相关产品推荐更多 >
万千商家帮你免费找货
0 人在求购买到急需产品
- 详细信息
- 询价记录
- 文献和实验
- 技术资料
- 库存:
大量
- 英文名:
ATP Solution(100mM)
- 保质期:
有效期2年
- 供应商:
翌圣生物科技(上海)股份有限公司
- 保存条件:
-15℃ ~ -25℃保存
- 规格:
1mL
Product Information
| Product name |
Cat# |
Size |
Price(¥) |
| ATP Solution GMP-grade (100 mM) |
10129ES03 |
1 mL |
635 |
| 10129ES25 |
25 mL |
9525 |
|
| 10129ES76 |
500 mL |
Inquiry |
Product Description
ATP, Adenosine-5'-triphosphate, and its sodium salt are the basic components of energy change in many biological systems and can be used in a variety of molecular biology applications, such as kinase assays, in vitro transcription, ligation and phosphorylation reactions, etc.
This product is a transparent colorless aqueous solution prepared from ATP trisodium salt, and free from DNase, RNase and phosphatase contamination.
This product is produced in accordance with GMP process requirements and provided in liquid form.
Product Properties

| CAS No |
56-65-6 (free acid) |
| Formula |
C10H13N5O13P3 Na3 |
| Molecular weight |
573.1 g/moL (acid form: 507.18 g/moL) |
| Purity(HPLC) |
≥ 99% |
| Content |
100 mM ± 5 mM |
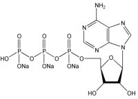
| Structure |
|
Shipping and Storage
The product is shipped with dry ice and can be stored at -15℃ ~ -25℃ for two years.
Cautions
1. Keep on ice while using and return immediately to -20°C after use.
2. For your safety and health, please wear personal protective equipment (PPE), such as laboratory coats and disposable gloves, when operating with this product.
HB220514
风险提示:丁香通仅作为第三方平台,为商家信息发布提供平台空间。用户咨询产品时请注意保护个人信息及财产安全,合理判断,谨慎选购商品,商家和用户对交易行为负责。对于医疗器械类产品,请先查证核实企业经营资质和医疗器械产品注册证情况。
- 作者
- 内容
- 询问日期
文献和实验几种盐类按一定比例和浓度配制的不使植物发生单盐毒害的溶液。这种配制的溶液是使其中各种盐类的阳离子之间表现它们的拮抗作用。对于一般植物来说,土壤溶液即是。对海藻来说,海水即是。
将细胞(或生物体)浸入某种溶液中时,水从细胞向外部渗出,这种溶液显示高渗性,称为高渗溶液。相反,如果水向细胞内渗入,则表示溶液为低渗性,则称为低渗溶液。一般高渗溶液使细胞缩小(质壁分离),低渗溶液使细胞膨胀(胞质逸出)。
扎培克氏溶液 Czapek ’ s solution 指用于培养真菌特别是霉菌所用的基础合成培养基( J . Czapek , 1901 )。其组成为蔗糖 30 克、 NaN0 3 2 克、 KH 2 PO 4 1 克、 MgSO 4 · 7 HO 2 0.5 克、 KCl 0.5 克、 FeSO 4 0.01 克。水 1000 毫升。(若配制固体培养基时,则加入琼脂 20 克)











