查证核实企业经营资质和医疗器械产品注册证情况。
文献和实验MSB4-1/4:M1:O5:O5-WP 价格待回 LFU-1/4 539132 379.00 VAM-40-V1/0-R1/8-EN 537810 DPA-40-D 549396 价格待回 VN-10-H-T3-PQ2-VQ2-RO1 193490 CPE14-PRS-3/8-2 543830 LFR-3/8-D-7-MINI 162704 价格待回 CPE14-M1CH-5L-1/8 550237 价格待回
. (2 Q Q 6 ) C o -b o m b a rd m en t , in teg ra tio n a n dexp ressio n o f rice ch itin a se a n d th a u m a tin -like p ro tein g en es in b a rley ( Hordeum vulgare cv. C o rd o n ) . PlantCell R ep ., in p ress. 25. S ch
化的,包括功能降低或功能缺失,这对于发现新基因和进行功能基因组学研究可能是一个有用的特征。完全沉默编码基本细胞功能的重要基因或细胞特殊发育阶段的关键基因可能导致植物死亡,而这些基因的降低表达可能引起可见的植物表型,揭示目的基因的作用。 注 9 : 与大麦相比,小麦中的白化表型通常表现为条纹状而不是整张叶片都白化 [34]。 注 10 : 与大麦相比,BSMV: 00 对照病毒在小麦中引起的相关症状较轻。不同基因型的大麦对 BSMV 侵染的感病性不同,然而不同品系的小麦一致地易于 BSMV
技术资料暂无技术资料 索取技术资料









