相关产品推荐更多 >
万千商家帮你免费找货
0 人在求购买到急需产品
- 详细信息
- 文献和实验
- 技术资料
- 库存:
38
- 英文名:
Saikosaponin B1
- CAS号:
58558-08-0
- 保质期:
详见说明书
- 供应商:
上海邦景
- 保存条件:
低温冷藏
- 规格:
20mg/支
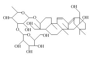
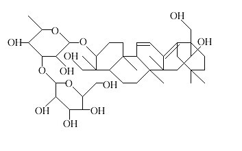
产品名称: 柴胡皂苷B158558-08-0进口
英文名: Saikosaponin B1
CAS登录号: 58558-08-0
分子式: C42H68O13
分子量: 780.47
外观: 白色无定形粉末
分子结构:
规格: 20mg/支
纯度: ≥ 98%
用途: 用于含量测定/鉴定/药理实验等。
提取来源: 伞形科植物柴胡.Bupleurum chinense DC.或狭叶柴胡Bupleurumscorzonerifolium Willd.的干燥根。
熔点: 207-208℃
药理药效: 柴胡皂苷具有解热、镇静、抗炎、免疫调节、抗病毒、抗肝纤维化、抗肿瘤等药理活性。
贮存条件: 4℃冷藏、密封、避光
有效期: 2年
标准品和对照品概述:
柴胡皂苷B158558-08-0进口药品检验用标准品和对照品,根据2005年版《中华人 民共和国药典》中的定义,系指用于鉴别、检查、含量测定 的标准物质。
2005年版《中华人民共和国药典》的凡例规定,标准 品、对照品(不包括色谱用的内标物质)均有药品监 督管理部门指定的单位制备、标定和供应。标准品系指用 于生物检定、抗生素或生化药品中含量或效价测定的标准 物质,按效价单位(或 g)计,以国际标准品进行标定;对照 品除另有规定外,均按干燥品(或无水物)进行计算后使 用。对照品、标准品的建立或变更其原有活性成分的含量, 应与原对照品、标准品或国际标准品进行对比,并经过协作 标定和一定的工作程序进行技术审定。
对照品实验方法与判定:
1. 柴胡皂苷B158558-08-0进口对照品溶液的稳定性
2.对照品溶液的配制:精密量取脑对照品适量,加无水乙醇制成每1ml含脑1mg的溶液,作为对照品溶液。
3.色谱条件:以交联键合聚乙二醇为固定相的毛细管柱;柱温120℃;进样口温度250℃;检测器温度250℃;分流进样,分流比10:1。理论塔板数按脑计算应不低于10000。
4.实验方法:配制的对照品溶液,一份置冷处保存,一份置室温中保存,在第1、3、7、10、15天重新配制一份对照品溶液,三种储备液同时稀释制成每1ml中约含50ug的溶液。照气相色谱法,并依据新对照品的峰面积计算原对照品溶液的含量。记录下来,保证原对照品溶液含量在考察期相对平均偏差不超过2.0%,验证对照品溶液在使用期内稳定可靠。
我司提供以下服务:
1. 柴胡皂苷B158558-08-0进口中药提取物的定制研发和生产,中药提取物代加工相关服务。
2.中药高含量提取物的工业化高效分离及分离纯化生产
3.天然产物原料药和中间体的生产,定制(包括合成,半合成)
订购须知:
1. 柴胡皂苷B158558-08-0进口优势:高效稳定的专业纯化技术,完善的库存及供应体系,高效的销售团队。
2.包装规格:常规包装,如有特殊需求,我们根据客户要求包装。
3.运输方式:默认顺丰快递,大宗货物走德邦物流。
4.质量保证:严格的质量控制,通过全面的检测,是产品质量保证的基础。如有异议经我司确认可无条件退换货。
公司凭着高品质高质量的 柴胡皂苷B158558-08-0进口,优惠的价格,多年的专业,良好的服务态度赢得众多科研工作者的信赖和好评。公司旨在为客户提供更优质的产品和更满意的服务。点击进入了解更多公司产品。
人滋养层绒毛细胞总RNAHVT NA偏苯三酸酐(>95.0%(T))Trimellitic Anhydride质量规格:>95.0%(T)
小鼠神经皮质细胞(MN-c)(1×106)2,4-二氨基-6-异丙氧基-1,3,5-三嗪(>98.0%(T))2,4-Diamino-6-isopropoxy-1,3,5-triazine质量规格:>98.0%(T)
家猫皮肤细胞;FCA-S12,4-二氨基-1,3,5-三嗪(>98.0%(T))2,4-Diamino-1,3,5-triazine质量规格:>98.0%(T)
小鼠B细胞杂交瘤细胞;W6/32 小鼠成年表皮角质形成层细胞完全培养基 100mL2,4-氨基-6-甲氧基-1,3,5-三嗪(>98.0%(T))2,4-Diamino-6-methoxy-1,3,5-triazine质量规格:>98.0%(T)
SF9, 昆虫卵巢细胞 其它2,4-二氨基-6-二甲氨基-1,3,5-三嗪(>98.0%(T))2,4-Diamino-6-dimethylamino-1,3,5-triazine质量规格:>98.0%(T)
CTSD Others Human 人 Cathepsin D / CTSD 人细胞裂解液 (阳性对照) Ac-rC亚磷酰胺单体Ac-rC Phosphoramidite质量规格:>98%,BR
DLD-1 人结直肠腺癌上皮细胞Rp-腺苷 3′,5′-环单硫代磷酸酯钠盐Rp-Adenosine 3′,5′-cyclic Monophosphorothioate, Sodium Salt 质量规格:美国进口
CMVECs微血管内皮细胞 CMVECs micro vascular endothelial cells DMEM+10%FBSSp--腺苷 3′,5′-环单硫代磷酸酯 三乙基铵盐水合物Sp-Adenosine 3',5'-cyclic monophosphorothioate triethylammonium salt hydrate 质量规格:美国进口
TNFSF12 Protein Rat 重组大鼠 TNFSF12 蛋白 (Fc 标签)2-甲基硫代二磷酸腺苷2-(Methylthio)adenosine 5'-diphosphate 3sodium salt hydrate 质量规格:美国进口
人小梁网细胞(HTMC)(5×105) 3T3-L1, 小鼠前脂肪细胞 Mouse腺苷-2',3'-环磷酸 三乙基铵盐Adenosine 2',3'-Cyclic Phosphate Triethylammonium Salt 质量规格:美国进口
rRTEC, 大鼠肾小管上皮细胞 Rattus土霉素质量规格:≥95%,BROxytetracycline
SMOC1 Others Human 人 SMOC1 人细胞裂解液 (阳性对照) 土霉素(进分)质量规格:930u/mg,进分Oxytetracycline
EB病毒转化的人B淋巴细胞;Mao钆标准溶液(1000μg/ml)质量规格:1000μg/mlGadolinium standard
PROK1 Others Human 人 EG-VEGF / prokineticin-1 杆状病毒-昆虫细胞裂解液 (阳性对照) 钆标准溶液(1000µg/mL,基体:10%HCl)质量规格:1000µg/mL,基体:10%HClGadolinium standard
CL-0404NCI-H596(人肺腺鳞癌细胞)5×106cells/瓶×2钬标准溶液(1000μg/ml,溶剂:1.0Mol/L HNO3)质量规格:1000μg/ml,溶剂:1.0Mol/L HNO3Holmium solution
柴胡皂苷B158558-08-0进口人肺腺癌细胞;Calu-3 大鼠气管上皮细胞完全培养基 100mL甘草次酸(β型),18beta-甘草次酸质量规格:>98%18-beta-glycyrrheticacid
支气管上皮细胞Many types of cells包装:5 × 105次方(1ml)甘草次酸(β型),18beta-甘草次酸(标准品)质量规格:HPLC>98%,标准品18-beta-glycyrrheticacid
REG1A Others Cynomolgus 食蟹猴 REG1A / PSPS 人细胞裂解液 (阳性对照) OXOID胰蛋白胨质量规格:BR,进口Tryptone
中国仓鼠卵巢细胞(亚系克隆);CHO-DUKXB11-prepro-TGFβ1 Cdna-TGF-β1 Dinding Protein cDNAβ-萘黄酮质量规格:>99%,进分β-Naphthoflavone
SK-MES-1细胞,人肺鳞癌细胞 狗肾细胞,MDCK细胞 CM-M066小鼠膀胱成纤维细胞完全培养基100mL石斛碱(标准品)质量规格:HPLC≥97%,标准品Dendrobine
风险提示:丁香通仅作为第三方平台,为商家信息发布提供平台空间。用户咨询产品时请注意保护个人信息及财产安全,合理判断,谨慎选购商品,商家和用户对交易行为负责。对于医疗器械类产品,请先查证核实企业经营资质和医疗器械产品注册证情况。
文献和实验本文针对艾德莱生物RNA提取产品选择指南(仅供参考)首先询问客户提取的大致种类,是动物组织细胞?植物?血液样品?真菌?细菌?病毒?酵母?不同的种类应该选择不同的产品。动物组织细胞(1) RN01 TRIpure reagent,这个就是Invitrogen的TRIzol,我们质量完全和进口一样可以100%替代进口TRIzol。(2) RN04 总RNA提取试剂盒。这款就是TRIzol,只是把TRIzol配套使用的氯仿,异丙醇,70%乙醇,DEPC处理的水和配全了。等于
DZF-6030A 生物专用 DZF-6030B DZF-6050B 电源电压 AC220V 50HZ 输入功率 1400W
DZF-6030A 生物专用 DZF-6030B DZF-6050B 电源电压 AC220V 50HZ 输入功率 1400W
技术资料暂无技术资料 索取技术资料









