相关产品推荐更多 >
万千商家帮你免费找货
0 人在求购买到急需产品
- 详细信息
- 文献和实验
- 技术资料
- 保存条件:
常温避光保存
- 保质期:
2年
- 库存:
大量现货
- 供应商:
上海钦诚生物
- CAS号:
34367-04-9
- 规格:
20mg
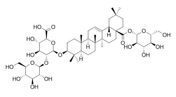
中文名称:人参皂苷Ro
中文别名:竹节参苷V
英文名称:Ginsenoside Ro
英文别称:Chikusetsusaponin V (8CI); Chikusetsusaponin 5; Ginsenoside Ro; Polysciasaponin P3
分子式:C48 H76 O19
分子量:957.11
CAS号:34367-04-9
纯度: HPLC≥98%
外观:白色结晶粉末
溶解性:易溶于水、甲醇、乙醇,不溶于苯。
沸点:1018.6±65.0°C
密度:1.44±0.1克/立方厘米|条件:温度:20°C
pKa:2.76±0.70 |条件:酸性最强温度:25°C
储存条件: 2-8°C,干燥、避光、密封
规格: 20mg 50mg 100mg 500mg 1g 2g等应客户需求包装.
提取来源:五加科植物人参Panax ginseng C. A. Mey.的干燥根。
药理药效:人参具有大补元气,滋补强壮,安神益智,生津,复脉固脱等功效。现代医学普遍认为人参对中枢神经系统、心血管系统、消化系统、免疫系统、内分泌系统、泌尿生殖系统有广泛的作用,从而可提高人体力、智力的活动能力,增强机体对有害刺激的非特异性抵抗力。
检测条件:10-45min完成:水10:90-45:55(0.1%磷酸)的梯度洗脱,UV203nm,C18(250nm,5u)(仅供参考)。
用途: 用于含量测定、鉴别、药理实验、活性筛选等.
中文名称:人参皂苷Ro
中文别名:竹节参苷V
英文名称:Ginsenoside Ro
英文别称:Chikusetsusaponin V (8CI); Chikusetsusaponin 5; Ginsenoside Ro; Polysciasaponin P3
分子式:C48 H76 O19
分子量:957.11
CAS号:34367-04-9
纯度: HPLC≥98%
外观:白色结晶粉末
溶解性:易溶于水、甲醇、乙醇,不溶于苯。
沸点:1018.6±65.0°C
密度:1.44±0.1克/立方厘米|条件:温度:20°C
pKa:2.76±0.70 |条件:酸性最强温度:25°C
储存条件: 2-8°C,干燥、避光、密封
规格: 20mg 50mg 100mg 500mg 1g 2g等应客户需求包装.
提取来源:五加科植物人参Panax ginseng C. A. Mey.的干燥根。
药理药效:人参具有大补元气,滋补强壮,安神益智,生津,复脉固脱等功效。现代医学普遍认为人参对中枢神经系统、心血管系统、消化系统、免疫系统、内分泌系统、泌尿生殖系统有广泛的作用,从而可提高人体力、智力的活动能力,增强机体对有害刺激的非特异性抵抗力。
检测条件:10-45min完成:水10:90-45:55(0.1%磷酸)的梯度洗脱,UV203nm,C18(250nm,5u)(仅供参考)。
用途: 用于含量测定、鉴别、药理实验、活性筛选等.
风险提示:丁香通仅作为第三方平台,为商家信息发布提供平台空间。用户咨询产品时请注意保护个人信息及财产安全,合理判断,谨慎选购商品,商家和用户对交易行为负责。对于医疗器械类产品,请先查证核实企业经营资质和医疗器械产品注册证情况。
文献和实验相关实验
-phosphoric acid mobile phase(168:682:150:1.68, V/V) with 0.8 ml/min flow rate, the detected wavelength(210 nm) and the column temperature (25℃) were adopted. Results:Ursolic acid showed good linear relationship in the range of 0.92~16.56 μg(r=0.999
技术资料暂无技术资料 索取技术资料
Ginsenoside Ro 人参皂苷Ro,竹节参苷V,CAS:34367-04-9
¥750










