相关产品推荐更多 >
万千商家帮你免费找货
0 人在求购买到急需产品
- 详细信息
- 文献和实验
- 技术资料
- 保存条件:
常温避光保存
- 保质期:
2年
- 库存:
大量现货
- 供应商:
上海钦诚生物
- CAS号:
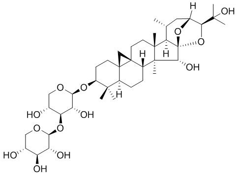
152685-91-1
- 规格:
20mg
| 分子式 = 分子量 | C40H64O13 = 752.9 |
| 产品纯度 | >=98% |
| 物理属性 | Powder |
| 化合物类型 | Triterpenoids |
| 植物来源 | The root of Saposhnikovia divaricata (Turcz.) Schischk. |
储存与注意事项
1. 在您收到产品后请检查产品。如无问题,请将产品存入冰箱并且样品瓶保持密封,产品可以存放长达24个月(2-8摄氏度)。
2. 只要有可能,产品溶解后,您应该在同一天应用于您的实验。 但是,如果您需要提前做预实验,或者需要全部溶解,我们建议您将溶液以等分试样的形式存放在-20℃的密封小瓶中。 通常,这些可用于长达两周。 使用前,打开样品瓶前,我们建议您将产品平衡至室温至少1小时。
风险提示:丁香通仅作为第三方平台,为商家信息发布提供平台空间。用户咨询产品时请注意保护个人信息及财产安全,合理判断,谨慎选购商品,商家和用户对交易行为负责。对于医疗器械类产品,请先查证核实企业经营资质和医疗器械产品注册证情况。
文献和实验化,其他已知细胞松弛素 B还可抑制糖的输送,可以考虑细胞松弛素 B与细胞膜间的相互作用。此外还分离出数种具有类似结构和功能的物质,分别命名为细胞松弛素 A、 C、 D、 E、 F。
细胞色素b563 cytochrome b563 亦称细胞色素 b6 。存在于高等植物至藻类的叶绿体中,与类囊体膜结合紧密。含有原正铁血红素,氧化还原 (β带)和 434nm(γ带或 So- ret带)。为发动光合磷酸化的环状电子传递系统的一个成分,可被光化系统Ⅰ所还原和氧化。
位于 A层以下、 C层以上的某种形式受成土因子的影响而形成的独特层次。一般来说, B层较 A层腐殖质含量少,多呈黄棕至红棕色。在湿润气候条件下有粘土、铁、铝等从 A层淋溶下来,在干燥气候条件下则有盐分从下层上升,两者都在 B层淀积,因此该层也称淀积层( illuvial horizon)。
技术资料暂无技术资料 索取技术资料










