相关产品推荐更多 >
万千商家帮你免费找货
0 人在求购买到急需产品
- 详细信息
- 文献和实验
- 技术资料
- 库存:
154
- 保质期:
长期
- 供应商:
北京百奥莱博科技有限公司
- 保存条件:
-20℃
- 规格:
50ng/支
特别提示:包括三碘甲酰原氨酸(T3)在内,本公司的所有产品仅可用于科研实验,严禁用于临床医疗及其他非科研用途!
产品名称:三碘甲酰原氨酸(T3)
产品货号:BP1944
产品规格:50ng/支
本品为三碘甲腺原氨酸免疫测定用标准品,以高纯T3为原料制备,供T3免疫分析使用,适用于化学发光、时间分辨免疫荧光等方法。
性状:白色冻干粉末
包装:白色安瓿瓶
规格:每支安瓿内含T3 50ng,含牛血清白蛋白(BSA)2.5mg,磷酸盐微量。本品为冻干品。
特性量值:每支安瓿内含含T3 50ng。
使用方法和要求:建议使用时以含0.5-1%的人血清白蛋白(HSA)或牛血清白蛋白(BSA)的10mM磷酸盐缓冲液(pH=7.2-7.4)或其他含蛋白的中性缓冲体系将内容物完全溶解,充分混合后使用。
储存条件:-20℃,避免反复冻融。
除了三碘甲酰原氨酸(T3),,我公司还供应以下相关产品:
名称:壬苯醇醚
货号:BP0087
规格:1ml/支
本品为壬苯醇醚(Nonoxinol)的化学对照品,供HPLC鉴别和含量测定用,含量为99.3%。
分子式:C9H19C6H4(OCH2CH2)nOH,(n平均值为9)
结构式:
CAS号:26027-38-3
包装:棕色安瓿瓶
规格:约1ml/支
储存条件:遮光,密封保存
名称:盐酸氯丙那林
货号:BP0180
规格:100mg/支
本品为盐酸氯丙那林的化学对照品,供含量测定用,使用前不需干燥处理。供HPLC法测定,按C11H16ClNO·HCl计,含量为99.9%。
分子式:C11H16ClNO·HCl
结构式:
分子量:250.17
CAS号:6933-90-0
包装:棕色西林瓶
装量:约100毫克/支
储存条件:遮光,10~30℃密闭保存
名称:酒石酸托特罗定
货号:BP0557
规格:50mg
名称:P-*基苯*酸异丙酯
货号:BP0644
规格:50mg
名称:可可碱
货号:BP0801
规格:100mg
本品为可可碱化学对照品,供检查用。供HPLC法测定用,按C7H8N4O2计,含量为100%。
CAS号:83-67-0
分子式:C7H8N4O2
分子量:180.17
包装及装量:棕色瓶,约100mg/支
储存条件:遮光,密封保存
注意事项:使用前不需干燥处理
名称:非诺贝特杂质Ⅱ
货号:BP0810
规格:50mg
名称:盐酸普罗帕酮
货号:BP0866
规格:100mg
本品为盐酸普罗帕酮化学对照品,供UV法溶出度检查用,按C21H27NO3·HCl计,含量为99.9%。
CAS号:34183-22-7
分子式:C21H27NO3·HCl
分子量:377.91
包装及装量:棕色小瓶装,每支约100毫克。
储存条件:遮光,密封保存。
注意事项:使用前无需处理。
名称:盐酸兰地洛尔异构体Ⅰ
货号:BP0914
规格:20mg/支"
名称:盐酸药根碱
货号:BP1038
规格:20mg/支
本品为盐酸药根碱化学对照品,供鉴别和含量测定用,含量89.5%,使用前不需干燥处理。
CAS号:960383-96-4
分子式:C20H20ClNO4
分子量:373.83
结构式:
包装:棕色安瓿瓶
规格:约20mg/支
储存条件:冷处(2-10℃)保存
名称:20(s)-人参皂苷Rh2
货号:BP1336
规格:20mg
本品为人参皂苷Rh2化学对照品,供含量测定用,置*氧化二磷减压干燥器中干燥12小时以上使用。
CAS号:78214-33-2
分子式:C36H62O9
分子量:622.87
结构式:
包装及装量:棕色瓶装,约20mg/支
储存条件:冷冻保存
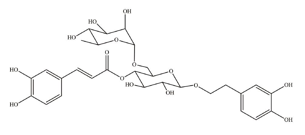
名称:连翘酯苷A
货号:BP1379
规格:20mg/支
本品为连翘酯苷A化学对照品,供鉴别及含量测定用使用,含量以93.4%计,前不需干燥处理。
CAS号:79916-77-1
分子式:C29H36O15
分子量:624.59
结构式:
包装:棕色安瓿瓶
装量:约20mg/支
储存条件:冷处(2-10℃)保存
注意事项:本品极具引湿性,建议打开包装一次性使用完毕。
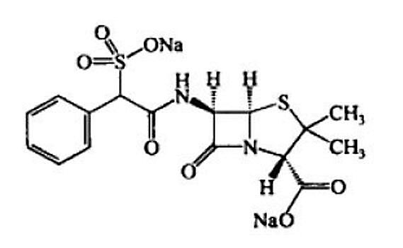
名称:磺苄西林
货号:BP1569
规格:100mg
本品为磺苄西林标准品,供抗生素微生物效价测定用,使用前不需干燥处理。
CAS号:28002-18-8
分子式:C16H16N2Na2O7S2
分子量:458.42
结构式:
包装:白色安瓿
规格:约100毫克/支
储存条件:2-8℃保存
名称:头孢呋辛酯
货号:BP1644
规格:200mg
本品为头孢呋辛酯化学对照品,供高效液相含量测定用,含量以头孢呋辛(C16H16N4O8S)计。
使用方法:精密称取适量,按质量标准所规定的方法,配制至所需浓度的对照品溶液,立即使用。
储存条件:置 5℃以下低温避光保存。开启安瓿后严密保持干燥,以防吸水。
注意事项:使用前不需干燥处理。
名称:西索米星
货号:BP1739
规格:约150mg
本品为西索米星化学对照品,供高效液相含量测定用,含量以西索米星(C19H37N5O7)计,使用前不需要干燥处理。
使用方法:精密称取适量,按规定的方法,配制至所需浓度的对照品溶液,立即使用。
储存条件:置4℃以下条件低温避光保存。
名称:硫柳汞*
货号:BP1773
规格:50mg/支
本品为硫柳汞*化学对照品,供HPLC法硫柳汞含量测定用,以C9H9HgNaO2S计,含量为94.6%。使用前不需干燥处理。
CAS号:54-*4-8
分子式:C9H9HgNaO2S
分子量:404.81
结构式:
包装:棕色西林瓶
规格:约50mg/支
储存条件:常温、遮光。
注意事项:本品吸入、皮肤接触或吞食后有毒。建议打开包装一次性使用完。
名称:己*甲酯
货号:BP2078
规格:1ml/瓶
本品为己*甲酯化学对照品,仅供己*甲酯品种项下脂肪酸组成用对照品,使用前不需干燥处理。
CAS号:*06-70-7
分子式:C7H14O
分子量:130.18
包装:棕色安瓿
规格:约1毫升/支
储存条件:遮光、常温保存
注意事项:建议打开包装一次性使用完
名称:氯吡格雷杂质II
货号:BP2165
规格:50mg/支
本品为氯吡格雷杂质II化学对照品,供HPLC法系统适用性试验用,使用前不需干燥处理。
CAS号:144750-52-7
分子式:C16H17Cl2NO2S
分子量:358.28
结构式:
包装:棕色西林瓶
装量:约50mg/支
储存条件:遮光,密封保存。
风险提示:丁香通仅作为第三方平台,为商家信息发布提供平台空间。用户咨询产品时请注意保护个人信息及财产安全,合理判断,谨慎选购商品,商家和用户对交易行为负责。对于医疗器械类产品,请先查证核实企业经营资质和医疗器械产品注册证情况。
文献和实验相关实验
色氨酸代谢的中间产物。通过色氨酸加氧酶( oxygenase)的作用由色氨酸形成,再通过甲酰酶( formylase, E. C3. 5. 1. 9)水解成蚁酸和犬尿氨酸,在 321毫微米具特有的吸收作用。
大鼠 三碘甲状腺原氨酸(T3 ) 酶联免疫分析 试剂盒使用说明书 本试剂仅供研究使用 目的:本试剂盒用于测定大鼠血清,血浆及相关液体样本中 三碘甲状腺原氨酸(T3 ) 的 含量。 实验原理: 本试剂盒应用双抗体夹心法测定标本中 大鼠 三碘甲状腺原氨酸(T3 ) 水平。用纯化的 大鼠 三碘甲状腺原氨酸(T3 ) 抗体包被微孔板,制成固相抗体,往包被单抗的微孔中依次加入 三碘甲状腺原氨酸(T3
氨基甲酰化的甲硫氨酸(methionine),原核生物的蛋白质的合成,就是特异地由这个氨基酸开始的。蛋白质合成开始后,由于特异酶的作用,这种氨基酸便从肽链上立即除去,因此在从细菌细胞分离出来的蛋白质氨基末端上,是检查不出甲酰蛋氨酸的。
技术资料暂无技术资料 索取技术资料
三碘甲酰原氨酸(T3)
¥380 - 3800










