相关产品推荐更多 >
万千商家帮你免费找货
0 人在求购买到急需产品
- 详细信息
- 文献和实验
- 技术资料
- 保存条件:
常温避光保存
- 保质期:
2年
- 库存:
大量现货
- 供应商:
上海钦诚生物
- CAS号:
39432-56-9
- 规格:
20mg
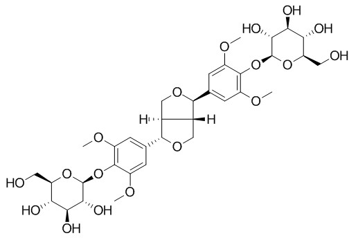
中文别名:五加苷E、刺五加甙E
英文名称:Eleutheroside E
英文别名:
β-D-Glucopyranoside, (tetrahydro-1H,3H-furo[3,4-c]furan-1,4-diyl)bis(2,6-dimethoxy-4,1-phenylene) bis-, [1R-(1α,3aβ,4β,6aα)]-;1H,3H-Furo[3,4-c]furan, β-D-glucopyranoside deriv.; [(1R,3aR,4S,6aS)-Tetrahydro-1H,3H-furo[3,4-c]furan-1,4-diyl]bis(2,6-dimethoxy-4,1-phenylene)
bis-β-D-glucopyranoside; Eleutheroside E
分子式:C34H46O18
分子量:742.72
CAS号:39432-56-9
纯度: HPLC≥98%
外观:白色粉末
Melting Point (Experimental)Value熔点: 267-269 °C
Boiling Point (Predicted)Value沸点: 935.7±65.0 °C | Condition
Density (Predicted)Value密度: 1.474±0.06 g/cm3 | Condition: Temp: 20 °C
pKa (Predicted)Value值: 12.45±0.70 | Condition: Most Acidic Temp: 25 °C
储存条件: 2-8°C,干燥、避光、密封
规格: 20mg 50mg 100mg 500mg 1g 2g等应客户需求包装.
提取来源:五加科植物刺五加Acanthopanax senticosus(Rupr.et Maxim.)Harms的干燥根茎。
药理药效:具有益气健脾、补肾安神的作用。临床用于体虚乏力,食欲不振,腰膝酸痛,失眠多梦。
用途: 用于含量测定、鉴别、药理实验、活性筛选等.
风险提示:丁香通仅作为第三方平台,为商家信息发布提供平台空间。用户咨询产品时请注意保护个人信息及财产安全,合理判断,谨慎选购商品,商家和用户对交易行为负责。对于医疗器械类产品,请先查证核实企业经营资质和医疗器械产品注册证情况。
文献和实验事实,但对把这些于无脊椎动物所观察到的情况普遍推及到脊椎动物方面,而 H. E. Ziegler和 A. W. Goette根据种种研究的结果提出了反证。对于两栖类有尾类的 W. Vogt( 1929)的精密的研究实验,认定体腔说是完全不能成立的。另外把现在有关羊膜类的胚胎学见解使之与体腔说统一起来也几乎是不可能的。
缺乏维生素 E,就会阻碍受精卵在子宫内着床后的发育,可使精细胞变性,发生退化,引起不孕症。此外,还能引起肌肉萎缩和运动麻痹。在许多哺乳动物中都可见到 E缺乏症,但在人体中,还没有得到确实的 E缺乏症的证据,一般在生物体内有防止维生素 A、胡萝卜素、脂肪等氧化的作用。亦有报道其磷酸脂可抑制琥珀酸氧化系统和抑制磷酸酶的作用,但都还未最后确定。成人每天需要量约为 30毫克的混合生育酚。定量法有吸收测定和比色法等,但因而为α,β,γ、δ都作为同一效力被测定,所以测定数值比生物学效力高,所以并不是太好的方法。
xueer8847 请教: Real-time quantification of microRNAs by stem-loop RT-PCR.这篇文章的出处“Nucleic Acids Res, 2005, 33(20): e179.”中的e179代表什么,有谁知道这篇文章的起止页码的啊?谢谢! zhujoker e179代表其在那一期的序号,也就是说这篇文章在那一期为e179,原文附上
技术资料暂无技术资料 索取技术资料










