相关产品推荐更多 >
万千商家帮你免费找货
0 人在求购买到急需产品
- 详细信息
- 文献和实验
- 技术资料
- 库存:
492
- 英文名:
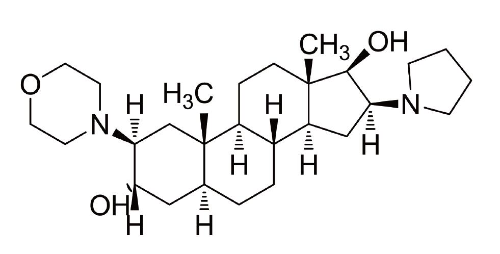
Rocuronium Bromide Impurity II(2β-(morpholin-4-yl)-16β-(pyrrolidin-1-yl)-5α-androstane-3α,17β-diol)
- CAS号:
119302-20-4
- 保质期:
长期
- 供应商:
北京百奥莱博科技有限公司
- 保存条件:
遮光,2-8℃
- 规格:
20毫克/支
特别提示:包括罗库溴铵杂质II在内,本公司的所有产品仅可用于科研实验,严禁用于临床医疗及其他非科研用途!
产品名称:罗库溴铵杂质II
英文名称:Rocuronium Bromide Impurity II(2β-(morpholin-4-yl)-16β-(pyrrolidin-1-yl)-5α-androstane-3α,17β-diol)
产品货号:BP0970
产品规格:20毫克/支
本品为罗库溴铵杂质II化学对照品,使用前不需干燥处理,供HPLC法系统适用性试验用。
CAS号:119302-20-4
分子式:C27H46N2O3
分子量:446.67
结构式:
包装:棕色西林瓶
规格:约20毫克/支
储存条件:遮光,2-8℃保存
除了罗库溴铵杂质II,,我公司还供应以下相关产品:
名称:马来酸依那普利杂质Ⅱ(依那普利双酮)
货号:BP0544
规格:30mg/支
本品为马来酸依那普利杂质Ⅱ(依那普利双酮)化学对照品,使用前不需干燥处理。供HPLC法系统适用性试验用。
CAS号:115729-52-7
分子式:C20H26N2O4
分子量:358.43
马来酸依那普利、依那普利拉(杂质Ⅰ)和依那普利双酮(杂质Ⅱ)混合溶液色谱图
色谱柱:Shiseido Capcell PAK DD C 84.6*250mm,5um
包装:西林瓶装
规格:约30mg/支
储存条件:遮光,密封,10~30℃保存。
名称:银杏叶提取物
货号:BP1142
规格:约0.2g/支
本品为银杏叶对照提取物,供相关物质鉴别用。
包装及装量:棕色瓶。
储存条件:室温干燥保存。
名称:九里香酮
货号:BP1203
规格:20mg
名称:射干苷
货号:BP1253
规格:20mg
名称:金胺O
货号:BP1349
规格:约20mg/支
本品为金胺O化学对照品,供检查项对照用。
CAS号:2465-27-2
分子式:C17H21N3·HCl
分子量:303.83
结构式:
包装:棕色瓶
规格:约20mg/支
储存条件:阴凉处
名称:美他环素
货号:BP1650
规格:100mg
本品为美他环素化学对照品,供高效液相含量测定用,含量以美他环素(C22H22N2O8)计。
使用方法:精密称取适量,按规定的方法,配制至所需浓度的对照品溶液,立即使用。
储存条件:置 5℃以下条件低温避光保存。启开安瓿后严密保持干燥以防吸水。
注意事项:使用前不需干燥处理。
名称:庆大霉素C1a
货号:BP1662
规格:50mg/支
本品为庆大霉素C1a化学对照品,供TLC系统适用性试验用,使用前不需干燥处理。
分子式:C19H39N5O7
分子量:449.2
包装:白色安瓿
规格:50mg/支
储存条件:常温遮光保存
名称:聚丙*酸树脂II
货号:BP2020
规格:200mg
本品为聚丙*酸树脂Ⅱ化学对照品,供聚丙*酸树脂Ⅱ品种红外光谱鉴别用。
包装及装量:棕色西林瓶装,每支约200 毫克
储存条件:遮光,密封,于阴凉处保存。
注意事项:使用前于 110℃干燥6 小时。
名称:地塞米松磷酸钠杂质I
货号:BP2130
规格:5mg/瓶
本品为地塞米松磷酸钠杂质I化学对照品,供HPLC法有关物质检查用,以C22H30FNa2O11PS计,含量为87.5%,使用前不需干燥处理,仅供有关物质检查项下系统适用性试验杂质定位用。
分子式:C22H30FNa2O11PS
分子量:598.48
结构式:
包装:棕色西林瓶
规格:约5毫克/支
储存条件:-20℃,密闭保存
风险提示:丁香通仅作为第三方平台,为商家信息发布提供平台空间。用户咨询产品时请注意保护个人信息及财产安全,合理判断,谨慎选购商品,商家和用户对交易行为负责。对于医疗器械类产品,请先查证核实企业经营资质和医疗器械产品注册证情况。
文献和实验一、实验原理 DNA重组技术的第一步是从不同来源的DNA上将待克隆的DNA片段特异性切下,同时在载体DNA分子(一般为质粒DNA)上打开相应的缺口,然后将两者连接成重组DNA分子。这一特异性的切割过程常由特定的限制性核酸内切酶来完成。 目前在细菌中发现有600多种限制性核酸内切酶,根据其性质的不同可分为三大类,分别为I、II和III类:I类酶识别部位和切点不同,切断部位不定;III类酶的识别部位和切点不同
IBA 第三代 Strep-tag® 高效蛋白纯化系统,由 Twin-Strep-tag® 搭配全新研发出的 Strep-Tactin®XT 组合而成。在此系统中,Strep-Tactin®XT 与 Twin-Strep-tag® 的亲和力提升至 pM 的范围,与 Strep-tag®II 的亲和力也已升至 nM 的范围。 亲和力大幅改善,其间的链结仍保有可逆性,纯化过程同样温和。仅需简单直接的再生步骤,填料即可重复利用。Strep-Tactin®XT 提升的亲和力能确保您在温和的生理纯化条件
亲和层析原理 亲和层析是一种通过生物分子之间的特异性相互作用来分离物质的层析方法,如酶和底物、抗原与抗体等非常专一的相互作用 (图9)。配基被固定在填料上,可以结合相应的生物分子,再采用合适的方法如降低pH值、离子强度等,或添加和配基或者目的分子类似的基团,使目标分子以活性的形式被洗脱。 图9 亲和层析原理 特点 速度快,操作简单,可以快速将目标蛋白与大量杂质进行分离 特异性高,经常一步即可达到大于90%的纯度 配基种类繁多,填料选择性高 (包括纯化标签抗体蛋白、抗体、酶类、DNA结合
技术资料暂无技术资料 索取技术资料









