相关产品推荐更多 >
万千商家帮你免费找货
0 人在求购买到急需产品
- 详细信息
- 文献和实验
- 技术资料
- 库存:
100
- 供应商:
上海羽朵
- 英文名:
Givinostat (ITF2357)
- 规格:
1g
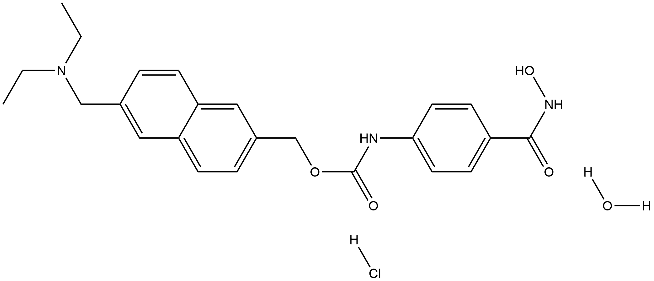
| 中文名称: | Givinostat (ITF2357) |
| 中文同义词: | N-[4-[(羟基氨基)羰基]苯基]氨基甲酸 [6-[(二乙基氨基)甲基]-2-萘基]甲酯盐酸盐水合物;吉维司他;CS-1443 |
| 英文名称: | Givinostat (ITF2357) |
| 英文同义词: | ITF2357;ITF2357 (Givinostat);N-[4-[(Hydroxyamino)carbonyl]phenyl]carbamic acid [6-[(diethylamino)methyl]-2-naphthalenyl]methyl ester hydrochloride hydrate;(6-((diethylamino)methyl)naphthalen-2-yl)methyl 4-(hydroxycarbamoyl)phenylcarbamate hydrochloride hydrate;Givinostat (hydrochloride monohydrate);Givinostat Hydrochloride Hydrate;Givinostat (ITF2357) HCl monohydrate |
| CAS号: | 732302-99-7 |
| 分子式: | C24H30ClN3O5 |
| 分子量: | 475.9651 |
| EINECS号: | |
| 相关类别: | 小分子抑制剂,天然产物;细胞骨架信号;Inhibitor;Inhibitors |
| Mol文件: | 732302-99-7.mol |
![]() |
|
| GSK2801 | 1619994-68-1 |
| GSK2879552 | 1401966-69-5 |
| N/A | 1229652-21-4 |
| 伊沙匹隆 | 219989-84-1 |
| JH-II-127 | 1700693-08-8 |
| LX7101 | 1192189-69-7 |
| 5-[2-(叔丁基)-4-(4-氟-苯基)-1H-咪唑-5-基]-3-(2,2-二甲基丙基)-3H-咪唑并[4,5-B]吡啶-2-胺甲磺酸盐 | 862507-23-1 |
| N/A | 946518-60-1 |
| LY-3009120 | 1454682-72-4 |
| MK-5108 (VX-689) | 1010085-13-8 |
| 2-氯-6-[(2R)-3-[[1,1-二甲基-2-(2-萘基)乙基]氨基]-2-羟基丙氧基]苯腈 | 284035-33-2 |
风险提示:丁香通仅作为第三方平台,为商家信息发布提供平台空间。用户咨询产品时请注意保护个人信息及财产安全,合理判断,谨慎选购商品,商家和用户对交易行为负责。对于医疗器械类产品,请先查证核实企业经营资质和医疗器械产品注册证情况。
文献和实验3vR/ItjqGiMCbiUA0t3gz0Y5lRQQiAhGBiMD+jQD+29hktoCXiCwuKRRkMeChUCjYmvXr7K6f/MQ+9PE/EVHO2fEixWPGjNH1hj3/zLP2vksuRdnr9HD+3Hl280032Pjx4239+vUitb22aNEi+8GVP7RF99xt4yaMtcOPmG5Z2fj2y21bRTPpcjJnrsiW+ahjjraRo0eJsJespb3Ntm3drvLkRaLaZ6mCNMnbeiwvLxz/erlIdYvkzMm5m
A Survey of Copy‐Number Variation Detection Tools Based on High‐Throughput Sequencing Data
., Meyerson, M., and Lander, E.S. 2009. High‐resolution mapping of copy‐number alterations with massively parallel sequencing. Nat. Methods 6:99‐103. Conrad, D.F., Pinto, D., Redon
技术资料暂无技术资料 索取技术资料











