相关产品推荐更多 >
万千商家帮你免费找货
0 人在求购买到急需产品
- 详细信息
- 文献和实验
- 技术资料
- 库存:
100
- 供应商:
上海羽朵
- 英文名:
PKC412
- 规格:
1g
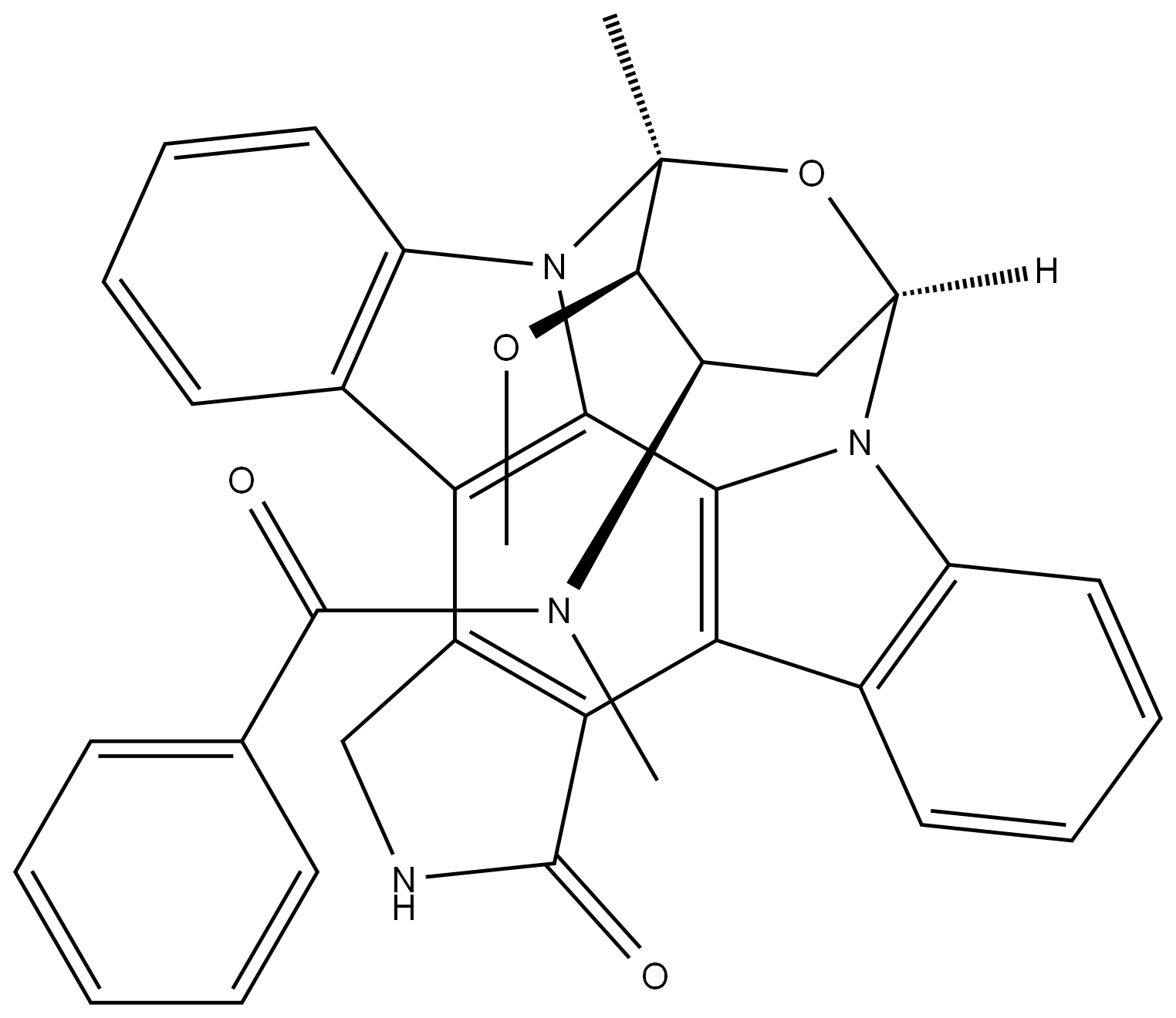
| 中文名称: | 米哚妥林 |
| 中文同义词: | CGP 41251MIDOSTAURIN(PKC412);PKC-412, CGP-41251;苯甲酰基十字孢碱;米哚妥林;苯甲酰基十字孢碱(PKC-412);米哚妥林,来源于星形孢菌素;米朵妥林;米哚妥林/PKC 412 |
| 英文名称: | Midostaurin |
| 英文同义词: | 4'-N-benzoylstaurosporine;Midostaurin, Benzoylstaurosporine, 4'-N-Benzoylstaurosporine, CGP 41251;Benzamide, N-((9S,10R,11R,13R)-2,3,9,10,11,12-hexahydro-10-methoxy-9-methyl-1-oxo-9,13-epoxy-1H,9H-diindolo(1,2,3-gh:3',2',1'-lm)pyrrolo(3,4-J)(1,7)benzodiazonin-11-yl)-N-methyl-;Benzamide, N-(2,3,9,10,11,12-hexahydro-9-methoxy-8-methyl-1-oxo-8,12-epoxy-1H,8H-2,7B,12A-triazadibenzo(A,G)cyclonona(cde)trinden-10-yl)-N-methyl-, (8alpha,9beta,10beta,12alpha)-;Benzoylstaurosporine;Cgp 41 251;Cgp 41251;Cgp-41251 |
| CAS号: | 120685-11-2 |
| 分子式: | C35H30N4O4 |
| 分子量: | 570.646 |
| EINECS号: | 999-999-2 |
| 相关类别: | 生化试剂;科研试剂-;医药原料药-科研原料;antibiotic;- |
| Mol文件: | 120685-11-2.mol |
![]() |
|
| 2-(1,1-二甲基乙基)-9-氟-1,6-二氢-7H-苯并[H]咪唑并[4,5-F]异喹-啉-7-酮 | 457081-03-7 |
| 5-(2-氯苯基)-7-氟-1,2-二氢-8-甲氧基-3-甲基吡唑并[3,4-B][1,4]苯并二氮杂卓 | 882531-87-5 |
| RO4987655(CH4987655) | 874101-00-5 |
| N/A | 1884220-36-3 |
| KPT-330 | 1393477-72-9 |
| 2-[3-[4-[(1H-吲唑-5-基)氨基]喹唑啉-2-基]苯氧基]-N-异丙基乙酰胺 | 911417-87-3 |
| SRT3109 | 1204707-71-0 |
| N/A | 724741-75-7 |
| N/A | 1055412-47-9 |
| N-(1,1-二甲基乙基)-3-[[5-甲基-2-[[4-(4-甲基-1-哌嗪基)苯基]氨基]-4-嘧啶基]氨基]苯磺酰胺 | 936091-14-4 |
| N,N'-双(2-溴乙基)二氨基膦-酸 (1-甲基-2-硝基-1H-咪唑-5-基)甲酯 | 918633-87-1 |
风险提示:丁香通仅作为第三方平台,为商家信息发布提供平台空间。用户咨询产品时请注意保护个人信息及财产安全,合理判断,谨慎选购商品,商家和用户对交易行为负责。对于医疗器械类产品,请先查证核实企业经营资质和医疗器械产品注册证情况。
文献和实验trick 现在大部分的文章做到PKC的活化都是通过western检测磷酸化,这个我也做过,但是不太明显,所以想从pkc转位这个角度做它的活化研究。。 但是看了一些文献和综述,conventional pkc和novel pkc这样检测他们的活化都是没有问题的,但是有的综述上说atypical pkc的活化是不发生转位的,因为它相对与前2者缺乏一个佛波酯激活域,但是我也看到一些文献做atypical pkc的活化也是通过做他的转位的,就很困
11-脱氧皮质〔甾〕酮 11-deoxycorticosterone
C21 H30 O3 , 21-羟基孕烯 -4-二酮 -3, 20。也单称脱氧皮质〔甾〕酮,或缩写 DOC。是副肾皮质激素的一种,具有糖代谢作用。由副肾皮质细胞的微粒体的 21-羟化酶的作用,从黄体酮进行生物合成的。其乙酸酯缩写为 DOCA,应用于临床。由于在副肾皮质细胞的线粒体中的 11β -羟化酶的作用可生成皮质酮,所以通常也认为是一种中间体。
licanming 请问有无人用过assaydesigns公司的PKC Kinase Activity Assay Kit(cat NO:EKS-420A)?可否说一下应用的经验?注意事项等?还有,该试剂盒的说明书有几处地方不是很懂,请大家帮忙看一下: 1、To avoid cross contamination, change disposable pipette tips between the addition of each standard
技术资料暂无技术资料 索取技术资料








