相关产品推荐更多 >
万千商家帮你免费找货
0 人在求购买到急需产品
- 详细信息
- 文献和实验
- 技术资料
- 保存条件:
常温避光保存
- 保质期:
2年
- 库存:
大量现货
- 供应商:
上海钦诚生物
- CAS号:
63550-99-2
- 规格:
20mg
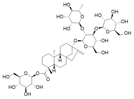
中文别称:瑞鲍迪甙C;莱苞迪甙C;甜菊苷C
英文名称:Rebaudioside C
英文别名:Dulcoside B; Rebaudioside C
CAS号:63550-99-2
分子式:C44H70O22
分子量:
纯度: HPLC≥98%
储存条件: 2-8°C,干燥、避光、密封
规格: 20mg 50mg 100mg 500mg 1g 2g等应客户需求包装.
提取来源:菊科植物甜叶菊叶子。
鉴定方法:Mass, NMR
熔点: 186-188 °C | Condition: Solv: methanol
用途:用于含量测定、鉴别、药理实验、活性筛选等。
风险提示:丁香通仅作为第三方平台,为商家信息发布提供平台空间。用户咨询产品时请注意保护个人信息及财产安全,合理判断,谨慎选购商品,商家和用户对交易行为负责。对于医疗器械类产品,请先查证核实企业经营资质和医疗器械产品注册证情况。
文献和实验三句话读懂一篇 CNS:复旦大学研究表明,种花、种草有助预防多种疾病;打呼噜可能增加老年痴呆的风险
,创新性地使 Td-CGBE 能高效精确地诱导 C 到 G 的转换,并通过课题组前期开发最高灵敏度 CBE 脱靶检测技术 Detect-seq,证明 Td-CBEs 相较于 BE4max 展现接近背景水平的更低的脱靶效应,即编辑窗口更窄、脱靶率更低。 图 2:来源 Nature Biotechnology 3. Nature Communications:揭示 CRISPR-Cas9 的祖先 IscB-ωRNA 的结构和功能机制 基于 CRISPR 的基因编辑技术被广泛地应用于临床治疗遗传
溴代异丁烷 1-Bromo-2-methylpropane CAS#:78-77-3 分子式:C4H9Br 结构式: 分子量:137.03 性状:无色透明液体 熔点:-117.4℃ 沸点:91℃ 相对密度:1.26 闪点:21℃ 水份:≤0.1% 含量:≥99% PH值:6-8
尔化学奖延斯·克里斯蒂安·斯科(Jens Christian Skou)也去世了,享年 99 岁。Jens 的主要贡献是发现了细胞膜上钠钾泵。1997 年诺贝尔奖获得者 Paul.D.Boyer (左)和 Jens.C.Skou (右)△ 图源:UCLA,AARHUS UNIVERSITY八个月以前(2018年,2月18号),1999 年诺贝尔生理或医学奖得主,洛克菲勒大学教授京特·布洛贝尔( Günter Blobel )逝世,享年 81 岁。又是一个陌生的名字。他的最重要的贡献就是蛋白质细
技术资料暂无技术资料 索取技术资料










