相关产品推荐更多 >
万千商家帮你免费找货
0 人在求购买到急需产品
- 详细信息
- 文献和实验
- 技术资料
- 保存条件:
常温避光保存
- 保质期:
2年
- 库存:
大量现货
- 供应商:
上海钦诚生物
- CAS号:
53956-04-0
- 规格:
20mg
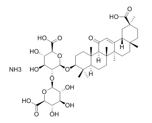
中文名称:甘草酸铵
中文别名:甘草酸铵盐,甘草酸单铵,甘草酸单铵盐
英文名称:Glycyrrhizic acid ammonium salt
英文别名: α-D-Glucopyranosiduronic acid, (3β,20β)-20-carboxy-11-oxo-30-norolean-12-en-3-yl 2-O-β-D-glucopyranuronosyl-,
monoammonium salt (9CI); 30-Noroleanane, α-D-glucopyranosiduronic acid deriv.; (+)-Glycyram; 18β-Glycyrrhizic acid monoammonium salt;
Ammonium glycyrrhizate; Ammonium glycyrrhizinate; Glycamil; Glycymin; Glycyron ammonium salt; Glycyron monoammonium salt; Glycyrram;
Glycyrrhizic acid ammonium salt; Glycyrrhizic acid monoammonium salt; Glycyrrhizin ammonium salt; Glycyrrhizin monoammonium salt; Magnasweet;
Monoammonium 18β-glycyrrhizinate; Monoammonium glycyrrhizate; Monoammonium glycyrrhizinate; NSC 2800; NSC 35348
分子式:C42 H62 O16 . H3 N
分子量:
CAS号:53956-04-0
纯度: HPLC≥98%
外观:白色结晶粉末
溶解性:溶于冰乙酸、稀乙醇
旋光度:+49° - +54°(c=1, 乙醇 50%v/v)
储存条件: 2-8°C,干燥、避光、密封
规格: 20mg 50mg 100mg 500mg 1g 2g等应客户需求包装.
提取来源:双子叶植物豆科 Leguminosae甘草 Glycyrrhiza uralensis Fisch.的根及根茎。
药理药效:抗病毒
用途: 用于含量测定、鉴别、药理实验、活性筛选等.
风险提示:丁香通仅作为第三方平台,为商家信息发布提供平台空间。用户咨询产品时请注意保护个人信息及财产安全,合理判断,谨慎选购商品,商家和用户对交易行为负责。对于医疗器械类产品,请先查证核实企业经营资质和医疗器械产品注册证情况。
文献和实验Purification Scheme for Ubiquitin Expression Lysate
ammonium acetate, pH 5.1). Buffer B is usually the high salt buffer (0.5 M ammonium acetate, pH 5.1). When you adject the pH, be sure to always use either ammonium hydroxide (NH4 OH) or acetic acid, since the goal is to not have any non-volatile metal ions
常用化学试剂分子量 Molecular Weights of Commonly Used Chemicals
acid) 131.18 Magnesium Sulfate, anhydrous 120.39 Ammonium Acetate 77.08 Pepstatin-A 685.9 Ammonium Bicarbonate 79.06 Phenol
A quick RNA mini-prep for Neurospora mycelial cultures
temperature. [E buffer: 50 mM Tris-Cl pH 8.0, 300 mM NaCl, 5 mM EDTA, pH 8.0, 2 SDS; autoclave and add 1 mM ATA and 14 mM ß-mercaptoethanol. ATA=aurintricarboxylic acid, ammonium salt (Sigma #A0885, St. Louis, MO)] 5. Thaw the powder in E buffer in 42°C
技术资料暂无技术资料 索取技术资料










