相关产品推荐更多 >
万千商家帮你免费找货
0 人在求购买到急需产品
- 详细信息
- 文献和实验
- 技术资料
- 保存条件:
常温避光保存
- 保质期:
2年
- 库存:
大量现货
- 供应商:
上海钦诚生物
- CAS号:
122965-41-7
- 规格:
10mg
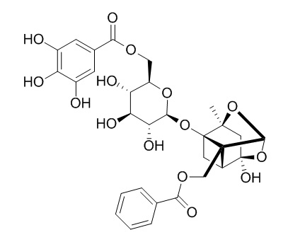
dioxacyclobuta[cd]pentalen-1a(2H)-yl, 6-(3,4,5-trihydroxybenzoate)
分 子 式:C30 H32 O15
分 子 量:632.57
C A S号:122965-41-7
纯 度:HPLC≥98%
沸 点(预测值):887.7±65.0 °C | Condition: Press: 760 Torr
密度:1.74±0.1 g/cm3 | Condition: Temp: 20 °C Press: 760 Torr
酸度系数pKa:7.84±0.25 | Condition: Most Acidic Temp: 25 °C
储存条件:2-8°C,干燥、避光、密封
风险提示:丁香通仅作为第三方平台,为商家信息发布提供平台空间。用户咨询产品时请注意保护个人信息及财产安全,合理判断,谨慎选购商品,商家和用户对交易行为负责。对于医疗器械类产品,请先查证核实企业经营资质和医疗器械产品注册证情况。
文献和实验刷新认知!Nature Genetics 报道血型是如何决定肠道微生物组成的
菌群的影响 与 O 型或 FUT2 非分泌型个体相比,拟杆菌 OTU97_27 在非 O 血型(A, B 或 AB)或 FUT2 分泌型的个体中表现出更高的患病率。 为了进一步评估 ABO 血型与微生物特征之间的关系,研究人员探究了 ABO 血型和 FUT2 分泌与微生物特征之间的关联。结果显示,在五个人群队列的四个中,非 O 血型(A, B 或 AB)和 FUT2 分泌与 OTU97_27 细菌的患病率呈正相关。值得注意的是,以 OTU97_12、OTU99_12 和 TestASV_13 为代表
-mediated genome engineering. Cell 154(6):1370-1379. doi: 10.1016/j. cell.2013.08.022 25. DiCarlo JE, Norville JE, Mali P, Rios X, AachJ, Church GM (2013) Genome engineering inSaccharomyces cerevisiae using CRISPR-Cas systems. Nucleic Acids Res 41
kinases activate the serine/threonine kinases M n k l and M n k 2 . EMBO J. 16, 1909-1920. 13. Fujita, H., Fujita, H., Takemura, M., et al. (2003) A n ArabidopsisM A D S - b o x protein, A G L 2 4 , is specifically bound to and phosphorylated
技术资料暂无技术资料 索取技术资料










